100 câu trắc nghiệm Amin, Amino Axit, Protein có lời giải chi tiết (Nâng cao - phần 3)
Câu hỏi trắc nghiệm Amin - Amino Axit - Protein
VnDoc xin giới thiệu tới bạn đọc 100 câu trắc nghiệm Amin, Amino Axit, Protein có lời giải chi tiết (Nâng cao - phần 3). Hy vọng qua bộ tài liệu các bạn học sinh sẽ giải bài tập Hóa học 12 nhanh và chính xác hơn.
- Cách viết đồng phân Amin, Amino Axit
- 180 câu hỏi trắc nghiệm có đáp án Hóa học lớp 12: Amin - Amino axit - Protein
- Trắc nghiệm Hóa học lớp 12: Chương 3 - Amin - Amino axit - Protein
100 câu trắc nghiệm Amin, Amino Axit, Protein có lời giải chi tiết (Nâng cao - phần 3) vừa được VnDoc.com sưu tập và xin gửi tới bạn đọc cùng tham khảo. Bài viết được tổng hợp gồm có 30 câu hỏi trắc nghiệm về amin, amino axit và protein. Bài tập có đáp án và lời giải chi tiết kèm theo. Qua bài viết bạn đọc có thể luyện tập được các tính giá trị khối lượng, cách viết công thức cấu tạo, số lượng dung dịch dùng trong phản ứng, cách phân biệt dung dịch hóa chất... Mời các bạn cùng tham khảo chi tiết và tải về tại đây nhé.
Câu 71: Tetrapeptit X (CxHyO5Nt) trong đó oxi chiếm 26,49% về khối lượng; Y là muối amoni của α-amino axit Z. Đun nóng 19,3 gam hỗn hợp E gồm X, Y, Z cần dùng 200 ml dung dịch NaOH 1M thu được một muối duy nhất và 2,688 lít khí T (ở đktc) có tỷ khối hơi so với H2 nhỏ hơn 15. Mặt khác, nếu cho 19,3 gam hỗn hợp E tác dụng hết với dung dịch HCl dư thì thu được m gam muối. Giá trị của m là
A. 27,85.
B. 28,45.
C. 31,52.
D. 25,10.
→ MX = (16.5)/0,2649 = 302 → X = CnH2n-2N4O5 → n = 12 → X = Ala4
MT < 15.2 (=30) → T = NH3 → Z = CH3CH(NH2)COONH4: 0,12

→ Đáp án C
Câu 72: Hỗn hợp X gồm chất Y (C3H10O2N2) và chất Z (C5H10O3N2), trong đó Z là một đipeptit. Đun nóng 26,52 gam X với 300 ml dung dịch KOH 1M (vừa đủ), cô cạn dung dịch sau phản ứng thu được một amin T và m gam hỗn hợp gồm hai muối. Giá trị của m là
A. 38,98 gam.
B. 35,02 gam.
C. 30,22 gam.
D. 36,46 gam.
Z là đipeptit, nên Z được tạo thành từ Gly và Ala có công thức:
Z: NH2-CH2-CO-NH-CH(CH3)-COOH
Vì thu được 2 muối (nên chỉ có thể là muối của ala hoặc của gly) và amin nên Y có công thức:
Y: NH2-CH2-COONH3CH3
Gọi x, y là số mol của Y, Z
Ta có hệ:
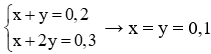
106x + 146y = 26,52
x + 2y = 0,3
Giải hệ: x = 0,14; y = 0,08
BTKL: m(muối) = 26,52 + 0,3.56 – m(CH3NH2) – m(H2O)
= 43,32 – 0,14.31 – (0,14 + 0,08).18 = 35,02 gam
→ Đáp án B
Câu 73: Thủy phân hợp chất sau sẽ thu được bao nhiêu aminoaxit?
H2NCH(CH3)-CONH-CH(CH(CH3)2)-CONH-CH(C2H5)-CONH-CH2-CONH-CH(C4H9)COOH
A. 2
B. 3
C. 4
D. 5
Thủy phân hợp chất trên thu được 5 aminoaxit đó là:
H2NCH(CH3)-COOH; H2N-CH2-COOH; H2NCH(CH(CH3)2)COOH; H2NCH(C2H5)-COOH; H2N-CH(C4H9)COOH.
→ Đáp án D
Câu 74: X là một chất hữu cơ có công thức phân tử C5H11O2N. Đun X với NaOH thu được một hỗn hợp chất có công thức phân tử C2H4O2NNa và chất hữu cơ (Y), cho hơi Y qua CuO thu được chất hữu cơ Z có khả năng tham gia phản ứng tráng gương. Công thức cấu tạo của X là:
A. CH3(CH2)4NO2
B. NH2-CH2-COOCH2CH2CH3
C. NH2-CH2-COO(CHCH3)2
D. H2N-CH2-CH2-COOC2H5.
X + NaOH → C2H4O2NNa + (Y)
→ Loại đáp án A và D.
Y + CuO → Z (có khả năng tráng gương)
→ Loại C. (vì (CH3)2CHOH → (CH3)2CO (xeton) không có khả năng tráng gương).
→ Đáp án B
Câu 75: Chất X có công thức phân tử C4H9O2N. Biết:
X + NaOH → Y + CH4O
Y + HCl → Z + NaCl
Công thức cấu tạo của X và Z lần lượt là:
A. H2NCH2CH2COOCH3 và CH3CH(NH3Cl)COOH.
B. CH3CH(NH2)COOCH3 và CH3CH(NH2)COOH.
C. CH3CH(NH2)COOCH3 và CH3CH(NH3Cl)COOH.
D. H2NCH2COOC2H5 và ClH3NCH2COOH.
X + NaOH → Y + CH3OH
X: CH3CH(NH2)-COOCH3 hoặc H2N-CH2-CH2COOCH3
Y + HCl → Z + NaCl
Y: CH3CH(NH2)-COONa hoặc H2N-CH2-CH2COONa
→ Z là CH3CH(NH3Cl)-COOH hoặc ClH3N-CH2-CH2COOH.
Vậy đáp án C là một trường hợp phù hợp.
→ Đáp án C
Câu 76: Cho P là một tripeptit được tạo ra từ các amino axit X, Y và Z (Z có cấu tạo mạch thẳng). Kết quả phân tích các amino axit X, Y và Z này cho kết quả sau:
| Chất | %mC | %mH | %mO | %mN | M |
| X | 32,00 | 6,67 | 42,66 | 18,67 | 75 |
| Y | 40,45 | 7,87 | 35,95 | 15,73 | 89 |
| Z | 40,82 | 6,12 | 43,53 | 9,52 | 147 |
Khi thủy phân không hoàn toàn P, người ta thu được hai phân tử đipeptit là X-Z và Z-Y. Vậy cấu tạo của P là:
A. Gly – Glu – Ala
B. Gly – Lys – Val
C. Lys – Val – Gly
D. Glu – Ala – Gly
X có dạng CxHyOzNt
x : y : z : t = 32/12 : 6,67/1 : 42,66/16 : 18,67/14 = 2,67 : 6,67 : 2,67 : 1,33 = 2 : 5 : 2 : 1
→ X có CTĐGN là (C2H5O2N)n.
Mà MX = 75 → n = 1 → X là C2H5O2N (Glyxin).
• Tương tự ta tìm được Y là C3H7O2N (Alanin), Z là C5H9O4N (Axit glutamic)
• Thủy phân không hoàn toàn P, người ta thu được hai phân tử đipeptit là Gly-Glu và Glu-Ala → P là Gly-Glu-Ala
→ Đáp án A
Câu 77: Cho các phát biểu sau:
(a) Peptit Gly-Ala có phản ứng màu biure.
(b) Trong phân tử đipeptit có 2 liên kết peptit.
(c) Có thể tạo ra tối đa 4 đipeptit từ các amino axit: Gly, Ala.
(d) Dung dịch Glyxin làm đổi màu quỳ tím.
Số phát biểu đúng là:
A. 1.
B. 2.
C. 3.
D. 4.
(a) sai, đipeptit không cho phản ứng màu biure
(b) sai, có 1 liên kết
(c) đúng
(d) sai, không đổi màu
→ Đáp án A
Câu 78: Cho các dung dịch sau: saccarozơ, 3-monoclopropan-1,2-điol, etylen glicol, anbumin, ancol etylic, Gly-Ala. Số dung dịch tác dụng với Cu(OH)2 ở nhiệt độ thường là:
A. 3.
B. 6.
C. 4.
D. 5.
Các chất tác dụng được là: saccarozo, 3-monoclopropan-1,2-điol, etylen glicol, abumin.
→ Đáp án C
Câu 79: Cho một peptit sau: Gly-Ala-Val-Ala-Gly-Val-Phe. Thủy phân không hoàn toàn peptit này thành các peptit ngắn hơn. Trong số các peptit tạo ra có bao nhiêu peptit có phản ứng màu biure với Cu(OH)2?
A. 5.
B. 6.
C. 12.
D. 14.
Thủy phân không hòa toàn peptit trên thì được 5-tripeptit, 4-tetrapeptit, 3-pentapeptit và 2-hexapeptit cho phản ứng màu biure.
→ Đáp án D
Câu 80: Cho các phát biểu sau về protein:
(1) Protein là hợp chất cao phân tử thiên nhiên có cấu trúc phức tạp.
(2) Protein có trong cơ thể người và động vật.
(3) Protein bền đối với nhiệt, đối với axit và kiềm.
(4) Chỉ các protein có cấu trúc dạng hình cầu mới có khả năng tan trong nước tạo dung dịch keo.
Phát biểu nào đúng?
A. (1), (2), (4)
B. (2), (3), (4)
C. (1), (3), (4)
D. (1), (2), (3)
(1) Protein là những polipeptit cao phân tử có phân tử khối từ vài chục nghìn đến vài triệu → (1) đúng.
(2) Protein là thành phần không thể thiếu của tất cả các cơ thể sinh vật → (2) đúng.
Khi đun nóng dung dịch peptit với axit hoặc kiềm sẽ thu được hỗn hợp các α-amino axit → (3) sai
(4) đúng. VD anbumin.
Vậy các mệnh đề đúng là (1), (2), (4)
→ Đáp án A
Câu 81: Cho các chất sau:
(1) H2N-CH2CO-NH-CH(CH3)-COOH
(2) H2N-CH2CO-NH-CH2-CH2-COOH
(3) H2N-CH(CH3)CO-NH-CH(CH3)-COOH
(4) H2N-(CH2)4-CH(NH2)COOH
(5) NH2-CO-NH2
(6) CH3-NH-CO-CH3
(7) HOOC-CH2-NH-CO-CH2-NH-CO-CH(CH3)-NH2
Trong các chất trên, số peptit là:
A. 1.
B. 2.
C. 3.
D. 4.
Các chất peptit là:(1), (3) và (7)
Các chất còn lại không thỏa mãn điều kiện là chứ liên kết CO và NH của 2-amino axit.
→ Đáp án C
Câu 82: Thuỷ phân đipeptit X có công thức phân tử C7H14N2O3 trong dung dịch NaOH, thu được hỗn hợp hai muối H2NCH2COONa, H2NC4H8COONa. Công thức cấu tạo thu gọn có thể có của X là
A. CH3-CH(CH3)-CH(NH2)-CONH-CH2COOH.
B. H2N-CH2-CONH-CH(CH3)-CH2-CH2-COOH.
C. CH3-CH(NH2)-CH(CH3)-CONH-CH2COOH.
D. H2N-CH2-CONH-CH2-CH(CH3)-CH2-COOH.
Thủy phân X có CTPT C7H14N2O3 thu được hai muối
H2N-CH2-COONa + CH3-CH(CH3)-CH(NH2)-COONa
→ X là H2N-CH2-CONH-CH(C3H7)-COOH hoặc CH3-CH(CH3)-CH(NH2)-CONH-CH2-COOH
Chú ý: Protein được tạo bởi từ các α-amino axit.
→ Đáp án A
Câu 83: Cho hợp chất hữu cơ X có công thức:
H2N-CH(CH3)-CO-NH-CH2-CO-NH-CH2-CH2-CO-NH-CH(C6H5)-CO-NH-CH(CH3)-COOH.
Khẳng định đúng là
A. Trong X có 4 liên kết peptit.
B. Khi thủy phân X thu được 4 loại α-amino axit khác nhau.
C. X là một pentapeptit.
D. Trong X có 2 liên kết peptit.
Liên kết peptit là liên kết của nhóm CO với nhóm NH giữa hai đơn vị α-amino axit.
→ Trong X có 2 liên kết peptit.
Khi thủy phân X thu được 3 loại α-amino axit: CH3-CH(NH2)-COOH, H2N-CH2-COOH, C6H5-CH(NH2)-COOH.
Vì các amino axit cấu tạo nên X không hoàn toàn là α-amino axit nên X không là một pentapeptit.
→ Đáp án D
Câu 84: Có các amino axit: glyxin (Gly), alanin (Ala) và valin (Val). Có thể điều chế được bao nhiêu tripeptit mà trong mỗi phân tử tripeptit đều chứa đồng thời cả 3 amino axit trên?
A. 4.
B. 8.
C. 6.
D. 3.
Số peptit chứa cả 3 amino axit trên là: 3! = 6
→ Đáp án C
Câu 85: Cho các nhận xét sau:
(1). Có thể tạo được tối đa 2 đipeptit từ phản ứng trùng ngưng hỗn hợp Alanin và Glyxin.
(2). Khác với axít axetic, axit amino axetic có thể tham gia phản ứng với axit HCl hoặc phản ứng trùng ngưng.
(3). Giống với axít axetic, aminoaxít có thể tác dụng với bazơ tạo muối và nước.
(4). Axít axetic và axít α-amino glutaric có thể làm đổi màu quỳ tím thành đỏ
(5). Thủy phân không hoàn toàn peptit: Gly-Phe-Tyr-Gly-Lys-Gly-Phe-Tyr có thể thu được tối đa 5 tripeptit khác nhau có chứa một gốc Gly.
(6). Cho HNO3 đặc vào ống nghiệm chứa anbumin thấy tạo dung dịch màu tím. Có bao nhiêu nhận xét đúng?
A. 6.
B. 3.
C. 4.
D. 5.
(1) Sai. Có thể tạo được 4 đipeptit: Ala-Ala; Ala-Gly; Gly-Ala; Gly-Gly
(2) Đúng
(3) Đúng
(4) Đúng
(5) Sai, chỉ tạo được 4 tripeptit có chứa 1 gốc Glyxin. 1 cái trùng Gly-Phe-Tyr
(6) Sai, cho HNO3 vào anbumin tạo dung dịch màu vàng
→ Đáp án B
Câu 86: Có các phát biểu sau:
(1) Muối phenylamoni clorua không tan trong nước.
(2) Tất cả các peptit đều có phản ứng màu biure.
(3) H2N-CH2-CH2-CO-NH-CH2-COOH là một đipeptit.
(4) Ở điều kiện thường, CH5N và C2H7N là những chất khí có mùi khai. Số phát biểu đúng là
A. 1.
B. 2.
C. 3.
D. 4.
(1) Sai vì tất cả các muối amoni đều tan trong nước
(2) Sai trừ đipeptit k có tính chất này
(3) Sai vì peptit phải là lk -CO-NH- của 2 anpha-amino axit
(4) Đúng. Metyl-, dimetyl-, trimetyl-, etylamin, amoniac đều là chất khí mùi khai ở đk thường
Có 1 phát biểu đúng.
→ Đáp án A
Câu 87: Cho các phát biểu sau:
(a). Aminoaxit là những axit cacboxylic có chứa nhóm thế amino ở gốc hiđrocacbon.
(b). Anilin tác dụng với axit nitric loãng lạnh (0-5oC) thu được muối điazoni.
(c). Các polipeptit đều tạo được phức chất với Cu(OH)2/OH- cho màu tím đặc trưng.
(d). Trùng ngưng axit 6-aminohexanoic với axit ađipic (axit hexanđioic) thu được nilon-6,6.
(e). Aminoaxit thiên nhiên (các α-amino axit) là cơ sở kiến tạo protein của cơ thể sống.
(g). Aminoaxit phản ứng được với ancol tạo thành este trong điều kiện thích hợp. Số phát biểu đúng là
A. 3
B.5
C. 6
D. 4
Xem các phát biểu:
(a). đúng.
(b). sai, phải là axit nitro HNO2 mới đúng, HNO3 không thể tạo ra muối điazoni được.
(c). đúng, vì polipeptit có từ 11 – 50 gốc α – amino axit (mà chỉ cần chứa 2 liên kết peptit trở lên là có thể tạo phức chất với Cu(OH)2 cho màu tím đặc trưng).
(d). sai phải là hexametylendiamin (H2N[CH2]6NH2) chứ không phải là 6-aminohexanoic (H2N[CH2]5COOH).
(e) đúng.
(g). amino axit có nhóm cacboxyl –COOH nên phản ứng được với ancol → este.
Có 4 phát biểu đúng.
→ Đáp án D
Câu 88: Đipeptit X mạch hở và Tripeptit Y mạch hở đều được tạo nên từ một aminoaxit (no, mạch hở, trong phân tử chứa 1 nhom NH2- và 1 nhóm –COOH). Đốt hoàn toàn 0,1 mol Y thu được tổng khối lượng CO2 và H2O bằng 54,9 gam. Đốt cháy hoàn toàn 0,2 mol X, sản phẩm thu được dẫn qua nước vôi trong dư thu m gam kết tủa. Giá trị m?
A. 45
B. 120
C. 30
D. 60
Aminoaxit đơn no CnH2n+1NO2 suy ra X: C2nH4nN2O3 và Y: C3nH6n-1N3O4
Đốt Y:

Ta có: mCO2 + mH2O = 44.0,3n + 18.0,05(6n – 1) = 54,9
⇒ n = 3. Vậy X: C6H12N2O3
Đốt X: 
Dẫn CO2 vào Ca(OH)2 dư:

⇒ mCaCO3 = 1,2.100 = 120
→ Đáp án B
Câu 89: Aminoaxit đơn chức X chứa 15,73%N về khối lượng. X tạo Octapeptit Y. Y có phân tử khối là bao nhiêu?
A. 586
B. 771
C. 568
D. 686
Đặt X: 2CnH2n+1NO2 → C2nH4nN2O3 + H2O
Ta có: %mN = (14/MX). 100% = 15,73 suy ra MX = 89 đvC
Phản ứng: 8X → Y + 7H2
Vậy MY = 8.89 – 7.18 = 586 đvC
→ Đáp án A
Câu 90: Thủy phân hoàn tòan m gam tetrapeptit: Ala-Ala-Ala-Ala (mạch hở) thu hỗn hợp gồm 28,48 gam Alanin, 32 gam Ala-Ala và 27,72 gam Ala-Ala-Ala. Giá trị m là
A. 90,6
B. 111,74
C. 81,54
D. 66,44
nAla-Ala-Ala = 0,12 mol
nAla-Ala = 0,2 mol
nAla = 0,32 mol
Ta có msp = 28,48 + 32 + 27,72 = 88,2 gam loại A, B
Phản ứng:

Thử với đáp án C: mnước = 88,2 – 81,54 = 6,66 suy ra nnước = 0,37 mol
Ta có hệ: 
Suy ra
nhận
→ Đáp án C
Câu 91: Hỗn hợp X chứa chất A (C5H16O3N2) và chất B (C4H12O4N2) tác dụng với dung dịch NaOH vừa đủ, đun nóng cho đến khi phản ứng xảy ra hoàn toàn rồi cô cạn thu được m gam hỗn hợp Y gồm 2 muối D và E (MD < ME) và 4,48 lít (đktc) hỗn hợp Z gồm 2 amin no, đơn chức, đồng đẳng kế tiếp có tỉ khối so với H2 bằng 18,3. Khối lượng của muối E trong hỗn hợp Y là:
A. 4,24
B. 3,18
C. 5,36
D. 8,04
MZ = 36,6 ⇒ gồm CH3NH2 và C2H5NH2
nZ = 0,2 mol ⇒ nCH3NH2 = 0,12 mol; nC2H5NH2 = 0,08 mol.
⇒ A: (C2H5NH3)2CO3; B:(COONH3CH3)2
(C2H5NH3)2CO3(A) + 2NaOH → Na2CO3(D)+ 2C2H5NH2 + 2H2O
(COONH3CH3)2(B) + 2NaOH → (COONa)2(E) + 2CH3NH2 + 2H2O
→ nE = 0,12mol ⇒ mE = 8,04 gam
→ Đáp án D
Câu 92: Đốt cháy hoàn toàn hỗn hợp gồm amin X (CnH2n+3N) và amino axit Y (CnH2n+1O2N) cần dùng 0,93 mol O2, thu được CO2, H2O và 0,1 mol N2. Số đồng phân cấu tạo của X là
A. 4
B. 1
C. 3
D. 2
Gọi số mol X, Y lần lượt x, y mol
BTNT (N) có nN= 0,2 mol
x + y = 0,2
2y + 0,93.2 = 2nx + (n + 1,5)x + 2ny + (n + 0,5)y
→ 1,5(x – y) + 0,6n = 1,86
Ta luôn có: 0 < x – y < 0,2
⇒ 2,6 < n < 3,1 ⇒ n = 3
X là: C3H9N gồm các đồng phân:
CH3-CH2-CH2-NH2
CH3-CH(NH2)-CH3
CH3-NH-CH2-CH3
CH3-N(CH3)2
Số đồng phân: 4.
→ Đáp án A
Câu 93: Hỗn hợp M gồm amin X, amino axit Y (X, Y đều no, mạch hở) và peptit Z (mạch hở tạo ra từ các α-amino axit no, mạch hở). Cho 2 mol hỗn hợp M tác dụng vừa đủ với 9 mol HCl hoặc 8 mol NaOH. Nếu đốt cháy hoàn toàn 2 mol hỗn hợp M, sau phản ứng thu được 15 mol CO2, x mol H2O và y mol N2. Giá trị của x, y lần lượt là
A. 14,5 và 9,0
B. 12,5 và 2,25
C. 13,5 và 4,5
D. 17,0 và 4,5

Suy ra CT chung của M là C7,5H13,5OaN4,5
→ Đáp án C
Câu 94: Hỗn hợp E gồm hai chất hữu cơ X (C2H7O3N) và Y (C3H12O3N2). X và Y đều có tính chất lưỡng tính. Cho m gam hỗn hợp E tác dụng với dung dịch HCl dư, thu được 4,48 lít khí Z (Z là hợp chất vô cơ). Mặt khác, khi cho m gam hỗn hợp E tác dụng với dung dịch NaOH dư, đun nóng thoát ra 6,72 lít khí T (T là hợp chất hữu cơ đơn chức chứa C, H, N và làm xanh quỳ tím ẩm). Cô cạn dung dịch thu được chất rắn gồm hai chất vô cơ. Thể tích các khí đo ở đktc. Giá trị của m là
A. 21,2 gam.
B. 20,2 gam.
C. 21,7 gam.
D. 20,7 gam.
E tác dụng với HCl sinh ra chất khí vô cơ Z → Z là CO2
Khi cho E tác dụng với NaOH sinh ra khí T là hợp chất hữu cơ đơn chức chứa C, H, N và làm xanh quỳ tím ẩm → T là amin.
E tác dụng với NaOH thu được dung dịch chứa 2 chất rắn vô cơ gồm Na2CO3 và NaOH dư
→ cấu tạo của X là CH3NH3HCO3 : x mol
Cấu tạo của Y là: (CH3NH3)2CO3 : y mol
CH3NH3HCO3 + HCl → CH3NH3Cl + CO2 + H2O
(CH3NH3)2CO3 + 2HCl → 2CH3NH3Cl + CO2 + H2O
CH3NH3HCO3 + NaOH → Na2CO3 + CH3NH2 + H2O
(CH3NH3)2CO3 + 2NaOH → Na2CO3 + 2CH3NH2 + 2H2O
Ta có hệ 
→ m = 21,7 gam
→ Đáp án C
Câu 95: Đốt cháy hoàn toàn hỗn hợp gồm 1 amin no đơn chức mạch hở X và 1 amin không no đơn chức mạch hở Y có 1 nối đôi C=C có cùng số nguyên tử C với X cần 55,44 lít O2(đktc) thu được hỗn hợp khí và hơi trong đó nCO2 : nH2O = 10:13 và 5,6 lít N2 (đktc). Khối lượng của hỗn hợp amin ban đầu là:
A. 35,9 gam
B. 21,9 gam
C. 29 gam
D. 28,9 gam
Giả sử X, Y + 2,475 mol O2 → x mol CO2 + y mol H2O + 0,25 mol N2
Theo đề bài ⇒ x/y = 10/13
Bảo toàn nguyên tố oxi → 2x + y = 2.2,475
Tìm được x = 1,5 mol ; y = 1,95 mol
Bảo toàn Khối lượng:
⇒ mX + mY = mC + mH + mN = 1,5.12 + 1,95.2 + 0,25.28 = 28,9 g
→ Đáp án D
Câu 96: Hỗn hợp khí X gồm etylamin và hai hiđrocacbon đồng đẳng liên tiếp. Đốt cháy hoàn toàn 100 ml hỗn hợp X bằng một lượng oxi vừa đủ, thu được 550 ml hỗn hợp Y gồm khí và hơi nước. Nếu cho Y đi qua dung dịch axit sunfuric đặc (dư) thì còn lại 250 ml khí (các thể tích khí và hơi đo ở cùng điều kiện). Công thức phân tử của hai hiđrocacbon là
A. CH4 và C2H6.
B. C2H4 và C3H6.
C. C2H6 và C3H8.
D. C3H6 và C4H8.
Gọi công thức chung của 2 hidrocacbon là CxHy. Gọi VC2H7N = a; VCxHy = b
Ta có: a + b = 100 ⇒ a = 100 – b
Khi cho Y qua H2SO4 đặc ⇒ H2O bị giữ lại

Mà VH2O = 0,5.(7a + by) ; VCO2 = 2a + xb ; VN2 = 0,5a
Do vậy
+) Từ 5a + 2xb = 500, mà a = 100 – b
⇒ 5.(100 – b) + 2xb = 500 ⇒ x = 2,5
⇒Hai hidrocacbon đồng đẳng kế tiếp có số mol bằng nhau (vì số C trung bình = 2,5)
⇒ Số H phải là số lẻ (là trung bình cộng của 2 số chẵn liên tiếp)
+) Từ 7a + by = 600 ⇒ 7.(100 – b) + by = 600 ⇒ (7 – y)b = 100 ⇒ y < 7
Do đó, y = 3 hoặc y = 5
⇒ Hai hidrocacbon là: C2H4 và C3H6 (y = 5)
hoặc C2H2 và C3H4 (y = 3)
→ Đáp án B
Câu 97: Cho sơ đồ chuyển hóa sau:
CH3-CH(NH3HSO4)-COOC2H5.
A. CH3-CH(NH2)-COONH4
B. CH3-CH(CH3)-COONH4
C. H2N-CH2-CH2-COOH
D. CH3-CH(NH2)-COOH
A: CH3-CH(NH2)-COONH4
B: CH3-CH(NH2)-COONa
C: CH3-CH(NH3HSO4)-COOH
→ Đáp án A
Câu 98: Để phân biệt phenol, anilin, benzen, stiren người ta sử dụng lần lượt các thuốc thử nào sau đây?
A. Quì tím, brom
B. Dung dịch NaOH và brom
C. Brom và quì tím
D. Dung dịch HCl và quì tím.
Phenol ít tan trong nước, khi cho dung dịch NaOH vào các mẫu thử, mẫu thử mà phản ứng với NaOH tạo dung dịch đồng nhất đó là phenol. Các mẫu thử còn lại không có hiện tượng gì.
Cho dung dịch brom vào các mẫu thử còn lại, mẫu thử làm mất màu nước brom là stiren, mẫu thử tạo kết tủa trắng là anilin, mẫu thử không có hiện tượng gì là benzen.
C6H5OH + NaOH → C6H5ONa + H2O
C6H5CH=CH2 + Br2 → C6H5CHBr-CH2Br.
C6H5NH2 + 3Br2 → C6H2NH2(Br)3 + 3HBr.
→ Đáp án B
Câu 99: Để phân biệt các dung dịch hóa chất mất nhãn: axit axetic, glixerol, glucozơ, fomalin, propan-1,3-điol, anbumin ta chỉ cần dùng
A. Na.
B. dd AgNO3/NH3.
C. Cu(OH)2/NaOH.
D. dung dịch Na2CO3.
Để phân biệt các dung dịch hóa chất mất nhãn: CH3COOH, C3H5(OH)3, C6H12O6, HCHO, CH2OH-CH2-CH2OH, anbumin ta chỉ cần dùng Cu(OH)2/OH-
B1: Cho tất cả các hóa chất phản ứng với thuốc thử ở nhiệt độ thường:
- Nếu xuất hiện màu xanh nhạt → CH3COOH:
Cu(OH)2 + 2CH3COOH → (CH3COO)2Cu + 2H2O
- Nếu dung dịch xuất hiện phức màu xanh đậm → C3H5(OH)3, C6H12O6.
2C3H8O3 + Cu(OH)2 → (C3H7O3)2Cu + 2H2O
2C6H12O6 + Cu(OH)2 → (C6H11O6)2Cu + 2H2O
- Nếu dung dịch xuất hiện màu tím đặc trưng → anbumin.
- Nếu dung dịch không có hiện tượng gì → HCHO, CH2OH-CH2-CH2OH.
B2: Cho hai dung dịch ở B1 không có hiện tượng gì phản ứng với Cu(OH)2/OH- có sự tham gia của nhiệt độ. Nếu xuất hiện ↓ đỏ gạch → HCHO
B3: Đun sôi hai dung dịch xuất hiện phức màu xanh đậm ở B1. Nếu dung dịch xuất hiện kết tủa đỏ gạch → C6H12O6.
C5H11O5-CHO + 2Cu(OH)2 + NaOH -to→ C5H11O5-COONa + Cu2O↓ + 3H2O
Nếu không có hiện tượng gì → C3H5(OH)3.
→ Đáp án C
Câu 100: Phát biểu nào sau đây không đúng?
A. Ala–Gly và Gly–Ala là hai đipeptit khác nhau.
B. Trong môi trường kiềm, protein tác dụng với Cu(OH)2 cho hợp chất có màu tím đặc trưng.
C. Hầu hết các enzim đều có bản chất là protein.
D. Các protein ít tan trong nước lạnh, tan nhiều trong nước nóng tạo thành dung dịch keo.
- Đáp án D sai vì protein có hai dạng: hình cấu và hình sợi. Protein hình sợi hoàn toàn không tan trong nước trong khi protein hình cầu tan trong nước tạo thành dung dịch keo như anbumin, hemoglobin
Mời các bạn tham khảo thêm các bài viết dưới đây của chúng tôi:
- Các phản ứng thủy phân Peptit và Protein
- Các phản ứng màu đặc trưng của Protein
- 100 câu trắc nghiệm Amin, Amino Axit, Protein có lời giải chi tiết (Cơ bản - phần 1)
- 100 câu trắc nghiệm Amin, Amino Axit, Protein có lời giải chi tiết (Cơ bản - phần 2)
- 100 câu trắc nghiệm Amin, Amino Axit, Protein có lời giải chi tiết (Cơ bản - phần 3)
- 100 câu trắc nghiệm Amin, Amino Axit, Protein có lời giải chi tiết (Nâng cao - phần 1)
- 100 câu trắc nghiệm Amin, Amino Axit, Protein có lời giải chi tiết (Nâng cao - phần 2)
Trên đây VnDoc đã giới thiệu tới các bạn 100 câu trắc nghiệm Amin, Amino Axit, Protein có lời giải chi tiết (Nâng cao - phần 3). Để có kết quả cao hơn trong học tập, VnDoc xin giới thiệu tới các bạn học sinh tài liệu Giải bài tập Toán lớp 12, Giải bài tập Hóa học lớp 12, Giải bài tập Vật Lí 12, Tài liệu học tập lớp 12 mà VnDoc tổng hợp và đăng tải. Mời các bạn cùng tham khảo thêm các môn Toán 12, Ngữ văn 12, tiếng Anh 12, đề thi học kì 1 lớp 12, đề thi học kì 2 lớp 12...
Mời bạn đọc cùng tham gia nhóm Tài liệu học tập lớp 12 của VnDoc.com để có thêm tài liệu học tập nhé.