Lý thuyết: Điều chế kim loại
Chuyên đề Hóa học 12 Lý thuyết: Điều chế kim loại. Nội dung tài liệu sẽ giúp các bạn học sinh giải bài tập Hóa học lớp 12 hiệu quả hơn. Mời các bạn tham khảo chi tiết tại đây nhé.
Hóa học 12: Lý thuyết Điều chế kim loại
VnDoc.com xin gửi tới bạn đọc bài viết Chuyên đề Hóa học 12 Lý thuyết: Điều chế kim loại để bạn đọc cùng tham khảo. Bài viết được tổng hợp gồm có nguyên tắc điều chế kim loại, phương pháp điều chế kim loại và định luật faraday. Qua bài viết bạn đọc có thể thấy được các phương pháp điều chế kim loại như phương pháp thủy luyện, phương pháp nhiệt luyện, phương pháp điện phân... Mời các bạn cùng tham khảo chi tiết và tải về tại đây nhé.
I. Nguyên tắc điều chế kim loại
Khử ion kim loại thành nguyên tử.
Mn+ + ne → M
II. Phương pháp điều chế kim loại
1. Phương pháp thuỷ luyện
Nguyên tắc: Dùng những dung dịch thích hợp như: H2SO4, NaOH, NaCN, … để hoà tan kim loại hoặc các hợp chất của kim loại và tách ra khỏi phần không tan có ở trong quặng. Sau đó khử những ion kim loại này trong dung dịch bằng những kim loại có tính khử mạnh như Fe, Zn, …
Phạm vi áp dụng: Thường sử dụng để điều chế các kim loại có tính khử yếu.
Ví dụ:
Fe + CuSO4 → FeSO4 + Cu↓
Fe + Cu2+ → Fe2+ + Cu↓
2. Phương pháp nhiệt luyện
Nguyên tắc: Khử ion kim loại trong hợp chất ở nhiệt độ cao bằng các chất khử như C, CO, H2 hoặc các kim loại hoạt động.
Phạm vi áp dụng: Sản xuất các kim loại có tính khử trung bình (Zn, FE, Sn, Pb, …) trong công nghiệp.
Ví dụ:
![]()
3. Phương pháp điện phân
a. Điện phân hợp chất nóng chảy
Nguyên tắc: Khử các ion kim loại bằng dòng điện bằng cách điện phân nóng chảy hợp chất của kim loại.
Phạm vi áp dụng: Điều chế các kim loại hoạt động hoá học mạnh như K, Na, Ca, Mg, Al.
Ví dụ: Điện phân MgCl2 nóng chảy để điều chế Mg.

Phương trình điện phân:
![]()
b. Điện phân dung dịch
Nguyên tắc: Điện phân dung dịch muối của kim loại.
Phạm vi áp dụng: Điều chế các kim loại có độ hoạt động hoá học trung bình hoặc yếu.
Ví dụ: Điện phân dung dịch CuCl2 để điều chế kim loại Cu.

Phương trình điện phân:
![]()
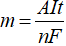
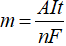
III. Định luật faraday
Tính lượng chất thu được ở các điện cực
Dựa vào công thức Farađây:
trong đó:
m: Khối lượng chất thu được ở điện cực (g).
A: Khối lượng mol nguyên tử của chất thu được ở điện cực.
n: Số electron mà nguyên tử hoặc ion đã cho hoặc nhận.
I: Cường độ dòng điện (ampe).
t: Thời gian điện phân (giấy).
F: Hằng số Farađây (F = 96.500).
Mời các bạn tham khảo thêm các bài viết dưới đây của chúng tôi:
- Lý thuyết Kim loại: Tính chất hóa học, Tính chất vật lí, Điều chế, Ứng dụng
- Lý thuyết Hợp kim: Định nghĩa, Tính chất hóa học, Tính chất vật lí, Ứng dụng
- Lý thuyết: Dãy điện hóa của kim loại
- Lý thuyết: Sự điện phân - Sự ăn mòn
- Lý thuyết: Kim loại và hợp kim
- Lý thuyết: Luyện tập tính chất của kim loại
Trên đây VnDoc đã giới thiệu tới các bạn Lý thuyết: Điều chế kim loại. Để có kết quả cao hơn trong học tập, VnDoc xin giới thiệu tới các bạn học sinh tài liệu Giải bài tập Toán lớp 12, Giải bài tập Hóa học lớp 12, Giải bài tập Vật Lí 12, Tài liệu học tập lớp 12 mà VnDoc tổng hợp và đăng tải. Mời các bạn cùng tham khảo thêm các môn Toán 12, Ngữ văn 12, tiếng Anh 12, đề thi học kì 1 lớp 12, đề thi học kì 2 lớp 12...
Mời bạn đọc cùng tham gia nhóm Tài liệu học tập lớp 12 của VnDoc.com để có thêm tài liệu học tập nhé.
Mời các bạn cùng tham khảo thêm các tài liệu sau:
- Trắc nghiệm Hóa học 12 bài 25: Kim loại kiềm, kim loại kiềm thổ, nhôm
- Câu hỏi trắc nghiệm có đáp án Hóa học lớp 12: Kim loại kiềm, kim loại kiềm thổ, nhôm
- 165 câu hỏi trắc nghiệm lý thuyết phần Kim loại