Giao diện mới của VnDoc Pro: Dễ sử dụng hơn - chỉ tập trung vào lớp bạn quan tâm. Vui lòng chọn lớp mà bạn quan tâm: Lưu và trải nghiệm
Đóng
Điểm danh hàng ngày
  • Hôm nay +3
  • Ngày 2 +3
  • Ngày 3 +3
  • Ngày 4 +3
  • Ngày 5 +3
  • Ngày 6 +3
  • Ngày 7 +5
Bạn đã điểm danh Hôm nay và nhận 3 điểm!
Nhắn tin Zalo VNDOC để nhận tư vấn mua gói Thành viên hoặc tải tài liệu Hotline hỗ trợ: 0936 120 169

Bài tập về hỗn hợp Este hay có đáp án

Lớp: Lớp 12
Môn: Hóa Học
Dạng tài liệu: Chuyên đề
Phân loại: Tài liệu Tính phí

Chuyên đề Hóa học 12 Bài tập về hỗn hợp Este hay có đáp án. Hy vọng tài liệu sẽ giúp các bạn giải bài tập Hóa học lớp 12 hiệu quả hơn. Mời các bạn tham khảo.

Phương pháp giải bài tập về hỗn hợp Este

Khi bài cho 2 chức hữu cơ khi tác dụng với NaOH hoặc KOH tạo ra:

a) 2 muối và 1 ancol thì:

+ TH1: RCOOR’ và R”COOR’ có nNaOH = nR’OH

RCOOR’ + NaOH → RCOONa + R’OH

R”COOR’ + NaOH → R”COONa + R’OH

⇒ nNaOH = nR’OH

+ TH2: RCOOR’ và R”COOH có nNaOH > nR’OH

RCOOR’ + NaOH → RCOONa + R’OH

R”COOH + NaOH → R”COONa + H2O

⇒ nNaOH > nR’OH

b) 1 muối và 1 ancol thì:

+ TH1: RCOOR’ và R’OH

RCOOR’ + NaOH → RCOONa + R’OH

+ TH2: RCOOR’ và RCOOH

RCOOR’ + NaOH → RCOONa + R’OH

RCOOH + NaOH → RCOONa + H2O

+ TH3: RCOOH và R’OH

RCOOH + NaOH → RCOONa + H2O

c) 1 muối và 2 ancol thì:

+ TH1: RCOOR’ và RCOOR”

RCOOR’ + NaOH → RCOONa + R’OH

RCOOR” + NaOH → RCOONa + R”OH

+ TH2: RCOOR’ và R”OH

RCOOR’ + NaOH → RCOONa + R’OH

Ví dụ minh họa bài tập về hỗn hợp Este

Ví dụ 1: Hỗn hợp X gồm 1 ancol no, đơn chức và 1 axit no, đơn chức mạch hở.

Chia X thành 2 phần bằng nhau.

- Đốt cháy hoàn toàn phần 1 sản phẩm thu được cho qua bình nước vôi trong dư thấy có 30g kết tủa.

- Phần 2 được este hoá hoàn toàn vừa đủ thu được 1 este, đốt cháy este này thu được khối lượng H2O là:

A. 1,8g.

B. 3,6g.

C. 5,4g.

D. 7,2g.

Giải

Este thu được sẽ là este no, đơn chức mạch hở

Khi đốt este này thu được n_{H_2O}\(n_{H_2O}\) = n_{CO_2}\(n_{CO_2}\)

Do số C không đổi trong cả 2 phần nên

n_{H_2O}\(n_{H_2O}\) = n_{CO_2}\(n_{CO_2}\) = n_{CaCO_3}\(n_{CaCO_3}\) = 0,3 mol ⇒ m_{H_2O}\(m_{H_2O}\) = 5,4 g

Ví dụ 2: Hỗn hợp X gồm 2 chất A, B mạch hở, đều chứa các nguyên tố C, H, O và đều không tác dụng Na. Cho 10,7g hh X tác dụng vừa đủ NaOH rồi cô cạn sản phẩm thu được phần rắn gồm 2 muối natri của 2 axít đơn chức no đồng đẳng liên tiếp và phần hơi bay ra chỉ có một rượu E duy nhất. Cho E tác dụng với Na dư thu được 1,12lít H2 (đktc). Oxi hoá E bằng CuO đun nóng và cho sản phẩm có thể tham gia phản ứng tráng gương.

a) Tìm CTCT của E biết dE/KK = 2

b) Tìm CTCT A, B biết MA < MB

Giải

a. ME = 29.2 = 58

Oxi hoá E bằng CuO đun nóng và cho sản phẩm có thể tham gia phản ứng tráng gương ⇒ E là ancol bậc 1.

⇒ E: C3H6O : CH2=CH-CH2OH (rượu allylic)

b. Theo bài ra A, B là 2 este đơn chức, đồng đẳng liên tiếp: RCOOC3H5

nX = nrượu = 2n_{H_2}\(2n_{H_2}\) = 0,1 ⇒ MX = 10,7/0,1 = 107 ⇒ R = 22

⇒ A: CH3COOCH2-CH=CH2 và B: C2H5COOCH2-CH=CH2

Bài tập vận dụng bài tập về hỗn hợp Este

Câu 1. X là hỗn hợp chứa một axit đơn chức, một ancol hai chức và một este hai chức (đều mạch hở). Người ta cho X qua dung dịch nước Br2 thì không thấy nước Br2 bị nhạt màu. Đốt cháy hoàn toàn 0,09 mol X cần 10,752 lít khí O2 (đktc). Sau phản ứng thấy khối lượng của CO2 lớn hơn khối lượng của H2O là 10,84 gam. Mặt khác, 0,09 mol X tác dụng vừa hết với 0,1 mol KOH. Cô cạn dung dịch sau phản ứng thu được m gam muối khan và một ancol có 3 nguyên tử C trong phân tử. Giá trị của m là:

A. 9,8

B. 8,6

C. 10,4

D. 12,6

n_{O_2}\(n_{O_2}\) = 0,48 mol

Do chỉ thu được 1 ancol có 3 nguyên tử C ⇒ Ancol đó là C3H6(OH)2

Este = Axit + Ancol – H2O nên ta quy đổi hỗn hợp X thành:

axit CnH2nO2: 0,1 mol

ancol C3H6 (OH)2: a mol

H2O: -b mol

⇒ nX = 0,1 + a – b = 0,09 (1)

PTHH:

Bài tập về hỗn hợp Este hay có đáp án

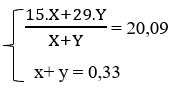
Ta có hệ pt:

n_{O_2}\(n_{O_2}\) = 0,05.(3n-2)+ 4a = 0,48 (2)

m_{CO_2}\(m_{CO_2}\)m_{H_2O}\(m_{H_2O}\) = 44.(0,1n + 3a) – 18.(0,1n + 4a – b) = 10,84 (3)

Từ (1), (2), (3) ⇒ a = 0,07 ; b = 0,08 ; n = 2

Mặt khác

Bài tập về hỗn hợp Este hay có đáp án

Với n = 2 ⇒ mmuối = 0,1. 98 = 9,8 gam

Câu 2. Hỗn hợp X chứa ba este mạch hở; trong đó có hai este đơn chức và một este hai chức, không no. Đốt cháy hoàn toàn 29,04 gam X cần dùng 1,59 mol O2, thu được 20,52 gam nước. Mặt khác hiđro hóa hoàn toàn 29,04 gam X với lượng H2 vừa đủ (xúc tác Ni, to) thu được hỗn hợp Y. Đun nóng toàn bộ Y với dung dịch NaOH vừa đủ, thu được hỗn hợp Z chứa hai ancol và hỗn hợp T chứa hai muối của hai axit kế tiếp trong dãy đồng đẳng. Dẫn toàn bộ Z qua bình đựng Na dư, thấy khối lượng bình tăng 13,41 gam. Nung nóng hoàn toàn T với vôi tôi xút thu được hỗn hợp khí có khối lượng là 6,96 gam. Phần trăm khối lượng của este có khối lượng phân tử lớn nhất trong hỗn hợp X là:

A. 57,0%.

B. 53,3%.

C. 48,9%.

D. 49,6%.

n_{H_2O}\(n_{H_2O}\) = 0,57mol. Bảo toàn khối lượng ⇒ n_{CO_2}\(n_{CO_2}\) = 0,675mol

Bảo toàn O ⇒ nO(X) = 0,33mol

⇒ Đốt 29,04 gam X ⇒ n_{CO_2}\(n_{CO_2}\) = 1,35 và n_{H_2O}\(n_{H_2O}\) = 1,14mol

nO(Y) = 0,66 ⇒ nNaOH = 0,33mol

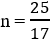
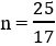
RCOONa + NaOH → RH + Na2CO3

0,33mol

⇒ R + 1 = 6,96/0,33 ⇒ R = 20,09 ⇒ 2 muối là CH3COONa và C2H5COONa

Bài tập về hỗn hợp Este hay có đáp án

n_{CH_3COONa}\(n_{CH_3COONa}\) = 0,21 mol và n_{C_2H_5COONa}\(n_{C_2H_5COONa}\) 0,12 mol

nOH- (Z) = 0,33 mol ⇒ n_{H_2}\(n_{H_2}\) = 0,165mol

mZ = mtăng + m_{H_2}\(m_{H_2}\) = 13,74g

Bảo toàn khối lượng ⇒ mY = 29,28g

n_{H_2}\(n_{H_2}\) phản ứng = Bài tập về hỗn hợp Este hay có đáp án = 0,12 mol

⇒ Đốt Y ⇒ n_{CO_2}\(n_{CO_2}\) = 1,35 mol và n_{H_2O}\(n_{H_2O}\)O = 1,14 + 0,12 = 1,26 mol

⇒ nEste đôi = n_{CO_2}\(n_{CO_2}\) n_{H_2O}\(n_{H_2O}\) = 0,09mol

Bảo toàn O ⇒ nEste đơn = 0,15mol

⇒ nAncol đơn (0,15mol) và nAncol đôi (0,09mol), với Z1 và Z2 là phân tử khối tương ứng.

mZ = 0,15Z1 + 0,09Z2 = 13,74

⇒ 5Z1 + 3Z2 = 458

⇒ Z1 = 46 và Z2 = 76 là nghiệm duy nhất.

⇒ Z gồm C2H5OH (0,15mol) và C3H6(OH)2 (0,09mol)

Kết hợp với số mol muối ta có Y chứa:

CH3COOC2H5 (0,12mol); C2H5COOC2H5 (0,03mol) và CH3COO-C3H6-OOC-C2H5(0,09mol)

Trong phản ứng cộng H2, dễ thấy nH2 = nC2H5COONa nên X chứa:

CH3COOC2H5 (0,12mol); C2H3COOC2H5 (0,03mol) và CH3COO-C3H6-OOC-C2H3(0,09mol)

⇒ %CH3COO-C3H6 -OOC-C2H3 = 53,3%

Câu 3. Hỗn hợp A gồm axit axetic và etanol. Chia A thành ba phần bằng nhau.

+ Phần 1 tác dụng với Kali dư thấy có 3,36 lít khí thoát ra.

+ Phần 2 tác dụng với Na2CO3 dư thấy có 1,12 lít khí CO2 thoát ra. Các thể tích khí đo ở đktc.

+ Phần 3 được thêm vào vài giọt dung dịch H2SO4, sau đó đun sôi hỗn hợp một thời gian. Biết hiệu suất của phản ứng este hoá bằng 60%. Khối lượng este tạo thành là bao nhiêu?

A. 8,80 gam.

B. 5,20 gam.

C. 10,56 gam.

D. 5,28 gam.

n_{CH_3COOH}\(n_{CH_3COOH}\) = 3a mol, n_{C_2H_5OH}\(n_{C_2H_5OH}\)= 3b mol

Phần 1: n_{H_2}\(n_{H_2}\) = 0,15 mol

⇒ Trong 1 phần: nhh A = 0,15.2 = 0,3 mol

Phần 2: n_{CO_2}\(n_{CO_2}\) = 0,05 mol

n_{CH_3COOH}\(n_{CH_3COOH}\) = a = 0,05.2 = 0,1 mol ⇒ b = 0,3 – 0,1 = 0,2 mol

Phần 3: CH3COOH + C2H5OH → CH3COOC2H5 + H2O

m_{CH_3COOC_2H_5}\(m_{CH_3COOC_2H_5}\) = 0,1. 88. 60% = 5,28g

Đáp án D

Câu 4. Hỗn hợp X gồm một ancol đơn chức Y, axit hữu cơ Z và este T tạo ra từ ancol Y và axit Z. Cho m gam X tác dụng với 200 ml dung dịch KOH 0,5 M(dư 25% so với lượng phản ứng) đung nóng, sau khi kết thúc các phản ứng thu được dung dịch A. Cô cạn dung dịch A thu được 8,96 gam chất rắn khan. Đốt cháy hoàn toàn m gam X trên bằng O2 lấy dư, thu được 8,96 lít CO2 (đktc) và 10,8 gam H2O. Công thức của T là

A. HCOOC2H5

B. HCOOCH3

C. CH3COOC2H5

D. CH3COOCH3

nKOH = 0,1 mol = nKOH pư + 25% nKOH pư

⇒ nKOH pư = 0,08mol và nKOH dư = 0,02 mol

Khi cô cạn A thu được RCOOK (0,08mol); KOH dư (0,02 mol)

mrắn = 8,96g ⇒ mRCOOK = 8,96 - 0,02.56 = 7,84g

⇒ MRCOOK = 7,84/0,08 =94 = > R = 15

Vậy Z là CH3COOH

Đốt X thu n_{H_2O}\(n_{H_2O}\) = 0,6 > n_{CO_2}\(n_{CO_2}\) = 0,4 nên ancol no.

Vì este = axit + ancol –H2 nên quy đổi X thành:

CnH2n+2O: a mol

CH3COOH: 0,08 mol

H2O: -b mol

n_{CO_2}\(n_{CO_2}\) = na + 0,16 = 0,4 (1)

n_{H_2O}\(n_{H_2O}\) = na + a + 0,16 – b = 0,6 (2)

Lấy (2) – (1) ⇒ a – b = 0,2 ⇒ a > 0,2

Từ (1) ⇒ na = 0,24 ⇒ Bài tập về hỗn hợp Este hay có đáp án = 1,2

Vậy n = 1 ⇒ Ancol CH3OH và este CH3COOCH3

Câu 5. Y là hai axit đều đơn chức; Z là este thuần chức, mạch hở được tạo bởi X, Y và glixerol. Đốt cháy hoàn toàn 9,16 gam hỗn hợp E chứa X, Y, Z cần dùng 0,2 mol O2, thu được 3,24 gam nước. Mặt khác hiđro hóa hoàn toàn 9,16 gam E cần dùng 0,08 mol H2 (xúc tác Ni, to), thu được hỗn hợp T. Đun nóng toàn bộ T với 300 ml dung dịch KOH 1M, cô cạn dung dịch sau phản ứng thu được m gam rắn khan. Giá trị của m là

A. 22,68.

B. 19,72.

C. 21,94.

D. 14,40.

Bảo toàn khối lượng cho phản ứng đốt E ⇒ n_{CO_2}\(n_{CO_2}\) = 0,28mol

Bảo toàn khối lượng cho phản ứng cộng H2 ⇒ mT = 9,32g

Nếu đốt T thì cần n_{O_2}\(n_{O_2}\) = Bài tập về hỗn hợp Este hay có đáp án = 0,24 và thu được:

n_{CO_2}\(n_{CO_2}\) = 0,28mol

n_{H_2O}\(n_{H_2O}\) = 0,18 + 0,08 = 0,26mol

Vì este = axit + ancol – H2 ⇒ Quy đổi T thành:

CnH2nO2: a mol

C3H5(OH)3: b mol

H2O: -3b mol

n_{CO_2}\(n_{CO_2}\) = na + 3b = 0,28

n_{H_2O}\(n_{H_2O}\) = na + 4b – 3b = 0,26

mT = a(14n + 32) + 92b – 18.3b = 9,16 + 0,08.2

Giải hệ trên được:

a = 0,17

b = 0,01

na = 0,25 ⇒ Bài tập về hỗn hợp Este hay có đáp án

Chất rắn gồm CnH2n-1O2K (0,17 mol) và KOH dư (0,13 mol)

⇒ mrắn = 22,68g

Mời các bạn tham khảo thêm các bài viết dưới đây của chúng tôi:

Trên đây VnDoc đã giới thiệu tới các bạn Bài tập về hỗn hợp Este hay có đáp án. Để có kết quả cao hơn trong học tập, VnDoc xin giới thiệu tới các bạn học sinh tài liệu Giải bài tập Toán lớp 12, Giải bài tập Hóa học lớp 12, Giải bài tập Vật Lí 12, Tài liệu học tập lớp 12VnDoc tổng hợp và đăng tải.

Đóng Chỉ thành viên VnDoc PRO/PROPLUS tải được nội dung này!
Đóng
79.000 / tháng
Đặc quyền các gói Thành viên
PRO
Phổ biến nhất
PRO+
Tải tài liệu Cao cấp 1 Lớp
30 lượt tải tài liệu
Xem nội dung bài viết
Trải nghiệm Không quảng cáo
Làm bài trắc nghiệm không giới hạn
Mua cả năm Tiết kiệm tới 48%

Có thể bạn quan tâm

Xác thực tài khoản!

Theo Nghị định 147/2024/ND-CP, bạn cần xác thực tài khoản trước khi sử dụng tính năng này. Chúng tôi sẽ gửi mã xác thực qua SMS hoặc Zalo tới số điện thoại mà bạn nhập dưới đây:

Số điện thoại chưa đúng định dạng!
Số điện thoại này đã được xác thực!
Bạn có thể dùng Sđt này đăng nhập tại đây!
Lỗi gửi SMS, liên hệ Admin
Sắp xếp theo
🖼️

Chuyên đề Hóa 12

Xem thêm
🖼️

Gợi ý cho bạn

Xem thêm