Lý thuyết: Một số phản ứng hóa học thường gặp của Polime
Chuyên đề Hóa học 12 Lý thuyết: Một số phản ứng hóa học thường gặp của Polime. Nội dung tài liệu sẽ giúp các bạn giải bài tập Hóa học lớp 12 hiệu quả hơn. Mời các bạn tham khảo.
1. Nhựa
a. Nhựa PE

b. Nhựa PVC

c. Nhựa PS

d. Nhựa PVA

Thuỷ phân PVA trong môi trường kiềm thu được poli vinylic:

e. Nhựa PMM (thuỷ tinh hữu cơ - plexiglas)

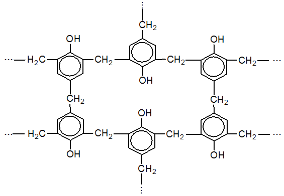
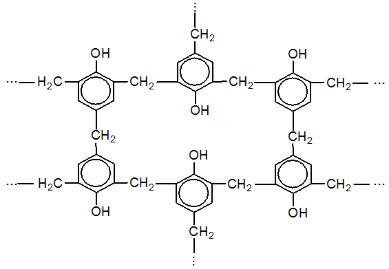
f. Nhựa PPF
Poli(phenol - fomanđehit) (PPF) có 3 dạng: nhựa novolac, nhựa rezol, nhựa rezit.
- Nhựa novolac: Nếu dư phenol và xúc tác axit.

- Nhựa rezol: Nếu dư fomanđehit và xúc tác bazơ.

- Nhựa rezit (nhựa bakelít): Nhựa rezol nóng chảy (150oC) và để nguội thu được nhựa có cấu trúc mạng lưới không gian.

2. Cao su
a. Cao su buna

b. Cao su isopren

c. Cao su buna – S

d. Cao su buna – N

e. Cao su clopren

f. Cao su flopren

3. Tơ
a. Tơ capron (nilon-6)

b. Tơ enang (nilon-7)

c. Tơ nilon-6,6

d. Tơ clorin

e. Tơ dacron (lapsan)

f. Tơ nitron (hay olon)
![]()
Mời các bạn tham khảo thêm các bài viết dưới đây của chúng tôi:
- 100 câu trắc nghiệm Amin, Amino Axit, Protein có lời giải chi tiết (Cơ bản - phần 3)
- 100 câu trắc nghiệm Amin, Amino Axit, Protein có lời giải chi tiết (Nâng cao - phần 1)
- 100 câu trắc nghiệm Amin, Amino Axit, Protein có lời giải chi tiết (Nâng cao - phần 2)
- 100 câu trắc nghiệm Amin, Amino Axit, Protein có lời giải chi tiết (Nâng cao - phần 3)
- Lý thuyết Polime: Tính chất hóa học, Tính chất vật lí, Cấu tạo, Phân loại
- Lý thuyết Vật liệu Polime: Chất dẻo, tơ, cao su, keo dán
Trên đây VnDoc đã giới thiệu tới các bạn Lý thuyết: Một số phản ứng hóa học thường gặp của Polime. Để có kết quả cao hơn trong học tập, VnDoc xin giới thiệu tới các bạn học sinh tài liệu Giải bài tập Toán lớp 12, Giải bài tập Hóa học lớp 12, Giải bài tập Vật Lí 12, Tài liệu học tập lớp 12 mà VnDoc tổng hợp và đăng tải.