Giao diện mới của VnDoc Pro: Dễ sử dụng hơn - chỉ tập trung vào lớp bạn quan tâm. Vui lòng chọn lớp mà bạn quan tâm: Lưu và trải nghiệm
Đóng
Điểm danh hàng ngày
  • Hôm nay +3
  • Ngày 2 +3
  • Ngày 3 +3
  • Ngày 4 +3
  • Ngày 5 +3
  • Ngày 6 +3
  • Ngày 7 +5
Bạn đã điểm danh Hôm nay và nhận 3 điểm!
Nhắn tin Zalo VNDOC để nhận tư vấn mua gói Thành viên hoặc tải tài liệu Hotline hỗ trợ: 0936 120 169

40 câu trắc nghiệm Hóa học và vấn đề môi trường có lời giải chi tiết (Nâng cao - phần 2)

Lớp: Lớp 12
Môn: Hóa Học
Dạng tài liệu: Chuyên đề
Loại File: PDF
Phân loại: Tài liệu Tính phí

Câu hỏi trắc nghiệm Hóa học và vấn đề môi trường

VnDoc xin giới thiệu tới bạn đọc 40 câu trắc nghiệm Hóa học và vấn đề môi trường có lời giải chi tiết (Nâng cao - phần 2). Nội dung tài liệu sẽ giúp các bạn giải bài tập Hóa học lớp 12 hiệu quả hơn. Mời các bạn tham khảo.

Câu 21. Sau bài thực hành hóa học trong chất thải ở dạng dung dịch chứa các ion: Cu2+, Fe3+, Zn2+, Pb2+, Hg2+. Dùng chất nào sau đây có thể xử lí sơ bộ các chất trên?

A. HNO3

B. Etanol

C. Giấm ăn

D. Nước vôi dư.

Các ion Cu2+, Fe3+, Zn2+, Pb2+, Hg2+ tạo kết tủa hiđroxit với Ca(OH)2. Khi đó kết tủa và đun xử lý.

→ Đáp án D

Câu 22. Phân bón, thuốc trừ sâu, thuốc kích thích tăng trưởng... có tác dụng giúp cho cây phát triển tốt, tăng năng suất cây trồng nhưng lại có tác dụng phụ gây ra những bệnh hiểm nghèo cho con người. Sau khi bón phân đạm hoặc phun thuốc trừ sâu, thuốc kích thích tăng trưởng cho một số loại rau, quả, thời hạn tối thiểu để sử dụng an toàn thường là:

A. 1-2 ngày

B. 2-3 ngày

C. 12-15 ngày

D. 30-35 ngày.

Sau khi bón phân đạm hoặc phun thuốc trừ sâu, thuốc kích thích tăng trưởng cho 1 số loại rau quả thì thời hạn tối thiểu để sử dụng an toàn là 12-15 ngày.

→ Đáp án C

Câu 23. Trong công nghệ xử lí khí thải do quá trình hô hấp của các nhà du hành vũ trụ hay thuỷ thủ trong tàu ngầm người ta thường dùng hoá chất nào sau đây?

A. Na2O2 rắn.

B. NaOH rắn.

C. KClO3 rắn.

D. Than hoạt tính.

Khi thủy thủ thở ra CO2 bị Na2O2 hấp thụ sinh ra O2 tiếp tục cung cấp cho quá trình hô hấp:

Na2O2 + CO2 → Na2CO3 + O2

→ Đáp án A

Câu 24. Sau khi làm thí nghiệm Cu tác dụng với HNO3 đặc, biện pháp tốt nhất để khí tạo thành thoát ra ngoài gây ô nhiễm môi trường ít nhất là:

A. Nút ống nghiệm bằng bông tẩm nước.

B. Nút ống nghiệm bằng bông tẩm cồn.

C. Nút ống nghiệm bằng bông tẩm giấm.

D. Nút ống nghiệm bằng bông tẩm dung dịch kiềm.

Cu + 4HNO3 → Cu(NO3)2 + 2NO2 + 2H2O

Khí thoát ra là NO2

2NaOH + 2NO2→ NaNO3 + NaNO2 + H2O

→ Đáp án D

Câu 25. Những trường hợp bị say hay chết do ăn sắn có một lượng nhỏ HCN (chất lỏng không màu, dễ bay hơi và rất độc). Lượng HCN tập trung nhiều ở phần vỏ sắn. Để không bị nhiễm độc HCN do ăn sắn, khi luộc sắn cần

A. Rửa sạch vỏ rồi luộc.

B. Tách bỏ vỏ rồi luộc.

C. Tách bỏ vỏ rồi luộc, khi nước sôi nên mở vung khoảng 5 phút.

D. Cho thêm ít nước vôi trong vào nồi luộc sắn để trung hòa HCN.

→ Đáp án C

Câu 26. Để sản xuất được 10 tấn NaOH bằng phương pháp điện phân thì cần bao nhiêu tấn NaCl 95%? Biết hiệu suất của quá trình là 89%

A. 16,298

B. 17,397

C. 17,297

D. 18,296

40 câu trắc nghiệm Hóa học và vấn đề môi trường có lời giải chi tiết (Nâng cao - phần 2)

Khối lượng NaCl 95% 40 câu trắc nghiệm Hóa học và vấn đề môi trường có lời giải chi tiết (Nâng cao - phần 2)

→ Đáp án C

Câu 27. Để đánh giá độ nhiễm bẩn H2S không khí của một nhà máy, người ta tiến hành lấy 1,5 lít không khí rồi sục qua dung dịch Pb(NO3)2 dư thì thu được 0,3585mg chất kết tủa màu đen. Vậy hàm lượng H2S trong không khí của nhà máy này là:

A. 3,4.10-2 mg/l

B. 2,55.10-2 mg/l

C. 2,8.10-2 mg/l

D. 2,1.10-2 mg/l

nPbS = 0,3585.10-3/239 = 1,5.10-6 mol

Pb(NO3)2 (1,5.10-6) + H2S → PbS↓ (1,5.10-6) + 2HNO3

mH2S = 1,5.10-6.34 = 5,1.10-5 g

Hàm lượng H2S = 5,1.10-5/1,5 = 3,4.10-5 g/l = 3,4.10-2 mg/l

→ Đáp án A

Câu 28. Một nhà máy chế biến thực phẩm, 1 năm sản xuất 200000 tấn glucozo từ tinh bột sắn. Biết hiệu suất phản ứng tạo glucozo là 80%, và trong bột sắn có 90% tinh bột. Tính lượng chất thải ra môi trường nếu nhà máy không tận dụng sản phẩm thừa?

A. 50 000 tấn

B. 125 000 tấn

C. 150 000 tấn

D. 80 000 tấn

(C6H10O5)n → nC6H12O6

Để sản xuất 200 000 tấn glucozo lượng tinh bột cần là: 200000/180.162 = 180 000 tấn ⇒ lượng bột sắn cần là: 180000. 100/90 = 200 000 tấn

Do H = 80% nên thực tế lượng bột sắn cần là: 200000.100 /80 = 250 000.

Lượng chất thải ra môi trường là: 250000 - 200000 = 50000 tấn

→ Đáp án A

Câu 29. Các tác nhân hóa học gây ô nhiễm môi trường nước gồm:

1. Các ion kim loại nặng Hg2+, Pb2+, As3+, Cd2+, Cu2+, …

2. Các gốc axit: NO3-, PO43-, SO42-

3. Thuốc bảo vệ thực vật, phân bón hóa học

A. 1 và 3

B. 1 và 2

C. 2 và 3

D. 1, 2 và 3

→ Đáp án D

Câu 30. Các polime là rác thải gây ô nhiễm môi trường là do chúng có tính chất:

A. không bay hơi, khó bị phân hủy, khó tan trong hợp chất hữu cơ, có polime không tan trong bất kì dung môi nào.

B. nhẹ dễ cháy, dễ phân hủy

C. có tính đàn hồi, bền cơ học cao, cách nhiệt, cách điện.

D. có tính đàn hồi, bền cơ học cao, cách điện nhưng nhẹ, dễ cháy, dễ tan.

→ Đáp án A

Câu 31. Nguyên tố nào trong hợp chất (CFC) là nguyên nhân phá huỷ tầng ozon?

A. Cacbon

B. Oxi

C. Clo

D. Flo

→ Đáp án C

Câu 32. Khí SO2 do các nhà máy sinh ra là nguyên nhân quan trọng nhất gây ô nhiễm môi trường. Theo tiêu chuẩn quốc tế quy định nếu lượng SO2 vượt quá 10.10-6mol/m3 không khí thì bị coi là ô nhiễm. Kết quả phân tích 50 lít không khí ở một số khu vực như sau:

Khu vực Khối lượng SO2
X 0,012 mg
Y 0,01 mg
Z 0,009 mg

Không khí của khu vực bị ô nhiễm là:

A. X

B. Y và X

C. X, Y và Z

D. Không có khu vực nào.

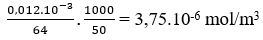
Hàm lượng SO2 ở nhà máy X là:

40 câu trắc nghiệm Hóa học và vấn đề môi trường có lời giải chi tiết (Nâng cao - phần 2)

Hàm lượng SO2 ở nhà máy Y là:

40 câu trắc nghiệm Hóa học và vấn đề môi trường có lời giải chi tiết (Nâng cao - phần 2)

Hàm lượng SO2 ở nhà máy Z là:

40 câu trắc nghiệm Hóa học và vấn đề môi trường có lời giải chi tiết (Nâng cao - phần 2)

Như vậy hàm lượng SO2 của cả ba khu vực đều thấp hơn giới hạn cho phép.

→ Đáp án D

Câu 33. Nguyên nhân của sự suy giảm tầng ozon chủ yếu là do:

A. Khi CO2

B. Mưa axit

C. Clo và các hợp chất của clo

D. Quá trình sản xuất gang, thép

Các hợp chất của Clo dưới tác dụng của bức xạ mặt trời bị phân hủy sinh ra clo.

Cl + O3 → ClO + O2

Do đó làm giảm lượng ozon, gây hiện tượng suy giảm tầng ozon tạo ra các lỗ thủng tầng ozon.

→ Đáp án C

Câu 34. Không khí trong phòng thí nghiệm bị nhiễm bẩn bởi khí clo. Để khử độc, có thể xịt vào không khí dung dịch nào sau đây?

A. Dung dịch HCl

B. Dung dịch NH3

C. Dung dịch H2SO4

D. Dung dịch NaCl

2NH3 + 3Cl2 → N2 + 6HCl

→ Đáp án B

Câu 35. Theo tiêu chuẩn Việt Nam, nồng độ cho phép của ion Cu2+ trong nước uống không được vượt quá 3mg/l. Khi cho dung dịch H2S dư vào 500ml 1 mẫu nước, lượng kết tủa tối thiểu là bao nhiêu cho thấy mẫu nước đã bị nhiễm đồng?

A. 0,00144

B. 0,00229

C. 0,00115

D. 0,0028

Cu2+ + H2S → CuS + 2H+

Nồng độ CuS < 3mg/l

⇒ Trong 500ml mẫu nước nCuS < 3/64. 0,5 = 0,0234 mmol = 0,0000234mol

⇒ mCuS < 0,0000234. 98 = 0,00229g

Vậy lượng kết tủa tối thiểu cho thấy mẫu nước đã nhiễm đồng là 0,0023mg

→ Đáp án B

Câu 36. Theo tiêu chuẩn Việt Nam (TCVN 7209 : 2002) thì hàm lượng chì cho phép đối với đất sử dụng cho mục đích trồng trọt là 70ppm. Khi phân tích 3 mẫu đất (1); (2) và (3) mỗi mẫu nặng 0,5g bằng phương pháp quang phổ. Người ta được kết quả về hàm lượng Pb tương ứng là 10-8g; 6,7.10-8 g và 2.10-8. Vậy kết luận nào chính xác.

A. (1); (2) được phép trồng trọt

B. (1); (3) được phép trồng trọt

C. (2); (3) được phép trồng trọt

D. Cả ba mẫu đều được

Hàm lượng Pb trong mẫu (1)

40 câu trắc nghiệm Hóa học và vấn đề môi trường có lời giải chi tiết (Nâng cao - phần 2)

Hàm lượng Pb trong mẫu (2)

40 câu trắc nghiệm Hóa học và vấn đề môi trường có lời giải chi tiết (Nâng cao - phần 2)

Hàm lượng Pb trong mẫu (3)

40 câu trắc nghiệm Hóa học và vấn đề môi trường có lời giải chi tiết (Nâng cao - phần 2)

Vậy chỉ có mẫu (1) và (3) đạt tiêu chuẩn cho phép.

→ Đáp án B

Câu 37. Có thể dùng chất nào để xử lí sơ bộ các chất thải ở dạng dung dịch có chứa các ion sau: Cu2+, Zn2+, Fe3+, Pb2+

A. HNO3

B. Nước vôi dư

C. H2SO4

D. Br2

Xử dụng nước vôi trong dư có môi trường kiềm, sẽ làm kết tủa các ion kim loại nặng.

→ Đáp án B

Câu 38. Theo quy định của Bộ Y tế về sử dụng chất ngọt nhân tạo, chất Acesulfam K có liều lượng chấp nhận được là 0-15mg/kg trọng lượng cơ thể 1 ngày. Nếu 1 người nặng 50kg, trong 1 ngày có thể dùng tối đa lượng chất đó là bao nhiêu?

A. 750mg

B. 900mg

C. 600mg

D. 15g

Liều lượng tối đa 1 ngày với người nặng 50kg là: 15. 50 = 750mg

→ Đáp án A

Câu 39. Mưa axit chủ yếu do những chất sinh ra trong quá trình sản xuất công nghiệp nhưng không được xử lí triệt để. Đó là những chất nào?

A. NH3, HCl

B. H2S, Cl2

C. SO2, NO2

D. CO2, SO2

Trong công nghiệp sản xuất axit H2SO4, phân lân sinh ra lượng đáng kể SO2, sản xuất phân đạm sinh ra NO2 (hoặc NO sau khi gặp không khí chuyển hóa thành NO2). Các khi này gặp mưa tạo thành axit nên gọi là mưa axit.

→ Đáp án C

Câu 40. Có thể điều chế thuốc diệt nấm dung dịch 5% CuSO4 theo sơ đồ sau:

CuS → CuO → CuSO4

Lượng dung dịch CuSO4 5% thu được từ 1 tấn nguyên liệu chứa 75% CuS là bao nhiêu. Biết H = 80%

A. 2 tấn

B. 20 tấn

C. 1,2 tấn

D. 21 tấn

mCuSO4 = (1.75%.160)/96 = 1,25 tấn

mdd CuSO4 thực tế thu được là: (1,25.80.100)/(5.100)= 20 tấn

→ Đáp án B

Mời các bạn tham khảo thêm các bài viết dưới đây của chúng tôi:

Trên đây VnDoc đã giới thiệu tới các bạn 40 câu trắc nghiệm Hóa học và vấn đề môi trường có lời giải chi tiết (Nâng cao - phần 2). Để có kết quả cao hơn trong học tập, VnDoc xin giới thiệu tới các bạn học sinh tài liệu Giải bài tập Toán lớp 12, Giải bài tập Hóa học lớp 12, Giải bài tập Vật Lí 12, Tài liệu học tập lớp 12VnDoc tổng hợp và đăng tải.

Đóng Chỉ thành viên VnDoc PRO/PROPLUS tải được nội dung này!
Đóng
79.000 / tháng
Đặc quyền các gói Thành viên
PRO
Phổ biến nhất
PRO+
Tải tài liệu Cao cấp 1 Lớp
30 lượt tải tài liệu
Xem nội dung bài viết
Trải nghiệm Không quảng cáo
Làm bài trắc nghiệm không giới hạn
Mua cả năm Tiết kiệm tới 48%

Có thể bạn quan tâm

Xác thực tài khoản!

Theo Nghị định 147/2024/ND-CP, bạn cần xác thực tài khoản trước khi sử dụng tính năng này. Chúng tôi sẽ gửi mã xác thực qua SMS hoặc Zalo tới số điện thoại mà bạn nhập dưới đây:

Số điện thoại chưa đúng định dạng!
Số điện thoại này đã được xác thực!
Bạn có thể dùng Sđt này đăng nhập tại đây!
Lỗi gửi SMS, liên hệ Admin
Sắp xếp theo
🖼️

Chuyên đề Hóa 12

Xem thêm
🖼️

Gợi ý cho bạn

Xem thêm