150 câu trắc nghiệm Este Lipit có lời giải chi tiết (Cơ bản - phần 1)
Hóa học 12: Câu trắc nghiệm Este Lipit có lời giải chi tiết
Chuyên đề Hóa học 12 150 câu trắc nghiệm Este Lipit có lời giải chi tiết (Cơ bản - phần 1). Nội dung tài liệu sẽ giúp các bạn giải bài tập Hóa học lớp 12 hiệu quả hơn. Mời các bạn tham khảo.
Câu 1: Hợp chất este là
A. CH3CH2Cl.
B. HCOOC6H5.
C. CH3CH2NO3.
D. C2H5COOH.
Nhóm chức của este là – COOR (R là gốc hiđrocacbon ) → HCOOC6H5 là este
→ Đáp án B
Câu 2: Chất không phải là este là
A. HCOOCH=CH2.
B. HCOOCH3.
C. CH3COOH.
D. CH3COOCH3.
Nhóm chức của este là –COOR (R là gốc hiđrocacbon) → HCOOCH = CH2, HCOOCH3, CH3COOCH3 đều là este → Loại đáp án A, B, D.
→ CH3COOH không là este
→ Đáp án C
Câu 3: Chất không phải là este là
A. HCOOC2H5.
B. C2H5CHO.
C. CH3COOCH = CH2.
D. 
HCOOC2H5 và CH3COOCH = CH2 là este đơn chức → Loại đáp án A, C
là este 2 chức → Loại đáp án D
C2H5CHO là anđêhit → C2H5CHO không phải là este
→ Đáp án B
Câu 4: Công thức tổng quát của este no, đơn chức, mạch hở là
A. CnH2nO (n ≥ 1).
B. CnH2nO2 (n ≥ 1).
C. CnH2nO2 (n ≥ 2).
D. CnH2nO3 (n ≥ 2).
Công thức tổng quát của este no, đơn chức, mạch hở là CnH2nO2 (n ≥ 2)
→ Đáp án C
Câu 5: Trong công thức phân tử este no, đơn chức, mạch hở có số liên kết π là
A. 1.
B. 2.
C. 3.
D. 0.
Este no, đơn chức, mạch hở (CnH2nO2) có k = 1
→ có 1 liên kết π (trong nhóm – COO –)
→ Đáp án A
Câu 6: Số đồng phân este có công thức phân tử C3H6O2 là
A. 1.
B. 2.
C. 3.
D. 4.
C3H6O2 có k = 1 → este no, đơn chức, mạch hở
→ Các đồng phân este có công thức phân tử C3H6O2 là
1. HCOOCH2CH3
2. CH3COOCH3
→ Có 2 đồng phân este
→ Đáp án B
Câu 7: Ứng với công thức phân tử C4H6O2 có số este mạch hở là
A. 4.
B. 3.
C. 5.
D. 6.
C4H6O2 có k = 2 → este không no, có chứa liên kết đôi C = C, đơn chức, mạch hở
→ Các đồng phân este mạch hở của C4H6O2 là
→ Có 5 đồng phân este
→ Đáp án C
Câu 8: Trong phân tử este X no, đơn chức, mạch hở, oxi chiếm 36,36% khối lượng. Số công thức cấu tạo thỏa mãn công thức phân tử của X là
A. 2.
B. 3.
C. 4.
D. 5.
Este no, đơn chức, mạch hở (CnH2nO2) có
→ Công thức phân tử của este X là C4H8O2
→ Các công thức cấu tạo của este X là
→ Có 4 công thức cấu tạo
→ Đáp án C
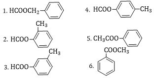
Câu 9: Số đồng phân là este, có chứa vòng benzen, có công thức phân tử là C8H8O2 là
A. 9.
B. 8.
C. 7.
D. 6.
C8H8O2 có k = 5
→ Các đồng phân là este, có chứa vòng benzen (gồm 1 vòng và 3 liên kết π), có công thức phân tử là C8H8O2 là
→ Có 6 đồng phân
→ Đáp án D
Câu 10: Este của glixerol với axit cacboxylic (RCOOH) được một số học sinh viết như sau:
(1) (RCOO)3C3H5 (2) (RCOO)2C3H5(OH)
(3) RCOOC3H5(OH)2 (4) (ROOC)2C3H5(OH)
(5) C3H5(COOR)3.
Công thức đã viết đúng là
A. (1), (4).
B. (5).
C. (1), (5), (4).
D. (1), (2), (3).
Este của glixerol với axit cacboxylic (RCOOH) có dạng (RCOO)nC3H5(OH)3-n
→ Vậy các este đó có thể là RCOOC3H5(OH)2; (RCOO)2C3H5(OH); (RCOO)3C3H5
→ Các công thức viết đúng là (1), (2), (3)
→ Đáp án D
Câu 11: Công thức phân tử nào sau đây không thể của este.
A. C4H8O2.
B. C4H10O2.
C. C2H4O2.
D. C4H6O2.
este có dạng: CnH2n+2-2kO2 (k ≥ 1)
→ Đáp án B
Câu 12: Chất béo động vật hầu hết ở thể rắn là do chứa
A. chủ yếu gốc axit béo không no
B. glixerol trong phân tử
C. chủ yếu gốc axit béo no.
D. gốc axit béo.
→ Đáp án C
Câu 13: Từ dầu thực vật làm thế nào để có được bơ?
A. Hidro hóa a xit béo.
B. Đehidro hóa chất béo lỏng.
C. Hidro hóa chất béo lỏng.
D. Xà phòng hóa chất béo lỏng.
→ Đáp án C
Câu 14: Chọn phát biểu đúng?Chọn phát biểu đúng?
A. Chất béo là trieste của glixerol với axit.
B. Chất béo là triete của glixerol với axit vô cơ.
C. Chất béo là trieste của glixe rol với axit béo
D. Chất béo là trieste của ancol với a xit béo.
→ Đáp án C
Câu 15: Có thể chuyển hóa chất béo lỏng sang chất béo rắn nhờ phản ứng?
A. Tách nước
B. Hidro hóa.
C. Đề hiđro hóa
D. Xà phòng hóa.
→ Đáp án B
Câu 16: Phản ứng nào sau đây dùng để điều chế xà phòng?
A. Đun nóng axit béo với dung dịch kiềm.
B. Đun nóng glixerol với các axit béo.
C. Đun nóng chất béo với dung dịch kiề m.
D. Cả A, C đều đúng.
→ Đáp án C
Câu 17: Phản ứng tương tác của ancol và axit tạo thành este có tên gọi là gì?
A. Phản ứng trung hòa
B. Phản ứng ngưng tụ.
C. Phản ứng este hóa.
D. Phản ứng kết hợp.
→ Đáp án C
Câu 18: Một este có công thức phân tử là C4H6O2 khi thủy phân trong môi trường axit thu được đimetyl xeton. Công thức cấu tạo thu gọn của C4H6O2 là công thức nào?
A. HCOOCH=CHCH3
B. CH3COOCH=CH2.
C. HCOOC(CH3)=CH2
D. CH2=CHCOOCH3.
Đáp án
→ Đáp án C
Câu 19: Este etyl fomat có công thức là
A. CH3COOCH3.
B. HCOOC2H5.
C. HCOOCH=CH2.
D. HCOOCH3.
Etyl: CH3CH2 –
Fomat: HCOO –
→ Este etyl fomat có công thức là HCOOC2H5
→ Đáp án B
Câu 20: Este vinyl axetat có công thức là
A. CH3COOCH = CH2.
B. CH3COOCH3.
C. CH2 = CHCOOCH3.
D. HCOOCH3.
axetat : CH3COO -
vinyl: CH2 = CH -
→ Este vinyl axetat có công thức là CH3COOCH=CH2
→ Đáp án A
Câu 21: Công thức hóa học của metyl axetat là
A. C2H5COOCH3.
B. CH3COOC2H5.
C. CH3COOCH3.
D. HCOOCH3.
→ Đáp án C
Câu 22: Cho este có công thức cấu tạo: CH2 = C(CH3)COOCH3. Tên gọi của este đó là
A. Metyl acrylat.
B. Metyl metacrylat.
C. Metyl metacrylic.
D. Metyl acrylic.
CH3OH: ancol metylic
CH2 = C(CH3)COOH: axit metacrylat
→ CH2 = C(CH3)COOCH3: metyl metacrylic
→ Đáp án B
Câu 23: Etse X có công thức cấu tạo CH3COOCH2-C6H5 (C6H5- : phenyl). Tên gọi của X là:
A. metyl benzoat.
B. phenyl axetat.
C. benzyl axetat
D. phenyl axetic.
→ Đáp án C
Câu 24: Công thức cấu tạo thu gọn nào sau đây biểu thị một chất béo?
A. (C17H35COO)3C3H5.
B. CH3COOC2H5.
C. C3H5COOC2H5.
D. (CH3COO)3C3H5.
→ Đáp án A
Câu 25: Công thức của triolein là:
A. (CH3[CH2]16COO)3C3H5.
B. (CH3[CH2]7CH=CH[CH2]5COO)3C3H5.
C. (CH3[CH2]7CH=CH[CH2]7COO)3C3H5.
D. (CH3[CH2]14COO)3C3H5.
→ Đáp án C
Câu 26: Chất X có công thức phân tử là C4H8O2 là este có phản ứng tráng gương. Gọi tên các công thức cấu tạo của X.
A. Propyl fomat, metyl acrylat.
B. Metyl metacrylat, isopropyl fomat .
C. Metyl metacrylic, isopropyl fomat.
D. Isopropyl fomat, propyl fomat.
C4H8O2 có → este no đơn chức, mạch hở.
Những chất chứa nhóm chức
thì có phản ứng tráng gương
X có phản ứng tráng gương → X là este của axit fomic → X có dạng HCOOR (R là gốc hiđrocacbon)
→ Các công thức cấu tạo của X là
1. HCOOCH2CH2CH3: propyl fomat
2. HCOOCH(CH3)2: isopropyl fomat
→ Đáp án D
Câu 27: Một este có công thức phân tử là C3H6O2 có phản ứng tráng gương với dung dịch AgNO3 trong NH3. Công thức cấu tạo của este đó là công thức nào?
A. HCOOC2H5.
B. CH3COOCH3.
C. HCOOC3H7.
D. C2H5COOCH3
→ Đáp án A
Câu 28: khi thủy phân este vinyl axetat trong môi trường axit thu được những chất gì?
A. Axit a xetic và ancol vinylic.
B. Axit axet ic và anđehit axetic
C. A xit axet ic và ancol etylic.
D. Axit axetic và ancol vinylic.
vinyl axetat: CH3COOCH=CH2
CH3COOCH=CH2 + H2O ⇆ CH3COOH + CH3CHO
→ Đáp án B
Câu 29: Đặc điểm nào sau đây không đúng khi nói về metyl fomat là.
A. Có CTPT C2H4O2.
B. Là đồng đẳng của axit axetic.
C. Là đồng phân của axit axetic.
D. Là hợp chất este.
→ Đáp án B
Câu 30: Một este có công thức phân tử là C4H8O2, khi thủy phân trong môi trường axit thu được ancol etylic . Công thức cấu tạo của C4H8O2 là
A. C3H7COOH.
B. CH3COOC2H5.
C. HCOOC3H7.
D. C2H5COOCH3
Este C4H8O2 khi thủy phân trong môi trường axit thu được ancol etylic
→ Este C4H8O2 có CTCT: CH3COOC2H5
PT thủy phân: CH3COOC2H5 + H2O ⇆ CH3COOH + C2H5OH.
→ Đáp án B
Câu 31: Glixerin đun với hỗn hợp CH3COOH và HCOOH ( xúc tác H2SO4 đặc) có thể được tối đa bao nhiêu trieste (este 3 lần este)?
A. 3.
B. 4.
C. 5.
D. 6.
Kí hiệu CH3COOH là 1, HCOOH là 2
→ Đáp án D
Câu 32: Để phân biệt các este riêng biệt: vinyl axetat, etyl fomiat, metyl acrylat ta có thể tiến hành theo trình tự nào sau đây?
A. Dùng dung dịch NaOH loãng, đun nhẹ, dùng dung dịch Br2, dùng dung dịch H2SO4loãng
B. Dùng dung dịch Br2, dung dịch NaOH, dùng Ag2O/NH3
C. Dùng Ag2O/NH3, dùng dung dịch Br2, dùng dung dịch H2SO4 loãng
D. Tất cả đều đúng.
vinyl axetat (CH3COOCH=CH2), etyl fomiat (HCOOC2H5), metyl acrylat (CH2=CH-COOCH3)
+) Dung dịch Br2 → chỉ có etyl fomiat không phản ứng
+) Dung dịch NaOH
CH3COOCH=CH2 + NaOH → CH3CHO + CH3COONa.
CH2=CH-COOCH3 + NaOH → CH2=CH-COONa + CH3OH.
+) Ag2O/NH3
CH3CHO có phản ứng tráng bạc.
→ Đáp án B
Câu 33: Trong phản ứng giữa rượu etylic và axit axetic thì cân bằng sẽ chuyển dịch theo chiều thuận tạo este khi.
A. cho dư rượu etylic hoặc dư axit axet ic.
B. dùng H2SO4 đặc để hút nước.
C. chưng cất ngay để lấy este ra.
D. cả 3 biện pháp A,B,C.
→ Đáp án D
Câu 34: Thuỷ phân este C4H6O2 trong môi trường axít ta được một hỗn hợp 2 chất hữu cơ đều có phản ứng tráng gương, công thức cấu tạo của este đó là
A. CH3COO-CH=CH2.
B. HCOO-CH2-CH=CH2.
C. CH3-CH=CH-OCOH.
D. CH2= CH-COOCH3.
C4H6O2 có k = 2 → C4H6O2 là este có chứa 1 liên kết π trong gốc hidrocacbon → Este đó: CH3-CH=CH-OCOH
CH3-CH=CH-OCOH + H2O ⇆ HCOOH + CH3CH2CHO
HCOOH và CH3CH2CHO đều có PƯ tráng gương.
→ Đáp án C
Câu 35: Thực hiện phản ứng este hoá giữa axit ađipic {HOOC-(CH2)4-COOH} với ancol đơn chức X thu được este Y1 và Y2 trong đó Y1 có công thức phân tử là C8H14O4. Hãy lựa chọn công thức đúng của X.
A. CH3OH.
B. C2H5OH.
C. C3H5OH.
D. Cả A, B.
X: CH3OH hoặc C2H5OH
HOOC-(CH2)4-COOH + 2CH3OH ⇆ CH3OCO-(CH2)4-COOCH3 (Y1) + 2H2O
HOOC-(CH2)4-COOH + C2H5OH ⇆ HOOC-(CH2)4-COOC2H5 (Y1) + 2H2O
→ Đáp án D
Câu 36: Đun nóng glixerin với axit hữu cơ đơn chức X thu được hỗn hợp các este trong đó có một este có công thức phân tử là C6H8O6. Lựa chọn công thức đúng của X.
A. HCOOH.
B. CH3COOH.
C. CH2=CH-COOH.
D. CH3CH2COOH.
C6H8O6 có k = 2 → C6H8O6 là este 3 chức, no, không có liên kết trong gốc hidrocacbon → X là HCOOH
C3H5(OH)2 + HCOOH ⇆ C3H5(OCOH)3 + H2O.
→ Đáp án A
Câu 37: Đun nóng este đơn chức X với NaOH thu được một muối và một anđehit. Hãy cho biết công thức chung nào thoả mãn?
A. HCOOR
B. R-COO-CH=CH-R’
C. R-COO-C(R)=CH2
D. Đáp án khác.
Đun nóng este đơn chức X với NaOH thu được một muối và một anđehit
→ X có dạng RCOOCH=CH–R’ (R, R’ có thể là H hoặc gốc hiđrocacbon)
PT tổng quát: RCOOCH=CH–R’ + NaOH -to→ RCOONa + R’CH2CHO.
→ Đáp án B
Câu 38: Khi đun nóng chất hữu cơ X với NaOH thu được etilenglicol (HO-CH2-CH2-OH) và muối natri axetat. Hãy lựa chọn công thức cấu tạo đúng của X.
A. CH3COOCH2-CH2OH
B. (CH3COO)2CH-CH3
C. CH3COOCH2-CH2-OOC-CH3
D. Cả A và C.
CH3COOCH2-CH2OH + NaOH -to→ CH3COONa(natri axetat) + HO-CH2-CH2-OH(etilenglicol)
→ Đáp án A
Câu 39: Cho a xit X có công thức là HOOC-CH2-CH(CH3)-COOH tác dụng với rượu etylic (xúc tác H2SO4 đặc) thì thu được bao nhiêu este?
A. 1.
B. 2.
C. 3.
D. 4.
Có 3 este có thể tạo thành là C2H5OOC-CH2-CH(CH3)-COOC2H5; HOOC-CH2-CH(CH3)-COOC2H5; C2H5OOC-CH2-CH(CH3)-COOH.
→ Đáp án C
Câu 40: So với các axit, ancol phân tử có cùng số nguyên tử cacbon thì este có nhiệt độ sôi và độ tan trong nước
A. thấp hơn do khối lượng phân tử của este nhỏ hơn nhiều.
B. thấp hơn do giữa các phân tử este không tồn tại liên kết hiđro.
C. cao hơn do giữa các phân tử este có liên kết hiđro bền vững.
D. cao hơn do khối lượng phân tử của este lớn hơn nhiều.
So với các axit, ancol phân tử có cùng số nguyên tử cacbon thì este có nhiệt độ sôi và độ tan trong nước thấp hơn hẳn là do este không tạo được liên kết hiđro giữa các phân tử este với nhau và khả năng tạo liên kết hiđro giữa các phân tử este với các phân tử nước rất kém (SGK lớp 12 cơ bản – trang 4, 5)
→ Đáp án B
- Xác định công thức phân tử Este dựa vào tỉ khối hơi
- Dạng bài tập phản ứng xà phòng hóa
- Bài tập tính khối lượng xà phòng
- Câu hỏi trắc nghiệm lý thuyết vai trò và ứng dụng của chất béo
- Câu hỏi trắc nghiệm lý thuyết về chất giặt rửa
- Dạng bài tập xác định chỉ số xà phòng hóa của chất béo
- Cách làm bài tập về chất béo
- Dạng bài tập về hiệu suất phản ứng Este hóa
Trên đây VnDoc đã giới thiệu tới các bạn 150 câu trắc nghiệm Este Lipit có lời giải chi tiết (Cơ bản - phần 1). Để có kết quả cao hơn trong học tập, VnDoc xin giới thiệu tới các bạn học sinh tài liệu Giải bài tập Toán lớp 12, Giải bài tập Hóa học lớp 12, Giải bài tập Vật Lí 12, Tài liệu học tập lớp 12 mà VnDoc tổng hợp và đăng tải.