Giao diện mới của VnDoc Pro: Dễ sử dụng hơn - chỉ tập trung vào lớp bạn quan tâm. Vui lòng chọn lớp mà bạn quan tâm: Lưu và trải nghiệm
Đóng
Điểm danh hàng ngày
  • Hôm nay +3
  • Ngày 2 +3
  • Ngày 3 +3
  • Ngày 4 +3
  • Ngày 5 +3
  • Ngày 6 +3
  • Ngày 7 +5
Bạn đã điểm danh Hôm nay và nhận 3 điểm!
Nhắn tin Zalo VNDOC để nhận tư vấn mua gói Thành viên hoặc tải tài liệu Hotline hỗ trợ: 0936 120 169

Dạng bài tập phản ứng của Amine với nitrous acid HNO2

Lớp: Lớp 12
Môn: Hóa Học
Dạng tài liệu: Chuyên đề
Loại File: PDF
Phân loại: Tài liệu Tính phí

Chuyên đề Hóa học 12 Dạng bài tập phản ứng của Amin với Axit Nitro HNO2. Hy vọng qua bộ tài liệu sẽ giúp các bạn giải Hóa học 12 chính xác hơn. Mời các bạn tham khảo.

Hóa học 12: Dạng bài tập phản ứng của Amin với Axit Nitro HNO2

Phản ứng của Amin với Axit Nitro

* Để phân biệt amin các bậc với nhau thì ngoài phản ứng với thuốc thử Lucas, trong chương trình hóa học phổ thông chúng ta thường sử dụng axit nitro HNO2.

- Amin bậc 1 tác dụng với HNO2 tạo thành ancol, N2 và nước tương tự amoniac:

R - NH2 + HNO2 → ROH + N2 + H2O

H - NH2 + HNO2 → HOH + N2 + H2O

- Với amin thơm bậc 1 ở nhiệt độ thấp tạo muối điazo ví dụ anilin:

C6H5NH2 + HNO2 + HCl → C6H5N2Cl + 2H2O

- Amin bậc 2 tác dụng với HNO2 tạo hợp chất nitrozo dạng dầu màu vàng.

- Amin bậc 3 không tác dụng với HNO2.

Bài tập bài tập phản ứng của Amin với Axit Nitro HNO2

Câu 1: Khi cho etylamin tác dụng với axit nitro thì có hiện tượng:

A. Tạo kết tủa và sủi bọt khí

B. Tạo kết tủa và tạo 1 chất lỏng phân lớp trong nước

C. Tạo chất lỏng phân lớp và chất khí

D. Sủi bọt khí

C2H5NH2 + HNO2 → C2H5OH + N2 ↑ + H2O

C2H5OH tan tốt trong nước nên không có sự phân lớp

→ Đáp án D

Câu 2: Người ta điều chế anilin bằng sơ đồ sau: Benzen → Nitrobenzen → Anilin Biết hiệu suất giai đoạn tạo thành nitrobenzen đạt 60% và hiệu suất giai đoạn tạo thành anilin đạt 50%. Khối lượng anilin thu được khi điều chế từ 156 gam benzen là:

A. 186,0 gam

B. 111,6 gam

C. 55,8 gam

D. 93,0 gam

Hiệu suất cả quá trình = 60%.50% = 30%

Benzen → Nitrobenzen → Anilin

Dạng bài tập phản ứng của Amin với Axit Nitro HNO2

⇒ mC6H5NH2 = 2.93.30% = 55,8g

→ Đáp án c

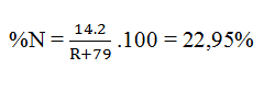
Câu 3:. Cho amin đơn chức X tác dụng với HNO3 loãng thu được muối amoni Y trong đó nito chiếm 22.95% về khối lượng. Vậy công thức phân tử của amin là?

Đặt công thức amin là R-NH2

Amin phản ứng với HNO3:

R-NH2 + HNO3 → R-NH3NO3

Dạng bài tập phản ứng của Amin với Axit Nitro HNO2

⇒ R = 43

⇒ X là: C3H7NH2

Câu 4: Muối C6H5N2+Cl- (phenylđiazoni clorua) được sinh ra khi cho C6H5NH2 (anilin) tác dụng với NaNO2 trong dung dịch HCl ở nhiệt độ thấp (0-5oC). Để điều chế được 14,05 gam C6H5N2+Cl-(với hiệu suất 100%), lượng C6H5NH2 và NaNO2 cần dùng vừa đủ là:

A. 0,1 mol và 0,4 mol

B. 0,1 mol và 0,2 mol.

C. 0,1 mol và 0,1 mol.

D. 0,1 mol và 0,3 mol.

Dạng bài tập phản ứng của Amin với Axit Nitro HNO2

nC6H5N2Cl = 0,1 mol

Theo PT: nC6H5NH2 = nNaNO2 = nC6H5N2+Cl = 0,1 mol

→ Đáp án C

Câu 5: Hỗn hợp 1,07g hai amin đơn chức bậc nhất kế tiếp nhau trong dãy đồng đẳng phản ứng vừa hết với axit nitro ở nhiệt độ thường tạo nên dung dịch X. Cho X tác dụng với Na dư thu được 0,03 mol H2. Xác định công thức 2 amin:

A. C3H7NH2 và C4H9NH2

B. C2H5NH2 và C3H7NH2

C. CH3NH2 và C2H5NH2

D. CH3NH2 và C3H7NH2

Đặt CT chung của 2 amin là RNH2

Dạng bài tập phản ứng của Amin với Axit Nitro HNO2

nH2 = 0,03 mol

⇒ nROH = n_{H_2O}\(n_{H_2O}\) = 0,03 mol

Có: 15 (CH3) < 19,6 < 29 (C2H5)

⇒ 2 amin là: CH3NH2 và C2H5NH2

→ Đáp án C

Đóng Chỉ thành viên VnDoc PRO/PROPLUS tải được nội dung này!
Đóng
79.000 / tháng
Đặc quyền các gói Thành viên
PRO
Phổ biến nhất
PRO+
Tải tài liệu Cao cấp 1 Lớp
30 lượt tải tài liệu
Xem nội dung bài viết
Trải nghiệm Không quảng cáo
Làm bài trắc nghiệm không giới hạn
Mua cả năm Tiết kiệm tới 48%

Có thể bạn quan tâm

Xác thực tài khoản!

Theo Nghị định 147/2024/ND-CP, bạn cần xác thực tài khoản trước khi sử dụng tính năng này. Chúng tôi sẽ gửi mã xác thực qua SMS hoặc Zalo tới số điện thoại mà bạn nhập dưới đây:

Số điện thoại chưa đúng định dạng!
Số điện thoại này đã được xác thực!
Bạn có thể dùng Sđt này đăng nhập tại đây!
Lỗi gửi SMS, liên hệ Admin
Sắp xếp theo
🖼️

Chuyên đề Hóa 12

Xem thêm
🖼️

Gợi ý cho bạn

Xem thêm