Phản ứng trùng hợp Polime
Chuyên đề Hóa học 12 Phản ứng trùng hợp Polime. Nội dung tài liệu sẽ giúp các bạn giải bài tập Hóa học lớp 12 hiệu quả hơn. Mời các bạn tham khảo chi tiết và tải về tại đây nhé.
Hóa học 12: Phản ứng trùng hợp Polime
VnDoc.com xin gửi tới bạn đọc bài viết Chuyên đề Hóa học 12 Phản ứng trùng hợp Polime để bạn đọc cùng tham khảo. Bài viết được tổng hợp gồm có nội dung lý thuyết về phản ứng trùng hợp polime như phương pháp giải và ví dụ về phản ứng trùng hợp polime, đi kèm với đó là bài tập trắc nghiệm về phản ứng trùng polime. Qua bài tập bạn đọc có thể luyện tập được cách tìm công thức số mắt xích tham gia phản ứng, tìm hệ số trùng hợp của polime... Mời các bạn cùng tham khảo chi tiết và tải về tại đây nhé.
A. Phương pháp và ví dụ phản ứng trùng hợp Polime
Lý thuyết và Phương pháp giải
Áp dụng định luật bảo toàn khối lượng để tính khối lượng polime khi biết lượng monome và hệ số trùng hợp n:

Ví dụ minh họa
Bài 1: Khối lượng phân tử của 1 loại tơ capron bằng 16950 đvc, của tơ enang bằng 21590 đvc. Số mắt xích trong công thức phân tử của mỗi loại tơ trên lần lượt là:
A. 150 và 170.
B. 170 và 180.
C. 120 và 160.
D. 200 và 150.
Hướng dẫn:
Mắt xích của tơ capron (nilon-6) và tơ enang (nilon-7) có cấu tạo lần lượt là:
![]()
Số mắt xích trong công thức phân tử của mỗi loại tơ lần lượt là 150 và 170.
Bài 2: Số mắt xích glucozơ có trong 194,4 mg amilozơ là (cho biết số Avogađro = 6,02.1023)
A. 7224.1017.
B. 6501,6.1017.
C. 1,3.10-3.
D. 1,08.10-3.
Hướng dẫn:
Amilozơ là một thành phân cấu tạo nên tinh bột, amilozơ là polime có mạch không phân nhánh, do nhiều mắt xích a-glucozơ –C6H10O5– liên kết với nhau tạo thành.

Bài 3: Cứ 5,668 gam cao su buna - S phản ứng vừa hết với 3,642 gam brom trong CCl4. Tỉ lệ mắt xích butadien và stiren trong cao su buna - S là:
A. 1 : 4
B. 2 : 3
C. 1 : 5
D. 1 : 2
Hướng dẫn:
Đặt công thức cao su buna - S có dạng:
[ – CH2 – CH = CH – CH2 – ]n[– CH(C6H5)– CH2 –]m
M = 54n + 104 gam

B. Bài tập trắc nghiệm phản ứng trùng hợp Polime
Bài 1: Cho sơ đồ tổng hợp poli(vinyl clorua) (PVC) như sau:
![]()
Để tổng hợp 1 tấn PVC thì cần bao nhiêu m3 khí thiên nhiên (chứa 955 metan) ở đktc?
A. 5883 m3
B. 5888 m3
C. 5683 m3
D. 5970 m3
Đáp án: A
Sơ đồ điều chế:
Vì H = 12,825 % ⇒
\(V_{CH_4}\) cần dùng là:

Bài 2: Polime X có hệ số trùng hợp là 560 và phân tử khối là 35000. Công thức một mắt xích của X là:
A. –CH2–CHCl–.
B. –CH=CCl–.
C. –CCl=CCl–.
D. –CHCl–CHCl–.
Đáp án: A
Khối lượng của một mắt xích trong polime X là: 3500/560 = 62,5.
Vậy công thức của mắt xích là –CH2–CHCl–.
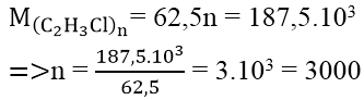
Bài 3: Một loại poli(vinyl clorua) có phân tử khối là 187,5.103 đvC. Hệ số trùng hợp của polime này bằng:
A. 1500
B. 2500
C. 3000
D. 3100
Đáp án: C

Bài 4: Thực hiện phản ứng clo hóa poli(vinyl clorua) thu được một loại tơ clorin chứa 66,7% clo. Số mắt xích trung bình của poli(vinyl clorua) đã tác dụng với một phân tử clo là:
A. 2
B. 1
C. 3
D. 4
Đáp án: A
Gọi x là số mắt xích trung bình của poli(vinyl clorua) tác dụng với một phân tử clo, ta có:
(C2H3Cl)x + Cl2 → C2xH3x-1Clx + 1 + HCl
Theo đề bài, ta có:

Bài 5: Khi đốt cháy m gam polietilen thu được 4480 lít CO2 (đktc). Giá trị của m là:
A. 2,8 kg
B. 1,4 kg
C. 2,1 kg
D. 0,28 kg
Đáp án: A
⇒ m = 100 x 28 = 2800 (gam) = 2,8 (kg)
Bài 6: Tính hệ số trùng hợp (số mắt xích) của tơ nilon-6,6 (biết M = 2500 g/mol) và của tơ capron (biết M = 15000 g/mol).
A. 8 B. 9 C. 10 D. 11
Đáp án: D
+) Tơ capron:
1 mắt xích tơ capron có M = 113 (g/mol).
Hệ số trùng hợp: 15000/113 = 133
+) Tơ nilon – 6,6
1 mắt xích nilon -6,6 có M = 226 (gam/mol)
Mtơ nilon-6,6 = 2500 (g|mol)
Hệ số trùng hợp: 2500/226 = 11
Bài 7: Phân tử khối trung bình của poli (hexametylen adipamit) là 30000, của cao su thiên nhiên là 105000. Hãy tính số mắt xích (trị số n) gần đúng trong công thức phân tử của mỗi loại polime trên.
A. 134 và 1665
B.132 và 1544
C. 132 và 245
D. 234 và 1876
Đáp án: B
+) Poli (hexametylen adipamit): (-NH-(CH2)6-NHCO-(CH2)4-CO-)n
nmắt xích = 30000/226 = 132 (mắt xích)
+) Cao su tự nhiên: [-H2C-C(CH3) = CH-CH2-]n
nmắt xích = 105000/68 = 1544 (mắt xích)
Bài 8: Cứ 5,668 gam cao su buna – S phản ứng vừa hết với 3,462 gam brom trong CCl4.
Xác định tỉ lệ mắt xích butađien và triren trong cao su buna - S.
Đáp án: B

Mời các bạn tham khảo thêm các bài viết dưới đây của chúng tôi:
- Lý thuyết Polime: Tính chất hóa học, Tính chất vật lí, Cấu tạo, Phân loại
- Lý thuyết Vật liệu Polime: Chất dẻo, tơ, cao su, keo dán
- Lý thuyết: Một số phản ứng hóa học thường gặp của Polime
- Lý thuyết: Luyện tập Polime và vật liệu Polime
- Câu hỏi lý thuyết về Polime
- Chuỗi phản ứng hóa học của Polime
Trên đây VnDoc đã giới thiệu tới các bạn Phản ứng trùng hợp Polime. Để có kết quả cao hơn trong học tập, VnDoc xin giới thiệu tới các bạn học sinh tài liệu Giải bài tập Toán lớp 12, Giải bài tập Hóa học lớp 12, Giải bài tập Vật Lí 12, Tài liệu học tập lớp 12 mà VnDoc tổng hợp và đăng tải. Mời các bạn cùng tham khảo thêm các môn Toán 12, Ngữ văn 12, tiếng Anh 12, đề thi học kì 1 lớp 12, đề thi học kì 2 lớp 12...
Mời bạn đọc cùng tham gia nhóm Tài liệu học tập lớp 12 của VnDoc.com để có thêm tài liệu học tập nhé.
Mời bạn đọc cùng tham khảo thêm các tài liệu sau:
- 50 câu trắc nghiệm Polime và vật liệu Polime có lời giải chi tiết (Nâng cao - phần 1)
- 50 câu trắc nghiệm Polime và vật liệu Polime có lời giải chi tiết (Nâng cao - phần 2)