Lý thuyết: Luyện tập Polime và vật liệu Polime
Chuyên đề Hóa học 12 Lý thuyết: Luyện tập Polime và vật liệu Polime. Nội dung tài liệu sẽ giúp các bạn giải bài tập Hóa học lớp 12 hiệu quả hơn. Mời các bạn tham khảo chi tiết và tải về tại đây nhé.
Hóa học 12: Luyện tập Polime và vật liệu Polim
VnDoc.com xin gửi tới bạn đọc bài viết Chuyên đề Hóa học 12 Lý thuyết: Luyện tập Polime và vật liệu Polime để bạn đọc cùng tham khảo. Bài viết được tổng hợp gồm có nội dung lý thuyết về polime và vật liệu polime như khái niệm polime, cấu trúc của polime, tính chất hóa học của polime, tính chất vật lý, cách điều chế polime, tìm hiểu về các vật liệu polime... Mời các bạn cùng tham khảo chi tiết và tải về tại đây nhé.
I. Polime
1. Khái niệm
- Polime là những hợp chất có phân tử khối rất lớn do nhiều đơn vị cơ sở (gọi là các mắc xích) liên kết lại với nhau.
- Chỉ số n gọi là hệ số polime hóa hay độ polime hóa n càng lớn thì phân tử khối của polime càng cao.
2. Cấu trúc
Polime có:
- Mạch không phân nhánh, như amilozơ của tinh bột.
- Mạch phân nhánh, như amilopectin của tinh bột, glicogen…
- Mạch không gian, như cao su lưu hóa, nhựa bakelit…
3. Tính chất
a. Tính chất vật lý
- Hầu hết polime là chất rắn, không tan trong nước, không bay hơi. Có nhiệt độ nóng chảy không xác định.
- Nhiều polime có tính dẻo, tính đàn hồi.
- Nhiều polime cách nhiệt, cách điện, bán dẫn, dai bền…
- Nhiều polime trong suốt, không giòn: thủy tinh hữu cơ.
b. Tính chất hóa học
* Phản ứng cắt mạch
- Các polime có nhóm chức trong mạch dễ bị thủy phân, như:
Tinh bột, xenlulozơ thủy phân thành glucozơ
Polipeptit, poliamit thủy phân thành các amino axit
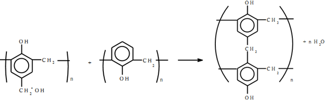
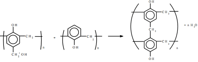
- Polime trùng hợp bị nhiệt phân thành polime ngắn hơn hoặc monome ban đầu.

* Phản ứng cộng ở polime không no

* Phản ứng tăng mạch cacbon

4. Điều chế
a. Phương pháp trùng hợp
- Là quá trình cộng hợp nhiều monome (phân tử nhỏ) giống nhau hay tương tự nhau tạo thành polime (phân tử lớn).
- Điều kiện để phân tử có phản ứng trùng hợp:
+ Phân tử phải có liên kết đôi, như CH2 = CH2; C6H5 – CH = CH2; CH2 = CH – Cl …
+ Phân tử có vòng kém bền
b. Phương pháp trùng ngưng.
- Là quá trình cộng hợp nhiều monome (phân tử nhỏ) tạo thành polime (phân tử lớn) đồng thời giải phóng ra nhiều phân tử nhỏ khác như H2O.
- Điều kiện để phân tử có phản ứng trùng ngưng:
+ Monome phải có ít nhất hai nhóm chức có khả năng phản ứng hóa học như: -NH2, -OH, -COOH…
II. Vật liệu polime
1. Chất dẻo
- Là những vật liệu polime có tính dẻo.
Tính dẻo: là tính bị biến dạng khi chịu tác dụng của nhiệt, áp lực bên ngoài và vẫn giữ nguyên được sự biến dạng đó khi thôi tác dụng.
2. Tơ
- Là những vật liệu polime hình sợi dài và mảnh với độ bền nhất định.
- Trong tơ có polime, polime này có đặc tính
+ Không phân nhánh, xếp song song nhau
+ Rắn, bền nhiệt, bền với dung môi thường.
+ Mềm, dai, không độc và có khả năng nhuộm màu tốt.
3. Cao su
- Là vật liệu polime có tính đàn hồi.
- Có 2 loại: cao su tự nhiên và cao su tổng hợp
4. Keo dán tổng hợp
- Keo dán là loại vật liệu có khả năng kết dính hai mảnh vật liệu rắn giống hoặc khác nhau mà không làm biến đổi bản chất của các vật liệu được kết dính.
- Bản chất:
+ Có thể tạo ra màng hết sức mỏng, bền gắn chắc giữa hai mảnh vật liệu.
+ Lớp màng mỏng này phải bám chắc vào 2 mảnh vật liệu được dán.
5. Vật liệu compozit
- Vật liệu gồm polime làm nhựa nèn tổ hợp với các vật liệu vô cơ, hữu cơ khác.
Mời các bạn tham khảo thêm các bài viết dưới đây của chúng tôi:
- 100 câu trắc nghiệm Amin, Amino Axit, Protein có lời giải chi tiết (Cơ bản - phần 3)
- 100 câu trắc nghiệm Amin, Amino Axit, Protein có lời giải chi tiết (Nâng cao - phần 1)
- 100 câu trắc nghiệm Amin, Amino Axit, Protein có lời giải chi tiết (Nâng cao - phần 2)
- 100 câu trắc nghiệm Amin, Amino Axit, Protein có lời giải chi tiết (Nâng cao - phần 3)
- Lý thuyết Polime: Tính chất hóa học, Tính chất vật lí, Cấu tạo, Phân loại
- Lý thuyết Vật liệu Polime: Chất dẻo, tơ, cao su, keo dán
- Lý thuyết: Một số phản ứng hóa học thường gặp của Polime
Trên đây VnDoc đã giới thiệu tới các bạn Lý thuyết: Luyện tập Polime và vật liệu Polime. Để có kết quả cao hơn trong học tập, VnDoc xin giới thiệu tới các bạn học sinh tài liệu Giải bài tập Toán lớp 12, Giải bài tập Hóa học lớp 12, Giải bài tập Vật Lí 12, Tài liệu học tập lớp 12 mà VnDoc tổng hợp và đăng tải. Mời các bạn cùng tham khảo thêm các môn Toán 12, Ngữ văn 12, tiếng Anh 12, đề thi học kì 1 lớp 12, đề thi học kì 2 lớp 12...
Mời bạn đọc cùng tham gia nhóm Tài liệu học tập lớp 12 của VnDoc.com để có thêm tài liệu học tập nhé.
Mời các bạn cùng tham khảo thêm các tài liệu sau:
- 50 câu trắc nghiệm Polime và vật liệu Polime có lời giải chi tiết (Nâng cao - phần 1)
- 50 câu trắc nghiệm Polime và vật liệu Polime có lời giải chi tiết (Nâng cao - phần 2)
- Ôn tập Hóa học lớp 12 chương 4: POLIME và VẬT LIỆU POLIME