Bài toán về chất béo
VnDoc mời các bạn tham khảo Bài toán về chất béo. Hy vọng qua bộ tài liệu các bạn giải Hóa 12 hiệu quả hơn.
Hóa học 12: Bài toán về chất béo
A. Phương pháp và ví dụ
Lý thuyết và Phương pháp giải
Chất béo (lipit) thuộc loại este nên cũng tham gia phản ứng đặc trưng của este như phản ứng thủy phân (trong mối trường axit hay trong môi trường kiềm). Ngoài ra với lipit không no còn có phản ứng cộng như công H2, cộng Iôt...
Ví dụ minh họa
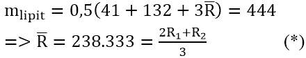
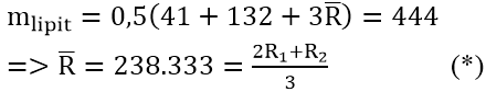
Bài 1: Thủy phân hoàn toàn 444 gam một lipit thu được 46 gam glixerol (glixerin)và hai loại axit béo. Xác định công thức của hai loại axit béo đó.
Hướng dẫn:
Ta có: nglixerol = 46/92 = 0,5(mol)
Gọi công thức của lipit có dạng: ![]()
Phản ứng: ![]()

Mà:
\(M_{C_{17}H_{35}-}\)= 239 ;
\(M_{C_{17}H_{33}-}\) = 237
\(M_{C_{15}H_{33-}}\)= 213;
\(M_{C_{15}H_{31-}}\) = 211
Kết hợp với (*) ⇒ cặp nghiệm thích hợp:
\(M_{C_{17}H_{35}-}\) và
\(M_{C_{17}H_{33}-}\)
Bài 2: 10,4 gam hỗn hợp X gồm axit axetic và etyl axetat tác dụng vừa đủ với 150 gam dung dịch natri hidroxit 4%. Xác định thành phần phần trăm theo khối lượng của etyl axetat trong hỗn hợp ban đầu.
Hướng dẫn:
Gọi A là số mol của CH3COOH và b là số mol của CH3COOC2H5
Ta có: nNaOH = (4*150)/(100*40) = 0,15 (mol)

Theo đề bài, ta có hệ phương trình: 
Giải hệ phương trình, ta được: a = 0,1; b = 0,05
Vậy:
\(\%mCH_3COOC_2H_5\) = 0,05.88/10,4 . 100% = 42,3%
Bài 3: Thủy phân chất béo glixerol tristearat (C17H35COO)3C3H5 cần dùng 1,2 kg NaOH. Biết hiệu suất phản ứng là 80%. Khối lượng glixerol thu được là:
A. 8,100 kg
B. 0.750 kg
C. 0,736 kg
D. 6,900 kg
Hướng dẫn:
(C17H35COO)3C3H5 + 3NaOH → 3C17H35COONa + C3H5(OH)3 (1)
Ta có: nNaOH = 1,2/40 = 0,03 (kmol)
Từ (1) ⇒
\(n_{C_3H_5(OH)_3}\) = 1/3 nNaOH = 0,01 (kmol)
⇒
\(m_{C_3H_5(OH)_3}\) = 0,01 x 92 = 0,92 (kg)
Vì H = 80% ⇒
\(m_{C_3H_5(OH)_3}\) thực tế = 0,92 x 80/100 = 0,736 (kg)
Đáp án C
B. Bài tập trắc nghiệm
Bài 1: Cần bao nhiêu kg chất béo chứa 89% khối lượng tristearin (còn 11% tạp chất trơ bị loại bỏ trong quá trình nấu xà phòng) để sản xuất được 1 tấn xà phòng chứa 72% khối lượng natri stearate.
A. 702,63g
B. 789,47g
C. 704,84g
D. 805,46g
Đáp án: B
(C17H35COO)3C3H5 + 3NaOH → 3C17H35COONa + C3H5(OH)3
Khối lượng chất béo là: 702,63.(100/89) = 789,47(kg)
Bài 2: Một loại mỡ chứa 50% olein (glixerol trioleat) 30% panmitin (glixerol tripanmitat) và 20% stearin (glixerol tristearat). Viết phương trình phản ứng điều chế xà phòng từ loại mỡ trên. Tính khối lượng xà phòng và khối lượng glixerol thu được từ 100kg mỡ đó. Giả sử phản ứng xảy ra hoàn toàn.
A. 102,3 g và 23,4g
B. 213g và 11g
C. 103,2g và 10,7g
D. 224g và 32g
Đáp án: C
Phản ứng.
Trong hỗn hợp 100 kg mỡ có: 50 kg olein; 30 kg panmitin và 20 kg sterin.
Khối lượng xà phòng thu được:
Khối lượng glixerol thu được: ![]()
Bài 3: Thuỷ phân hoàn toàn 10 gam một lipit trung tính cần 1,68 gam KOH. Từ 1 tấn lipit trên có thể điều chế được bao nhiêu tấn xà phòng natri loại 72%.
A. 1,428
B. 1,028
C. 1,513
D. 1,628
Đáp án: A
Theo đề bài ⇒ Thủy phân 10 g lipid cần nNaOH = nKOH = 1,68/56 = 0,03 mol
⇒ Thủy phân 1 tấn lipid cần nNaOH = 3000 mol
⇒
\(n_{C_3H_5(OH)_3}\) = 1/3 . nNaOH = 1000 mol
BTKL ⇒ mxà phòng = 106 + 3000.40 - 1000.92 = 1028000 = 1,028 tấn
⇒ m xà phòng 72% = 1,028/0,72 = 1,428 tấn
Bài 4: Giả sử một chất béo có công thức:
Muốn điều chế 20 kg xà phòng từ chất béo này thì cần dùng bao nhiêu kg chất béo này để tác dụng với dung dịch xút? Coi phản ứng xảy ra hoàn toàn.
A. 19,37 kg chất béo
B. 21,5 kg
C. 25,8 kg
D. Một trị số khác
Đáp án: A
Giả sử ta cần x mol chất béo đó
Bảo toàn khối lượng ⇒ 860x + 3x.40 = mxà phòng + x.92
Mà mxà phòng = 20 000g ⇒ x = 22,522
⇒ mchất béo = 22,522.860 = 19,37.103 (g) = 19,37 kg
Bài 5: Câu nào sau đây đúng? Dầu mỡ động thực vật và dầu bôi trơn máy:
A. Khác nhau hoàn toàn
B. Giống nhau hoàn toàn
C. Chỉ giống nhau về tính chất hoá học.
D. Đều là lipit.
Đáp án: A
Dầu mỡ động thực vật là các trieste, còn dầu mỡ bôi trơn máy là các ankan cao phân tử. Chúng hoàn toàn khác nhau.
Bài 6: Câu nào sau đây sai?
A. Lipit là một loại chất béo
B. Lipit có trong tế bào sống
C. Lipit không hoà tan trong nước
D. Lipit là một loại este phức tạp
Đáp án: A
Lipit bao gồm các chất béo, sáp, steroid, phospholipid...
Mời các bạn tham khảo thêm các bài viết dưới đây của chúng tôi:
- Lý thuyết Chất giặt rửa
- Lý thuyết Các phản ứng hóa học của Este, Lipit
- Lý thuyết luyện tập: Mối liên hệ giữa hiđrocacbon và một số dẫn xuất của hiđrocacbon
- Tính chất hóa học và tên gọi của Este
- Các phản ứng hóa học của Este
- Cách điều chế, nhận biết Este
- Bài toán về phản ứng đốt cháy Este
- Xác định chỉ số xà phòng hóa, chỉ số axit, chỉ số iot của chất béo
Trên đây VnDoc đã giới thiệu tới các bạn Bài toán về chất béo. Để có kết quả cao hơn trong học tập, VnDoc xin giới thiệu tới các bạn học sinh tài liệu Giải bài tập Toán lớp 12, Giải bài tập Hóa học lớp 12, Giải bài tập Vật Lí 12, Tài liệu học tập lớp 12 mà VnDoc tổng hợp và đăng tải.