Cách xác định công thức Amin, Amino Axit
Hóa học 12: Cách xác định công thức Amin, Amino Axit
A. Phương pháp và ví dụ cách xác định công thức Amin, Amino Axit
Lý thuyết và Phương pháp giảiAmin có tính bazo, tác dụng được với axit tạo muối.
Tùy theo số nhóm chức amin mà tác dụng với axit theo tỉ lệ xác định.
Ví dụ:
+) Amin bậc 1, đơn chức: RNH2 + HCl → RNH3Cl
+) Amin bậc 1, đa chức: R(NH2)n + nHCl → R(NH3Cl)n
Như vậy nếu biết số nhóm chức amin,ta suy ra tỉ lệ mol giữa axit với amin. Ngược lại từ tỉ lệ mol giữa axit và amin.
- Tương tự ở aminoaxit, sự có mặt nhóm amino làm cho nó tác dụng được với axit.
Ví dụ minh họaBài 1: X là một amino axit. Khi cho 0,01 mol X tác dụng với HCl thì dùng hết 80 ml dung dịch HCl 0,125M và thu được 1,835 gam muối khan. Còn khi cho 0,01 mol X tác dụng với dung dịch NaOH thì cần dùng 25 gam dung dịch NaOH 3,2%. Hãy đề xuất công thức cấu tạo của X.
Hướng dẫn:
Gọi công thức tổng quát của X là: (H2N)xR(COOH)y
Bài 2: Đốt cháy hoàn toàn 1,52 gam chất X cần 0,56 lit oxi (đkc), thu được hh khí gồm CO2, N2 và hơi nước. Sau khi ngưng tụ hơi nước hỗn hợp khí còn lại có khối lượng là 1,6 gam và có tỷ khối hơi đối với hiđro là 20. CTĐGN của X là
A. C2H6O5N2.
B. C3H8O5N2.
C. C3H10O3N2.
D. C4H10O5N2.
Hướng dẫn:
Sau khi ngưng tụ hơi nước hỗn hợp khí còn lại là CO2 (a mol) và N2 (b mol)
Ta có mhỗn hợp khí =
\(m_{CO_2}\) +
\(m_{N_2}\) = 44a + 28b = 1,6
a = 0,03 mol; b = 0,01 mol.
- Đặt X là CxHyOzNt
nC =
\(n_{CO_2}\) = 0,03 mol.
nN = 2 ×
\(n_{N_2}\) = 2 × 0,01 = 0,02 mol.
\(m_{H_2O}\) = mX +
\(m_{O_2}\)-
\(m_{_{CO_2}}\) -
\(m_{H_2O}\)= 1,52 + 0,025 × 32 - 0,03 × 44 - 0,01 × 28 = 0,72 gam.
nH = 2 ×
\(n_{H_2O}\) = 2 × 0,72/18 = 0,08 mol.
\(n_{H_2O}\)= nO trong
\(CO_2\)+ nO trong
\(H_2O\) = 0,03 × 2 + 0,04 - 0,025 × 2 = 0,05 mol.
Ta có x : y : z : t = nC : n :H nO : nN = 0,03 : 0,08 : 0,05 : 0,02 = 3 : 8 : 5 : 2
Vậy CTĐGN là C3H8O5N2
Đáp án B
Bài 3: Hợp chất hữu cơ X có thành phần theo khối lượng: C chiếm 63,72%; H chiếm 9,37%; O chiếm 14,52%; còn lại là nito. Xác định công thức phân tử của X biết khối lượng mol của X bé hơn 120. Viết công thức cấu tạo của X biết X mạch hở không phân nhánh, không làm mất màu dung dịch brom.
Hướng dẫn:
Ta có: %C = 63,72%; %H = 9,37%; %O = 14,52% ⇒ %N = 12,39%
Lập tỉ lệ :
Công thức đơn giản là C6H11ON, M < 120 ⇒ CTPT là C6H11ON.
Độ bất bão hòa của X là:
X mạch hở không làm mất màu dung dịch brom nên mạch hidrocacbon phải no, vậy 2 liên kết sẽ thuộc nhóm –C≡N.
Vậy có thể có các đồng phân là:
CH2(OH)-CH2-CH2-CH2-C≡N
CH3-CH(OH)-CH2-CH2-CH2-C≡N
CH3-CH2-CH(OH)-CH2-2-C≡N
CH3-CH2-CH2-CH(OH)-CH2-C≡N
CH3-CH2-CH2-CH2-CH(OH)-C≡N
Bài 4: Thủy phân polipeptit A người ta thu được:
Amino axit X có 40,4%C; 7,9%H; 15,7 %N và MX = 89
Amino axit Y có 54,9%C; 10 %H; 10,7 %N và MY = 131
Amino axit Z có 46,4%C; 5,8 %H; 27 %N và MZ = 155
Xác định công thức phân tử của X, Y, Z
Hướng dẫn:
Công thức phân tử của X là CxHyOzNt.
Ta có: 
Công thức phân tử của X là C3H7O2N, là α-amoni axit nên có công thức cấu tạo: CH3-CH(NH2)-COOH.
Tương tự đối với Y: C6H13O2N
Công thức cấu tạo CH3-CH2-CH2-CH2-CH(NH2)-COOH
Đối với Z: C6H9N3O2 ⇒ CTCT: H2N-C4H3-CH(NH2)-COOH
B. Bài tập trắc nghiệm cách xác định công thức Amin, Amino Axit
Bài 1:
Ta có: nHCl = 0,01 (mol) nên X chỉ chứa 1 nhóm amin. Mặt khác, X tác dụng NaOH theo tỉ lệ 1 : 1 nên chứa 1 nhóm -COOH. X là α-amino axit nên gọi công thức phân tử X: H2N-CH(CxHy)-COOH
H2N-CH(CxHy)-COOH + HCl → ClH3N-CH(CxHy)-COOH
Mmuối = 12x + y + 110,5 = 1,255/0,01 = 125,5
12 x + y = 15 ⇒ nghiệm hợp lí: x = 1; y = 3
X có mạch cacbon không phân nhánh, vậy X là: CH3CH(NH2)COOH
Bài 2: X là một α-amino axit no chỉ chứa một nhóm -NH2 và một nhóm -COOH, cho 14,5 gam X tác dụng với dung dịch HCl dư, ta thu được 18,15 gam muối X. xác định công thức phân tử của X.
A. NH2–C6H12–COOH.
B. NH2–C5H10–COOH.
C. NH2–C4H8–COOH.
D. NH2–C3H6–COOH.
Đáp án: A
Gọi công thức phân tử có dạng: NH2-CnH2n-COOH
Dựa vào sự tăng – giảm khối lượng ta có: a = (18,15 - 14,5)/36,5 = 0,1
MX = 14,5/0,1 = 145 ⇒ n = 6 ⇒ X là: NH2-C6H12-COOH
Bài 3: X là hợp chất hữu cơ chứa C, H, N ; trong đó nitơ chiếm 15,054% về khối lượng. X tác dụng với HCl tạo ra muối có dạng RNH3Cl. Công thức của X là:
A. CH3–C6H4–NH2.
B. C6H5–NH2.
C. C6H5–CH2–NH2.
D. C2H5–C6H4–NH2.
Đáp án: B
Vì X tác dụng với dung dịch HCl tạo ra muối có dạng RNH3Cl nên suy ra X có dạng RNH2.
Trong X nitơ chiếm 15,05% về khối lượng nên ta có:
Công thức của X là C6H5–NH2.
Bài 4: Đốt cháy hoàn toàn một amin đơn chức thì thu được CO2 và nước theo tỉ lệ mol
\(n_{CO_2}\) :
\(n_{H_2O}\) = 8 : 9 . CTPT của amin là
A. C4H8N.
B. C3H7N.
C. C3H6N.
D. C4H9N.
Đáp án: D
X có dạng CxHyN
Vậy X là C4H9N
Bài 5: Đốt cháy hoàn toàn 17,4 gam một amino axit có 1 nhóm –COOH được 0,6 mol CO2, 0,5 mol H2O và 0,1 mol N2. Công thức phân tử của amino axit là:
A. C3H5O2N.
B. C3H7O2N.
C. C3H5O4N.
D. C3H6O4N2.
Đáp án: A
Ta có X có dạng CxHyO2Nz
2CxHyO2Nz → 2xCO2 + yH2O + zN2
nC =
\(n_{CO_2}\) = 0,6 mol.
nH = 2 ×
\(n_{H_2O}\) = 2 × 0,5 = 1 mol.
nN = 2 ×
\(n_{N_2}\) = 2 × 0,1 = 0,2 mol.
mO = mX - mC - mH - mN = 17,4 - 0,6 × 12 - 1 × 1 - 0,2 × 14 = 6,4 gam.
nO = = 0,4 mol.
Ta có x : y : 2 : z = nC : nH : nO : nN = 0,6 : 1 : 0,4 : 0,2 = 3 : 5 : 2 : 1
Vậy X là C3H5O2N
Đáp án A
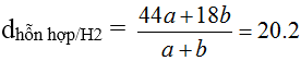
Bài 6: Đốt cháy hoàn toàn một amin, no, đơn chức, mạch hở. Sản phẩm cháy sau khi ngưng tụ hơi nước có tỉ khối so với H2 là 19,333. Công thức phân tử của amin là:
A. CH3NH2
B. C2H5NH2
C. C3H7NH2
D. C4H9NH2
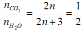
Bài 7: Đốt cháy hoàn toàn 2 amin no đơn chức mạch hở đồng đẳng liên tiếp thu được CO2 và H2O theo tỉ lệ số mol là 1 : 2. Hãy xác định công thức phân tử của hai amin?
A. CH5N và C2H7N.
B. C2H7N và C3H9N.
C. C3H9N và C4H11N.
D. C4H11N và C5H13N.
Đáp án: A
Đặt công thức chung của 2 amin là CnH2n + 3N
2CnH2n + 3N → 2nCO2 + (2n + 3)H2O
Ta có 
n = 1,5. ⇒ Hai amin là CH5N và C2H7N
Bài 8: Đốt cháy hoàn toàn m gam một amin mạch hở đơn chức, sau phản ứng thu được 5,376 lít CO2; 1,344 lít N2 và 7,56 gam H2O (các thể tích đo ở đktc). CTPT của amin là:
A. C3H7N
B. C2H5N
C. CH5N
D. C2H7N.
Đáp án: D
Đặt X là CxHyN
nC =
\(n_{CO_2}\) = 5,376/22,4 = 0,24 mol.
nH = 2 ×
\(n_{H_2O}\) = 2 × 7,56/18 = 0,84 mol.
nN = 2 ×
\(n_{N_2}\) = 2 × 1,344/22,4 = 0,12 mol.
Ta có x : y : 1 = 0,24 : 0,84 : 0,12 = 2 : 7 : 1
Mời các bạn tham khảo thêm các bài viết dưới đây của chúng tôi:
- Lý thuyết Amin: Tính chất hóa học, Tính chất vật lí, Cấu tạo, Điều chế, Ứng dụng
- Lý thuyết Amino axit: Tính chất hóa học, Tính chất vật lí, Điều chế, Ứng dụng
- Lý thuyết Peptit và Protein: Tính chất hóa học, Tính chất vật lí, Đồng phân, Danh pháp.
- Lý thuyết: Luyện tập cấu tạo và tính chất của amin, amino axit, protein
- Dạng bài tập về viết đồng phân, gọi tên Amin, Amino Axit
- Nhận biết Amin, Amino Axit
- Các phản ứng hóa học của Amin, Amino Axit
- Tính chất của Amin, Amino Axit
Trên đây VnDoc đã giới thiệu tới các bạn Cách xác định công thức Amin, Amino Axit. Để có kết quả cao hơn trong học tập, VnDoc xin giới thiệu tới các bạn học sinh tài liệu Giải bài tập Toán lớp 12, Giải bài tập Hóa học lớp 12, Giải bài tập Vật Lí 12, Tài liệu học tập lớp 12 mà VnDoc tổng hợp và đăng tải.