Bài toán xác định tên kim loại
Chuyên đề Hóa học 12 Bài toán xác định tên kim loại. Nội dung tài liệu sẽ giúp các bạn học sinh giải bài tập Hóa học lớp 12 hiệu quả hơn. Mời các bạn tham khảo.
Hóa học 12: Bài toán xác định tên kim loại
1. Phương pháp và Ví dụ bài toán xác định tên kim loại
Lý thuyết và Phương pháp giải
- Mỗi nguyên tố có một số điện tích hạt nhan (Z) và khối lượng mol nguyên tử xác định (M). Do đó tùy theo bài toán mà tìm cách xác định: Z hoặc M.
Lưu ý: Nếu bài toán thiếu dữ kiện (giả sử hóa trị của kim loại chưa biết) thì tìm sự phụ thuộc của M theo hóa trị n rồi rựa vào điều kiện của n (nguyên, 1 ≤ n ≤ 3) để tìm M.
- Trong các bài tập có hai hay nhiều chất cùng thành phần hóa học, phản ứng tương tự nhau có thể thay chúng bằng một chất có công thức chung, như vậy việc tính toán sẽ rút gọn được số ẩn.
Khối lượng phân tử trung bình của một hỗn hợp là khối lượng của 1 mol hỗn hợp đó:

Ví dụ minh họa
Bài 1: Cho 3,1 g hỗn hợp hai kim loại kiềm ở hai chu kì kế tiếp trong bảng tuần hoàn tác dụng hết với nước thu được 1,12 lít H2 (đktc). Xác định tên hai kim loại kiềm và tính thành phần % khối lượng mỗi kim loại trong hỗn hợp?
Hướng dẫn:
Gọi R- là kí hiệu và nguyên tử khối chung của 2 kim loại:

⇒ x = 0,1 mol
vì 2 kim loại kiềm ở 2 chu kì kết tiếp
⇒ 2 kim loại đó là Na (23) và K (39).
Bài 2: Cho 8.8 gam một hỗn hợp gồm 2 kim loại ở hai chu kì liên tiếp thuộc nhóm IIA tác dụng với dung dịch HCl dư cho 6,72 lít khí hidro (đktc). Xác định hai kim loại.
Hướng dẫn:
Đặt công thức chung của hai ki loại ở hai chu kì liên tiếp và thuộc phân nhóm IIA cần tìm là M-.

Vậy khối lượng mol nguyên tử trung bình của hai kim loại là:

Trong nhóm IIA, có Mg = 24 < 29,33 < 40 = Ca; Mg thuộc chu kì 2, Ca thuộc chu kì 3. Vậy hai kim loại cần tìm là Mg và Ca.
Bài 3: Khi lấy 14,25g muối clorua của một kim loại chỉ có hóa trị II và một lượng muối nitrat của kim loại đó có số mol bằng số mol muối clorua thì thấy khác nhau 7,95g. Xác định tên kim loại.
Hướng dẫn:
Gọi kim loại cần tìm là M, có hóa trị n
Công thức muối clorua là MCln
Công thức muối nitrat là M(NO3)2. Có số mol là x
Theo bài ra ta có hệ pt: 
M là Mg
2. Bài tập trắc nghiệm xác định tên kim loại
Bài 1: Hòa tan hoàn toàn 2,9g hỗn hợp gồm kim loại M và oxit của nó vào nước, thu được 500ml dd chứa một chất tan có nồng độ 0,04M và 0,224l khí H2 (đktc). Kim loại M là:
A. K
B. Na
C. Ba
D. Ca
Đáp án: C
M : x mol ; M2On : y mol
+) n = 1 (KL kiềm) ⇒ x = 0,02 ; y = 0 ⇒ loại
+) n = 2 (KL kiềm thổ) ⇒ x = 0,01 , y = 0,05
⇒ mhh = 0,01.M + 0,05.(2M + 16.2) = 2,9
⇒ M = Ba
Bài 2: Cho 19 gam hỗn hợp gồm kim loại M ( hóa trị không đổi) và Zn (có tỉ lệ mol tương ứng là 1,25:1) và bình đựng 4,48 lít khí Cl2 (đktc), sau các phản ứng hoàn toàn thu được hỗn hợp chất rắn X. Cho X tan hết trong dung dịch HCl (dư) thấy có 5,6 lít khí H2 thoát ra (đktc). Kim loại M là
A. Mg
B. Al
C. Ca
D. Na
Đáp án: A
Bảo toàn e ⇒ 1,25nx + 2x = 0,4 + 0,5 = 0,9 (1)
Mặt khác: 1,25M + 65M = 19 (2)
Từ (1) và (2) ⇒ (1,25M + 65M)/(1,25n + 2) = 19/0,9 ⇒ n = 2; M = 24(Mg)
Bài 3: Hòa tan hết 10,1 gam hỗn hợp hai kim loại kiềm thuộc 2 chu kì liên tiếp vào nước thu được 3 lít dung dịch có pH = 13. Hai kim loại kiềm đó là:
A. Na, K
B. Li, Na
C. K, Rb
D. Rb, Cs
Đáp án: A
pH = 13 ⇒ [OH-] = 0,1M ⇒ n OH- = 0,3 mol

Bài 4: Cho 7,1 gam hỗn hợp gồm kim loại kiềm X và một kim loại kiềm thổ Y tác dụng hết với lượng dư dd HCl loãng, thu được 5,6l khí (đktc). Kim loại X, Y là:
A. Natri, magie
B. Liti và beri
C. Liti và beri
D. Kali, bari
Đáp án: A
⇒ nH2 = 0,5x + y = 0,25 ⇒ 0,25 < x + y < 0,5
⇒ 7,1/0,5 < M- < 7,1/0,25 ⇒ 14,2 < M- < 28,4
Chỉ có cặp nghiệm A = 23 (Na), B = 24 (Mg) thỏa mãn
Bài 5: Hòa tan hòa toàn 6,645g hỗn hợp muối clorua của hai kim loại kiềm thuộc hai chu kì liên tiếp nhau vào nước được dd X. Cho toàn bộ dd X tác dụng hoàn toàn với dd AgNO3(dư), thu được 18,655g kết tủa. Hai kim loại kiềm trên là:
A. Na, K
B. Rb, Cs
C. Li, Na
D. K, Rb
Đáp án: C

Bài 6: Hỗn hợp X gồm M2CO3, MHCO3, MCl với M là kim loại kiềm. Nung nóng 20,29 gam hỗn hợp X, sau khi phản ứng xảy ra hoàn toàn thấy còn lại 18,74 gam chất rắn. Cũng đem 20,29 gam hỗn hợp X tác dụng hết với 500ml dung dịch HCl 1M thì thoát ra 3,36 lít khí (đktc) và thu được dung dịch Y. Cho Y tác dụng với dung dịch AgNO3 dư thì thu được 74,62 gam kết tủa. Kim loại M là
A. Na
B. Li
C. K
D. Cs
Đáp án: C
+) Nung X:
⇒ ∆m giảm = mCO2 + mH2O ⇒ 31x = 20,29 – 18,74 ⇒ x = 0,05 mol
+) X + HCl:
⇒ nCO2 = y + 0,05 = 0,15 ⇒ y = 0, 1 mol
Dung dịch Y chứa MCl và HCl dư. Gọi z là số mol MCl có trong X ta có:
⇒ nAgCl = 0,5 + z = 74,62/143,5 = 0,52 ⇒ z = 0,02
⇒ (2M + 60).0,1 + (M + 61). 0,05 + (M + 35,5).0,02 = 20,29 ⇒ M = 39(K)
Bài 7: Cho 10g một kim loại kiềm thổ tác dụng với H2O, thu được 6,11 lít khí H2 (ở 25℃ và 1 atm). Hãy xác định tên của kim loại kiềm thổ đã dùng.
A. Mg
B. Ca
C. Ba
D. Be
Đáp án: B
Ta có: 
Gọi A là kí hiệu, nguyên tử khối của kim loại.

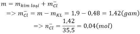
Bài 8: Điện phân nóng chảy hoàn toàn 1,9 gam muối clorua của một kim loại hóa trị II thu được 0,48 g kim loại ở catot. Xác định tên kim loại đó.
A. Sr
B. Ca
C. Ba
D. Mg
Đáp án: D
Ta có: 
Do kim loại cần tìm có hóa trị II nên công thức của muối là MCl2

Bài 9: Cho 1,67 gam hỗn hợp gồm hai kim loại ở hai chu kỳ liên tiếp thuộc nhóm IIA tác dụng hết với dung dịch HCl (dư), thoat ra 0,672 lít khí H2 (đktc). Tìm tên hai kim loại đem dùng.
A. Ca và Mg
B. Ca và Sr.
C. Mg và Ba
D. Ba và Sr
Đáp án: B
Gọi R- là kim loại hai chu kì liên tiếp của nhóm IIA.
Ta có:
\(n_{H_2}\) = 0,672/22,4 = 0,03(mol)
⇒ 2 kim loại cần tìm là: Ca và Sr.
Bài 10: Cho 2g kim loại nhóm IIA tác dụng hết với dung dịch HCl tạo ra 5,55g muối clorua. Kim loại đó là kim loại nào sau đây?
A. Be
B. Mg
C. Ca.
D. Ba
Đáp án: C
Gọi M là kim loại nhóm II, số mol là x
Theo đề bài ra ta có hệ phương trình: 
Mời các bạn tham khảo thêm các bài viết dưới đây của chúng tôi:
- Lý thuyết: Luyện tập tính chất của kim loại kiềm, kim loại kiềm thổ
- Lý thuyết: Một số hợp chất quan trọng của nhôm
- Lý thuyết: Luyện tập tính chất của nhôm và hợp chất của nhôm
- Tính chất chung của kim loại kiềm, kiềm thổ, nhôm
- Chuỗi phản ứng hóa học của kim loại kiềm, kiềm thổ, nhôm
- Nhận biết, điều chế kim loại kiềm, kiềm thổ, nhôm
Trên đây VnDoc đã giới thiệu tới các bạn Bài toán xác định tên kim loại. Để có kết quả cao hơn trong học tập, VnDoc xin giới thiệu tới các bạn học sinh tài liệu Giải bài tập Toán lớp 12, Giải bài tập Hóa học lớp 12, Giải bài tập Vật Lí 12, Tài liệu học tập lớp 12 mà VnDoc tổng hợp và đăng tải.