150 câu trắc nghiệm Este Lipit có lời giải chi tiết (Nâng cao - phần 4)
Hóa học 12: Trắc nghiệm Este Lipit có lời giải chi tiết
Chuyên đề Hóa học 12 150 câu trắc nghiệm Este Lipit có lời giải chi tiết (Nâng cao - phần 4). Tài liệu chắc chắn sẽ là nguồn thông tin hữu ích để giúp các bạn giải bài tập Hóa học lớp 12 hiệu quả hơn. Mời các bạn tham khảo.
Câu 121: Đun nóng 0,1 mol este no, đơn chức mạch hở X với 30 ml dung dịch 20% (D = 1,2 g/ml) của một hiđroxit kim loại kiềm A. Sau khi kết thúc phản ứng xà phòng hoá, cô cạn dung dịch thì thu được chất rắn Y và 4,6 gam ancol Z, biết rằng Z bị oxi hoá bởi CuO thành sản phẩm có khả năng phản ứng tráng bạc. Đốt cháy chất rắn Y thì thu được 9,54 gam muối cacbonat, 8,26 gam hỗn hợp CO2 và hơi nước. Công thức cấu tạo của X là
A. CH3COOCH3.
B. CH3COOC2H5.
C. HCOOCH3.
D. C2H5COOCH3.
X là este no, đơn chức, mạch hở: CnH2n+1COOCmH2m+1 (0 ≤ n; 1 ≤ m)
Ta có: nX = nAOH (pư) = nZ = 0,1 mol
⇒ MZ = 14m + 18 = 4,6/0,1 ⇒ m = 2 ⇒ Z: C2H5OH
Mặt khác:
→ nNaOH (ban đầu) = 7,2/40 = 0,18 mol

→ n = 1 → X: CH3COOC2H5
→ Đáp án B
Câu 122: Hỗn hợp X gồm ancol A, axit cacoxylic B (đều no, đơn chức, mạch hở) và este C tạo ra từ A và B. Đốt cháy hoàn toàn m gam X cần dùng vừa đủ 0,18 mol O2, sinh ra 0,14 mol CO2. Cho m gam X trên vào 500ml dung dịch NaOH 0,1M đun nóng, sau khi kết thúc các phản ứng thu được dung dịch Y. Cô cạn dung dịch Y còn lại 3,68 gam chất rắn khan. Người ta cho thêm bột CaO và 0,48 gam NaOH vào 3,68 gam chất rắn khan trên rồi nung trong bình kín (chân không). Sau khi phản ứng xảy ra hoàn toàn thu được m gam khí. Giá trị của m gần nhất với.
A. 0,85 gam.
B. 1,25 gam.
C. 1,45 gam.
D. 1,05 gam.
Đang biên soạn
Câu 123: Thủy phân m gam hỗn hợp X gồm este đơn chức A (C5H8O2) và este nhị chức B (C6H10O4) cần dùng vừa đủ 150 ml dung dịch NaOH 1M rồi cô cạn thu được hỗn hợp Y gồm 2 muối và hỗn hợp Z gồm 2 ancol no đơn chức đồng đẳng kế tiếp. Cho toàn bộ hỗn hợp Z tác dụng với một lượng CuO dư nung nóng thu được hỗn hợp hơi T (có tỉ khối hơi so với H2 là 13,75). Cho toàn bộ hỗn hợp T tác dụng với một lượng dư dung dịch AgNO3/NH3 thu được 32,4g Ag. Các phản ứng xảy ra hoàn toàn. Thành phần phần trăm khối lượng muối có phân tử nhỏ hơn trong hỗn hợp Y là:
A. 38,84%
B. 48,61%
C. 42,19%
D. 41,23%
Nếu trong T không chứa HCHO → nandehit = 0,5nAg = 0,15 mol
Có khi oxi hoa ancol bằng CuO → nnước = nandehit = 0,15 mol
Vậy T chắc chắn chứa HCHO: a mol và CH3CHO : b mol
Ta có hệ
Vì nNaOH = 0,15 mol > ∑nancol = 0,1 mol → chứng tỏ A phải có cấu tạo vòng
(ví dụ
)
và B có cấu tạo CH3OOC-CH2-COOC2H5: 0,05 mol
Muối thu được gồm HOCH2-CH2-CH2-CH2-COONa: 0,05 mol và NaOOCCH2COONa: 0,05 mol
% HOCH2-CH2-CH2-CH2-COONa = 48,61%.
→ Đáp án B
Câu 124: Hỗn hợp A gồm một axit đa chức X và một hợp chất hữu cơ tạp chức Y đều có thành phần chứa các nguyên tử C, H, O. Tiến hành ba thí nghiệm với m gam hỗn hợp A
TN1: phản ứng hoàn toàn với lượng dư AgNO3 trong NH3 thu được 43,2 gam Ag.
TN2: phản ứng vừa đủ với 100 ml dung dịch KHCO3 2M.
TN3: phản ứng vừa đủ với 100 ml dung dịch KOH 4M, thu được 1 ancol duy nhất Z và hỗn hợp T gồm hai muối. Dẫn toàn bộ Z qua bình đựng Na dư thấy khối lượng bình tăng 9 gam, đồng thời thu được 2,24 lít khí H2. Đốt cháy hoàn toàn hỗn hợp T bằng lượng O2 vừa đủ thu được 8,96 lít CO2, nước và muối cacbonat.
Biết các khí đo ở điều kiệu tiêu chuẩn, phần trăm khối lượng của Y trong hỗn hợp A có giá trị gần nhất với giá trị
A. 69,5%.
B. 31,0%.
C. 69,0%.
D. 30,5%.
TN1 → nCHO = 0,5. nAg = 0,2 mol
TN2 →
\(n_{HCO_3}\) = nCOOH = 0,2 mol
TN3 → nCOO = nKOH = 0,4 mol > nCOOH
→ chứng tỏ Y chứa nhóm COO: 0,2 mol, CHO: 0,2 mol.
Bảo toàn nguyên tố K →
\(n_{K_2CO_3}\) = 0,5nKOH = 0,2 mol
Có ∑ nC (muối) =
\(n_{CO_2}\) +
\(n_{K_2CO_3}\) = 0,6 mol = nCOOH + nCHO + nCOO
Y tạp chức → chứng tỏ X là (COOH)2: 0,1 mol và Y là HOC-COOR': 0,2 mol
Ancol Z + Na → muối + H2
→ mancol = mbình tăng +
\(m_{H_2}\) = 9,2 gam và nOH- =
\(2n_{H_2}\)= 0,2 mol
Z là ancol đơn chức → Mancol = 9,2/0,2 = 46 (C2H5OH )
→ Y là HOC-COOC2H5
%Y = 69,38%
→ Đáp án A
Câu 125: Cho hỗn hợp X gồm hai chất hữu cơ, no đơn chức, mạch hở (chứa C, H, O) tác dụng vừa đủ với 20ml dung dịch NaOH 2M thu được một muối và một ancol. Đun nóng lượng ancol thu được với axit H2SO4 đặc ở 170°C thu được 0,015 mol anken (là chất khí ở điều kiện thường). Nếu đốt cháy lượng X như trên rồi cho sản phẩm qua bình đựng CaO dư thì khối lượng bình tăng 7,75 gam. Biết các phản ứng xảy ra hoàn toàn. Phát biểu nào sau đây đúng?
A. Khối lượng của chất có phân tử khối lớn hơn trong X là 2,55 gam.
B. Tổng phân tử khối của hai chất trong X là 164.
C. Thành phần phần trăm khối lượng các chất trong X là 49,5% và 50,5%.
D. Một chất trong X có 3 công thức cấu tạo phù hợp với điều kiện bài toán.
- Khi đốt cháy X có
\(n_{CO_2}\) =
\(n_{H_2O}\)
→ 44
\(n_{CO_2}\) + 18
\(n_{H_2O}\) = mbình tăng → 44a + 18a = 7,75 → a = 0,125 mol
- Xét quá trình X tác dụng với NaOH :
+ Nhận thấy rằng, nNaOH > nanken → trong trong X chứa 1 este và 1 axit.
Khi dehirat hóa ancol thì:
neste A = nanken = 0,015 mol → naxit (B) = nX – neste = 0,025 mol
- Gọi CA và CB lần lượt là số nguyên tử C của este A và axit B (với CA ≥ 3, CB ≥ 1)
→ nA. CA + nB.CB =
\(n_{CO_2}\) → 0,015CA + 0,025CB = 0,125 → CA = 5, CB = 2 (Thỏa mãn) → Vậy A là C5H10O2 và B là C2H4O2
A. Sai, Độ chênh lệch khối lượng giữa A và B là: Δm = 102nA – 60nB = 0,03 g.
B. Sai, Tổng khối lượng phân tử khối của A và B là 162.
C. Đúng,
D. Sai, Este A có 7 đồng phân tương ứng là: CH3COO-C3H7 (2 đồng phân) ; HCOO-C4H9 (4 đồng phân); C2H5COOC2H5 (1 đồng phân) và axit B chỉ có 1 đồng phân là CH3COOH.
→ Đáp án C
Câu 126: X, Y, Z là 3 este đều đơn chức, mạch hở (trong đó Y và Z đều có hai liên kết pi trong phân tử và có đồng phân hình học). Đốt cháy 21,62 gam hỗn hợp E chứa X, Y, Z với oxi vừa đủ, sản phẩm cháy dẫn qua dung dịch Ca(OH)2 dư thấy khối lượng dung dịch giảm 34,5 gam so với trước phản ứng. Mặt khác, đun nóng 21,62 gam E với 300 ml dung dịch NaOH 1M (vừa đủ), thu được hỗn hợp F chỉ chứa 2 muối và hỗn hợp gồm 2 ancol kế tiếp thuộc cùng dãy đồng đẳng. Khối lượng của muối có khối lượng phân tử lớn hơn trong hỗn hợp F là
A. 4,68 gam.
B. 8,1 gam.
C. 9,72 gam.
D. 8,64 gam.
- Đặt = X; = y → n↓ = X → mdd giam = m↓ - (
\(m_{CO_2}\) +
\(m_{H_2O}\))
→ 100x – (44x + 18y) = 34,5 (1)
- nCOO = nNaOH = 0,3 mol, mE = mC + mH + mO
→ 21,62 = 12x + 2y + 0,3.2.16 = 21,62 (2)
Từ (1), (2) ta có có: x = 0,87 mol; y = 0,79 mol
- X, Y, Z đều đơn chức → nE = nCOO = 0,3 mol → C = 0,87/0,3 = 2,9 → X là HCOOCH3
2 ancol là CH3OH và C2H5OH. Lại có Y và Z có 2π → liên kết π trong gốc axit
→ Y và Z tạo bởi cùng 1 gốc axit
nY,Z =
\(n_{CO_2}\) -
\(n_{H_2O}\) = 0,08 mol → nX = nNaOH - 0,08 = 0,22 mol
Mà Y và Z có đồng phân hình học → chứa CH3CH=CHCOOCH3
→ 2 muối là: 0,08 mol CH3CH=CHCOONa và 0,22 mol HCOONa
Muối có PTK lớn hơn là CH3CH=CHCOONa
→ mmuối có PTK lớn = 0,08. 108 = 8,64g.
→ Đáp án D
Câu 127: Hợp chất X chứa (C,H,O) có 5 liên kết pi trong phân tử, X tác dụng với NaOH theo tỉ lệ 1 : 3. Đốt cháy hoàn toàn 13,8 gam X cần dùng vừa đủ 15,68 lít khí O2 (đktc), sau phản ứng thu được 5,4 gam nước. Mặt khác, thủy phân hoàn toàn 6,9 gam X trong 100 ml dung dịch NaOH 2M thu được dung dịch A. Cô cạn dung dịch A thu được khối lượng chất rắn là
A. 11,1 gam.
B. 13,1 gam.
C. 9,4 gam.
D. 14,0 gam.
Ta có:
\(n_{O_2}\) = 15,68/22,4 = 0,7 mol;
\(n_{H_2O}\) = 5,4/18 = 0,3 mol; nNaOH = 0,1.2 = 0,2 mol
Thí nghiệm 1: Đốt cháy X
Bảo toàn khối lượng: mX +
\(m_{O_2}\) =
\(m_{CO_2}\) +
\(m_{H_2O}\)
→ 13,8 + 0,7.32 =
\(m_{O_2}\) + 5,4 → = 30,8 g →
\(n_{CO_2}\) = 30,8/44 = 0,7 mol
Bảo toàn nguyên tố oxi:
nO(X) +
\(2n_{O_2}\)=
\(2n_{CO_2}\)+
\(n_{H_2O}\) → nO(X) + 2.0,7 = 2.0,7 + 0,3 → nO(X) = 0,3 mol
Gọi công thức của X là
Ta có: x : y : z = 0,7 : 0,6 : 0,3 = 7 : 6 : 3
→ Công thức đơn giản nhất của X là C7H6O3
→ Công thức phân tử của X là (C7H6O3)n
Vì X có 5 liên kết π trong phân tử nên k = 5 → 4n + 1 = 5 → n =1
→ Công thức phân tử của X là C7H6O3
Vì X phản ứng với NaOH theo tỉ lệ 1:3
→ Công thức cấu tạo của X là HCOOC6H4OH
Thí nghiệm 2: 6,9 gam X tác dụng với 0,2 mol NaOH: nX = 6,9/138 = 0,05 mol
HCOOC6H4OH (0,05) + 3NaOH (0,2) → HCOONa (0,05) + ONaC6H4ONa (0,05) + 2H2O
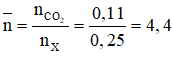
→ Chất rắn gồm: HCOONa: 0,05 mol; NaOC6H4ONa: 0,05 mol và NaOH: 0,2 – 0,05.3 = 0,05 mol
→ mrắn = 0,05.68 + 154.0,05 + 40.0,05 = 13,1 g
→ Đáp án B
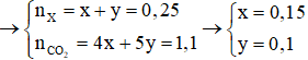
Câu 128: Để thuỷ phân hết 7,612 gam hỗn hợp X gồm 2 este đơn chức và 2 este đa chức thì cần dùng vừa hết 80ml dung dịch KOH aM. Sau phản ứng, thu được hỗn hợp Y gồm các muối của các axit cacboxylic và các ancol. Đốt cháy hoàn toàn hỗn hợp Y thì thu được K2CO3; 4,4352 lít CO2 (đktc) và 3,168 gam H2O. Vậy a gần với giá trị nào sau đây nhất?
A. 1,63.
B. 1,42.
C. 1,25.
D. 1,56
Ta có:
\(n_{CO_2}\) = 4,4352/22,4 = 0,198 mol;
\(n_{H_2O}\) = 3,168/18 = 0,176 mol.
nKOH = 0,08a → nCOO = 0,08a;
\(n_{K_2CO_3}\) = 0,04a mol
Bảo toàn nguyên tố:
nC(X) = 0,04 + 0,198 ; nH(X) = 2.0,176 - 0,08a ; nO(X) = 0,08a.2
→ 12(0,04a + 0,198) + 2.0,176 - 0,08a + 0,16a.16 = 7,612
→ a = 1,65
→ Đáp án A
Câu 129: Cho 1 mol chất X (C9H8O4, chứa vòng benzen) tác dụng hết với NaOH dư, thu được 2 mol chất Y, 1 mol chất Z và 1 mol H2O. Chất Z tác dụng với dung dịch H2SO4 loãng, thu được chất hữu cơ T. Phát biểu nào sau đây sai?
A. Chất Y có phản ứng tráng bạc.
B. Chất X tác dụng với NaOH theo tỉ lệ mol 1:3.
C. Chất T tác dụng với NaOH theo tỉ lệ mol 1:2.
D. Phân tử chất Z có 2 nguyên tử oxi.
k = 6 = 1 vòng benzen + 2πC=O → X không chứa πC=C ngoài vòng benzen.
Dễ thấy X là HCOOC6H4CH2OOCH → Y là HCOONa, Z là NaOC6H4CH2OH.
→ T là HOC6H4CH2OH → C sai vì T tác dụng với NaOH theo tỉ lệ 1 : 1
→ Đáp án C
Câu 130: Đốt cháy hoàn toàn a mol X (là trieste của glixerol với các axit đơn chức, mạch hở), thu được b mol CO2 và c mol H2O (b - c = 5a). Hiđro hóa m1 gam X cần 6,72 lít H2(đktc), thu được 89,00 gam Y (este no). Đun nóng m1 gam X với dung dịch chứa 0,45 mol NaOH, cô cạn dung dịch sau phản ứng, thu được m2 gam chất rắn. Giá trị của m2 là
A. 91,20
B. 97,80
C. 104,40
D. 97,20
Vì b - c = 5a nên trong X có chứa 6 liên kết pi với 3 liên kết pi ở 3 nhóm –COO và 3 liên kết pi ở mạch C của axit.
Ta có
\(n_{H_2}\) = 0,3 = 3nX nên nX = 0,1 mol
Bảo toàn khối lượng, ta có mX = meste –
\(m_{H_2}\) = 89 – 0,3.2 = 88,4g
Bảo toàn khối lượng, ta có mX + mNaOH = m2 +
\(m_{C_3H_5(OH)_3}\) (nglixerol = nX = 0,1 mol)
→ m2 = 88,4 + 0,45.40 – 0,1.92 = 97,2 g.
→ Đáp án D
Câu 131: Đốt cháy hoàn toàn m gam hỗn hợp X gồm hai este đồng phân cần dùng 27,44 lít khí O2, thu được 23,52 lít khí CO2 và 18,9 gam H2O. Nếu cho m gam X tác dụng hết với 400 ml dung dịch NaOH 1M, cô cạn dung dịch sau phản ứng thì thu được 27,9 gam chất rắn khan, trong đó có a mol muối Y và b mol muối Z (MY < MZ). Các thể tích khí đều đo ở điều kiện tiêu chuẩn. Tỉ lệ a : b là
A. 3 : 5.
B. 2 : 3.
C. 3 : 2.
D. 4 : 3.

→ Đáp án D
Câu 132: Este hai chức X tác dụng với dung dịch NaOH tạo ra một muối và một ancol đều có số mol bằng số mol este, đều có cấu tạo mạch thẳng. Mặt khác 2,58 gam X tác dụng vừa đủ với 0,03 mol KOH thu được 3,33 gam muối. Este đó là
A. (COO)2C2H4.
B. C2H4(COO)2C3H6.
C. C4H8(COO)2C2H4.
D. (CH3COO)2C2H4.
→ Đáp án C
Câu 133: Hỗn hợp E chứa este X (CnH2n-6O4) và este Y (CmH2m-4O6) đều mạch hở và thuần chức. Hidro hóa hoàn toàn 41,7 gam E cần dùng 0,18 mol H2 (Ni/to). Đốt cháy hết 41,7 gam E thu được 18,9 gam H2O. Mặt khác nếu đun nóng 0,18 mol E với dung dịch KOH vừa đủ thu được hỗn hợp chứa muối của axit đơn chức có khối lượng m gam và hỗn hợp 2 ancol no, đa chức. Giá trị của m là
A. 16,835.
B. 22,5.
C. 43,2.
D. 57,6.
Từ công thức X, Y → chất đầu dãy là (C2H3COO)2C2H4 và (HCOO)3C3H5
Qui đổi hỗn hợp E thành: C8H10O4 (x mol); C6H8O6 (y mol) và CH2 (z mol)
Lập hệ phương trình:
→ nE(41,7g) = 0,09 + 0,15 = 0,24 mol.
+) mmuối = (0,18/0,24). (mE + mKOH – metilenglicol - mglixerol)
mE = 41,7 g; mKOH = (2.0,09 + 3.0,15).56 = 35,28 g;
metilenglycol = 0,09. 62 = 5,58 g;
mglyxerol = 0,15.92 = 13,8 g → mmuối = 43,2 g.
→ Đáp án C
Câu 134: Đốt cháy hoàn toàn 22,9 gam hỗn hợp X gồm hai este đơn chức, mạch hở tạo bởi cùng một ancol với hai axit cacboxylic kế tiếp nhau trong dãy đồng đẳng, thu được 1,1 mol CO2 và 15,3 gam H2O. Mặt khác, toàn bộ lượng X trên phản ứng hết với 300 ml dung dịch NaOH 1M thu được dung dịch Y. Cô cạn dung dịch Y thu được m gam chất rắn khan. Khi cho X tác dụng với dung dịch AgNO3/NH3 dư thấy có kết tủa trắng xuất hiện. Giá trị của m là
A. 19,0.
B. 18,4.
C. 26,9.
D. 20,4.
\(n_{H_2O}\) = 15,3/18 = 0,85 mol
Bảo toàn khối lượng:
mO(X) = mX - mC - mH
nX = nO(X)/2 = 0,5/2 = 0,25 mol
Gọi công thức chung của 2 este trong X là CnH2n+2-2kO2
Ta thấy nX =
\(n_{CO_2}\) -
\(n_{H_2O}\) = 1,1 - 0,85 = 0,25 → k = 2
→ este X trong mạch C có 1 liên kết C=C.
→ Công thức phân tử 2 este là: C4H6O2 và C5H8O2
Khi cho X tác dụng với dung dịch AgNO3/NH3 dư thấy có kết tủa trắng xuất hiện


BTKL: m = mX + mNaOH -
\(m_{ancol(CH_2=CH-CH_2-OH)}\) = 22,9 + 0,3.40 - 0,25.58 = 20,4 gam
→ Đáp án D
Câu 135: Hỗn hợp E gồm este đơn chức X và este hai chức Y (X, Y đều no, mạch hở). Xà phòng hóa hoàn toàn 40,48 gam E cần vừa đủ 560 ml dung dịch NaOH 1M, thu được hai muối có tổng khối lượng a gam và hỗn hợp T gồm hai ancol có cùng số nguyên tử cacbon. Đốt cháy toàn bộ T, thu được 16,128 lít khí CO2 (đktc) và 19,44 gam H2O. Giá trị của a gần nhất với giá trị nào sau đây?
A. 43,0.
B. 37,0.
C. 40,5.
D. 13,5.
Giải T + O2 -to→ 0,72 mol CO2 + 1,08 mol H2O.
Tương quan nT =
\(\sum_{ }^{ }n_{H_2O}\) -
\(\sum_{ }^{ }n_{CO_2}\)→ số C = 0,72/0,36 = 2
→ 2 ancol no có cùng số C là 2 chỉ cố thể là C2H5OH và C2H4(OH)2
→ nX + nY = ∑nhỗn hợp ancol = 0,36 mol; lại có
→ giải hệ só mol có nX = 0,16 mol; nY = 0,2 mol.
Từ giả thiết đề cho có:
40,48 gam E + 0,56 mol NaOH → a gam muối + 0,15 mol C2H5OH + 0,2 mol C2H4(OH)2
→ bảo toàn khối lượng có a = 43,12 gam → Chọn đáp án A
Giải cụ thể và rõ hơn 2 chất X và Y ta biện luận giải pt nghiệm nguyên như sau:
40,48 gam hỗn hợp E gồm 0,16 mol X dạng CnH2nO2 và 0,2 mol Y dạng CmH2m-2O4
→ 0,16.(14n + 32) + 0,2.(14m + 62) = 40,48 → 4n + 5m = 41
Cặp nghiệm nguyên thỏa mãn là n = 4 và m = 5. ứng với X là CH3COOC2H5 và Y là HCOOCH2CH2OOCCH3.
→ Đáp án A
Câu 136: Hỗn hợp E chứa hai chất hữu cơ đều mạch hở và không chứa nhóm chức khác gồm este X (CnH2n–2O2) và este Y (CmH2m–4O4), trong đó số mol của X lớn hơn số mol của Y. Đốt cháy hết 16,64 gam E với oxi vừa đủ, thu được x mol CO2 và y mol H2O với x = y + 0,2. Mặt khác đun nóng 16,64 gam với dung dịch KOH vừa đủ, thu được hỗn hợp F chứa 2 ancol đồng đẳng kế tiếp và hỗn hợp hợp chứa 2 muối; trong đó có a gam muối A và b gam muối B. Dẫn toàn bộ F qua bình đựng Na dư, thấy khối lượng bình tăng 6,76 gam. Giá trị gần nhất của a: b là
A. 1,7.
B. 1,8.
C. 1,6.
D. 1,5.
X có dạng CnH2n-2O2 và Y có dạng CmH2m-4O4, lại cho 2 ancol đồng đẳng kế tiếp
→ 2 ancol no, đơn chức, mạch hở.
Ta có: x = y + 0,2 → x – y = 0,2 = nX + 2nY → n2 ancol = 0,2mol
Gọi ancol là ROH (0,2 mol) →
\(n_{H_2}\) = 0,1 → mbình tăng = mancol –
\(m_{H_2}\)
→ 6,76 = 0,2. (R + 17) – 0,2 → R = 17,8
→ 2 ancol CH3OH (z mol) và C2H5OH (t mol)
→ z + t = 0,2 và 32z + 46t – 0,2 = 6,76 → z = 0,16 và t = 0,04
Do nX > nY , ta xét 2 trường hợp sau:
TH1: X tạo bởi CH3OH và Y tạo bởi C2H5OH
Quy đổi hỗn hợp thành C4H6O2 (0,16 mol); C8H12O4(0,04 mol); CH2 (x mol)
Có mhỗn hợp = 16,64 → x < 0 (loại)
TH2: X tạo bởi CH3OH và Y tạo bởi cả 2 ancol.
Quy đổi hỗn hợp thành C4H6O2 (0,12 mol); C7H10O4(0,04 mol); CH2 (x mol)
(do chia mất CH3OH vào 2 ancol)
Có mhỗn hợp = 16,64 → x = 0
→ X là C2H3COOCH3 (0,12 mol) và Y là CH3OOC-C2H2-COOC2H5 (0,04 mol)
→ muối thu được là C2H3COONa (0,12 mol) và C2H2(COONa)2 (0,04 mol)
→
\(m_{C_2H_3COONa}\) = 11,28 và
\(m_{C_2H_2(COONa)_2}\) = 6,4
(nhận thấy các đáp án. a:b đều > 1)
→ a =
\(m_{C_2H_3COONa}\) = 11,28 và b =
\(m_{C_2H_2(COONa)_2}\) = 6,4
→ a : b = 11,28/6,4 = 1,7625
→ Đáp án A
Câu 137: Tiến hành phản ứng thuỷ phân hỗn hợp X gồm 2 este no, mạch hở, thuần chức bằng dung dịch NaOH vừa đủ trong bình cầu 3 cổ. Chưng cất dung dịch sau phản ứng, thu được dung dịch Y và hỗn hợp hơi Z gồm 2 ancol (đều có khối lượng phân tử < 100 đvC). Đốt cháy hoàn toàn hỗn hợp ancol Z, thu được 3,36 lít CO2 (đktc) và 4,32 gam H2O. Cô cạn dung dịch Y, thu được 10,66 gam muối B của một axit hữu cơ, đốt cháy hoàn toàn B với dòng khí oxi dư, thu được 6,89 gam muối Na2CO3. Thành phần % khối lượng của của este có phân tử khối lớn hơn trong X là
A. 60,78%.
B. 58,97% .
C. 47,25%.
D. 54,90%.
Bước 1. Tìm muối B:
Đốt B:
\(n_{Na_2CO_3}\) = 6,89/106 = 0,065 mol
Đốt Z:
\(n_{CO_2}\) = 3,36/22,4 = 0,15 mol;
\(n_{H_2O}\) = 4,32/18 = 0,24 mol
Bảo toàn Na: nNa/B = nNaOH =
\(2n_{Na_2CO_3}\) = 0,13 mol = nmuối
Vì X gồm 2 este no, mạch hở Z gồm các ancol no, hở
→ Gọi CT chung của Z là CnH2n+2Om
nancol = 0,24 – 0,15 = 0,09 mol
Phản ứng thuỷ phân
(RCOO)mR’ + mNaOH → mRCOONa + R’(OH)m
Vì ![]()
→ Hỗn hợp este X có ít nhất 1 este đơn chức hỗn hợp Z gồm 1 ancol đa chức, 1 ancol đơn chức
Axit tạo muối B là đơn chức, gọi B là RCOONa
→ nRCOONa = nNa/B = 0,13 mol ⇒ MRCOONa = 10,66/0,13 = 82
R = 15, R là CH3, muối B là CH3COONa
Bước 2. Tìm các chất trong hỗn hợp Z
Vì n = 1,67 CT của 1 ancol là CH3OH: a mol và ancol còn lại là CnH2n+2Om
ta có: a + nb = 0,15
và a + b = 0,09 → (n – 1).b = 0,06
a + mb = 0,13 → (m – 1).b = 0,04
Có thể thấy ngay là n = 4 và m = 3, những giá trị lớn hơn, làm cho Mancol > 100
Vậy 2 ancol là CH3OH và C4H7(OH)3, Gọi a và b là số mol của 2 ancol tương ứng
% khối lượng của: (CH3COO)3C4H7 ![]()
→ Đáp án C
Câu 138: X, Y là hai axit no, đơn chức, đồng đẳng liên tiếp, Z là ancol 2 chức, T là este thuần chức tạo bởi X, Y, Z. Đốt cháy 0,1 mol hỗn hợp E chứa X, Y, Z, T cần dùng 0,47 mol khí O2thu được lượng CO2 nhiều hơn H2O là 10,84 gam. Mặt khác 0,1 mol E tác dụng vừa đủ với 0,11 mol NaOH thu được dung dịch G và một ancol có tỉ khối so với H2 là 31. Cô cạn G rồi nung nóng với xút có mặt CaO thu được m gam hỗn hợp khí. Giá trị của m gần nhất với
A. 2,5. B. 3,5.
C. 4,5. D. 5,5.
dancol/H2 = Mancol = 62 → Ancol Z có CTCT HOCH2CH2OH(C2H6O2)
Ta có: 
Khi đốt cháy E có:
Áp dụng ĐLBTNT.O: nO(E) +
\(2n_{O_2}\) =
\(2n_{H_2O}\) → 4a + 2b + 2c + 0,47.2 = 0,41.2 + 0,4
→ 4a + 2b + 2c + 0,47.2 = 0,41.2 + 0,4 → 4a + 2b + 2c = 0,28 mol
Giả hệ PT: 
Áp dụng ĐLBTKL cho phản ứng cháy:
→ mE = 0,41.44 + 0,4.18 – 0,47.32 = 10,2
0,1 mol E + 0,11 mol NaOH 
Áp dụng ĐLBTKL cho phản ứng thủy phân: mE + mNaOH = mRCOONa + mancol + mnước
→ mRCOONa = 10,2 + 0,11.40 – 0,07.62 – 0,03.18 = 9,72 gam.
→ mRH = 9,72 – 0,11.(69 – 1) = 2,46 g
→ Đáp án A
Câu 139: Cho 1 mol triglixerit X tác dụng với dung dịch NaOH dư, thu được 1 mol glixerol, 1 mol natri panmitat, 1 mol natri oleat và 1 mol natri linoleat. Có các phát biểu sau:
(a) Phân tử X có 6 liên kết π.
(b) Có 6 đồng phân cấu tạo thỏa mãn tính chất X.
(c) X có nhiệt độ nóng chảy và nhiệt độ sôi thấp hơn tristearin.
(d) 1 mol X có thể cộng tối đa 3 mol H2 (Ni, to).
Số phát biểu đúng là
A. 4.
B. 1.
C. 2.
D. 3.
Natri panmitat: C15H31COONa; natri oleat: C17H33COONa; natri linoleat: C17H31COONa.
→ X được tạo bởi 3 axit C15H31COOH; C17H33COOH; C17H31COOH.
→ các mệnh đề đúng: a, c, d. (X có 4 đồng phân thỏa mãn).
→ Đáp án D
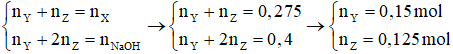
Câu 140: Hỗn hợp X gồm một axit cacboxylic Y và một este Z (Y, Z đều mạch hở không phân nhánh). Đun nóng 0,275 mol X cần dùng 200 ml dung dịch NaOH 2M thu được hỗn hợp 2 muối và hỗn hợp 2 ancol. Đun nóng toàn bộ 2 ancol này với H2SO4 đặc ở 140oC thu được 7,5 gam hỗn hợp 3 ete. Lấy hỗn hợp 2 muối trên nung với vôi tôi xút chỉ thu được một khí duy nhất, khí này làm mất màu vừa đủ dung dịch 44 gam Br2 thu được sản phẩm chứa 85,106% brom về khối lượng. Khối lượng của Z trong X là:
A. 18,96 gam.
B. 23,70 gam.
C. 10,80 gam.
D. 19,75 gam.
- Nhận thấy rằng, khi cho hỗn hợp X gồm axit Y và esteZ thu được hai ancol và hai muối nên Z là este hai chức được tạo từ axit hai chức và hai ancol, ta có hệ sau:
- Khi đun nóng toàn bộ lượng ancol thu được với H2SO4 đặc ở 140oC thì
\(n_{H_2O}\) = nancol/2 = 2nZ/2 = 0,125 mol → BTKL: mancol = meste +
\(18n_{H_2O}\) = 9,75(g)
→ Hỗn hợp ancol gồm CH3OH và C2H5OH.
- Xét quá trình hỗn hợp muối tác dụng với NaOH/ CaO (to), rồi cho hỗn khí tác dụng với Br2 ta được:
→ mkhí = mdẫn xuất halogen - mBr2 = 7,7(g)
- Giả sử khí thu được là anken thì: Mhidrocacbon = mkhi/
\(m_{Br_2}\) = 28(C2H4)
→ muối C2H3COONa và NaOOC-CH=CH-COONa
Vậy este Z là CH3OOC-CH=CH-COOC2H5 với mZ = 19,75g.
→ Đáp án D
Câu 141: Este X có công thức phân tử là C5H8O2. Đun nóng 10,0 gam X trong 200 ml dung dịch NaOH 0,3M. Sau khi phản ứng hoàn toàn, cô cạn dung dịch sau phản ứng thu được 5,64 gam chất rắn khan. Vậy tên gọi của X là:
A. vinyl propionat.
B. anlyl axetat.
C. etyl acrylat.
D. metyl metacrylat.
nX = 0,1 mol; nNaOH = 0,06 mol → X dư
→ nchất rắn = nNaOH (chất rắn chính là muối RCOONa)
→ MRCOONa = R + 67 = 94 → R = 27 (CH2=CH-)
→ X là CH2=CHCOOC2H5 (etyl acrylat)
→ Đáp án C
Câu 142: Thủy phân hoàn toàn chất béo X trong môi trường axit, thu được glixerol và hỗn hợp hai axit béo. Nếu đốt cháy hoàn toàn a mol X thì thu được 12,32 lít CO2 (đktc) và 8,82 gam H2O. Mặt khác, a mol X tác dụng tối đa với 40 ml dung dịch Br2 1M. Hai axit béo là
A. axit panmitic và axit linoleic.
B. axit stearit và axit linoleic.
C. axit stearit và axit oleic.
D. axit panmitic và axit oleic.
\(n_{CO_2}\) = 0,55 mol;
\(n_{H_2O}\) = 0,49 mol → πC-C + 3 = (0,55-0,49)/a + 1 (1)
nπC-C = a.πC-C =
\(n_{Br_2}\)= 0,04 mol (2)
(1) và (2) → a = 0,01 → πC-C = 4 và C = 0,55/0,01 = 55
→ Đáp án A
Câu 143: Đun nóng m gam hỗn hợp X gồm ba este đều no, mạch hở với lượng dư dung dịch AgNO3 trong NH3, thu được 17,28 gam Ag. Mặt khác, đun nóng m gam X với dung dịch NaOH vừa đủ, thu được hỗn hợp Y gồm hai ancol hơn kém nhau một nguyên tử cacbon và 22,54 gam hỗn hợp Z gồm hai muối của hai axit có mạch không phân nhánh. Đốt cháy hoàn toàn Y, thu được 11,44 gam CO2 và 9,0 gam H2O. Phần trăm khối lượng của este có khối lượng phân tử lớn nhất trong hỗn hợp X là
A. 76,7%.
B. 58,2%.
C. 51,7%.
D. 68,2%.
nAg = 0,16 mol → nHCOO = 0,08 mol
→ Vậy Y chứa CH3OH (a mol) và C2H6Ox (b mol với x = 1 hoặc x = 2).
Ta có: (1): a + b = 0,24; (2): a + 2b = 0,26 → a = 0,22; b = 0,02.
+) TH1: X là este no, đơn chức, X gồm este no tạo bởi HCOOH, RCOOH và hai ancol CH3OH và C2H6O
Muối gồm 22,54 gam: HCOONa (0,08) và RCOONa (0,16)
+) TH2: X gồm este no tạo bởi HCOOH, RCOOH và hai ancol CH3OH và C2H6O2.
Khi đó 22,54 gam: HCOONa (0,08) và RCOONa.
nRCOONa = 0,22 + 0,02.2 – 0,08 = 0,18 mol → MRCOONa = 95.
(loại - không tìm được công thức thỏa mãn).
+) TH3: X gồm este no tạo bởi HCOOH, R(COOH)2 và hai ancol CH3OH và C2H6O2
22,54 gam gồm: HCOONa (0,08) và R(COONa)2.
Vì X là các este no, hở nHCOONa = 0,08 >
\(n_{C_2H_6O_2}\)= 0,02
→ các este trong X gồm HCOOCH3: 0,04 mol, HOOC-CH2-CH2-OOCH: 0,02 mol và CH3OOC-R-COOCH3
\(n_{R(COONa)_2}\) = (0,22 + 0,02.2 – 0,04) : 2 = 0,09 →
\(M_{R(COONa)_2}\) = 190
→ (CH2)4(COONa)2.
→ X gồm: HCOOCH3 (0,04); HCOO-CH2-CH2-OOCH (0,02) và CH3OOC-(CH2)4-COOCH3(0,09).
→ Phần trăm khối lượng của este có khối lượng phân tử lớn nhất là
→ Đáp án A
Câu 144: Đốt cháy hoàn toàn m gam một chất béo X cần 1,106 mol O2, thu được 0,798 mol CO2 và 0,7 mol H2O. Cho m gam chất béo X tác dụng tối đa với a gam H2. Giá trị của a là
A. 0,224.
B. 0,140.
C. 0,364.
D. 0,084.
Gọi CTPT của chất béo X là CxHyO6
Áp dụng ĐLBT nguyên tố oxi ta có:
nO(X) +
\(n_{O(O_2)}\)=
\(n_{O(CO_2)}\) +
\(n_{O(H_2O)}\)→ 6nX +
\(2n_{O_2}\) =
\(2n_{CO_2}\) +
\(n_{H_2O}\)
Ta có:
→ Trong X: 8 liên kết π gồm 3 liên kết π ở nhóm chức COO + 5 liên kết π ở gốc hidrocacbon
→ X tác dụng với H2 theo tỉ lệ 1:5
→ Đáp án B
Câu 145: X là este đơn chức, không có phản ứng tráng bạc. Axit cacboxylic Y là đồng phân của X. Trong phân tử X và Y đều có vòng benzen. Cho 0,2 mol hỗn hợp X, Y tác dụng vừa đủ với 350 ml dung dịch NaOH 1M, thu được dung dịch Z chứa ba muối. Đốt cháy hoàn toàn muối trong Z, dẫn khí thoát ra vào dung dịch nước vôi trong dư, thu được 142,5 gam kết tủa. Khối lượng muối cacboxylat trong dung dịch Z là:
A. 20,2 gam
B. 18,1 gam
C. 27,8 gam
D. 27,1 gam
X và Y là đồng phân nên đặt số nguyên tử C của X và Y là n.
nNaOH = 0,35 mol →
\(n_{Na_2CO_3}\) = 0,175 mol
\(n_{CaCO_3}\) = 1,425 mol
BTNT C: 0,2n = 0,175 + 1,425 → n = 8.
Z chứa 3 muối nên X là este của phenol. Đặt số mol của X, Y lần lượt là x, y.
X không tham gia phản ứng tráng gương nên X là CH3COOC6H5
→ Y là C7H7COOH.
Muối cacboxylat gồm CH3COONa (0,15 mol) và C7H7COONa (0,05 mol).
→ mmuối
→ Đáp án A
Câu 146: Đốt cháy este 2 chức mạch hở X (được tạo từ axit cacboxylic no, đa chức, phân tử X không có quá 3 liên kết π) thu được tổng thể tích CO2 và H2O gấp 5/3 lần thể tích O2 cần dùng. Lấy 21,6 gam X tác dụng hoàn toàn với 400 ml dung dịch NaOH 1M, cô cạn dung dịch sau phản ứng thu được m gam chất rắn. Giá trị lớn nhất của m là
A. 28,0.
B. 26,2.
C. 24,8.
D. 24,1.
CTPT của este là CnH2n-2-2kO4
Ta có vì tổng số mol của CO2 và H2O gấp 5/3 số mol O2
Nên ![]()
Vì este có nhiều nhất là 3 liên kết đôi → k = 1, k = 0
Với k = 0 ta có n = 6,333 loại
k = 1 ta có n = 6(chọn)
Mà este 2 chức gồm axit no nên X có CTPT là CH3OOCCH2COOCH=CH2 thì có khối lượng muối lớn nhất
→ mmax = 0,15.148 + 0,1.40 = 26,2 gam
→ Đáp án B
Câu 147: Este có đặc điểm sau:
- Đốt cháy hoàn toàn tạo thành CO2 và H2O có số mol bằng nhau;
- Thủy phân X trong môi trường axit được Y (tham gia phản ứng tráng gương) và chất Z (có số nguyên tử cacbon bằng một nửa số nguyên tử cacbon trong X).
Phát biểu không đúng là:
A. Đun Z với dung dịch H2SO4 đặc ở 170oC thu được anken.
B. Chất X thuộc loại este no, đơn chức.
C. Chất Y tan vô hạn trong nước.
D. Đốt cháy hoàn toàn 1 mol X, X sinh ra sản phảm gồm 2 mol CO2 và 2 mol H2O
- Đốt cháy hoàn toàn tạo thành CO2 và H2O có số mol bằng nhau → X là este no đơn chức mạch hở.
- Thủy phân X trong môi trường axit được Y (tham gia phản ứng tráng gương) → Y là HCOOH. Chất Z có số nguyên tử cacbon bằng một nửa số nguyên tử cacbon trong X → Z là CH3OH → X là HCOOCH3.
A. Sai vì từ C2H5OH mới tạo ra anken
B. Chất X thuộc loại este no, đơn chức → Đúng
C. Chất Y tan vô hạn trong nước → Đúng: axit HCOOH tan vô hạn trong nước
D. Đốt cháy hoàn toàn 1mol X sinh ra sản phẩm gồm 2 mol CO2 và 2 mol H2O → Đúng: C2H4O2 → 2CO2 + 2H2O.
→ Đáp án A
Câu 148: Thủy phân hoàn toàn 7,612 gam hỗn hợp X gồm 2 este đơn chức và 2 este đa chức đều mạch hở cẩn 80 ml dung dịch NaOH a M. Sau phản ứng, thu được hỗn hợp Y gồm các muối của các axit cacboxylic và các ancol. Đốt cháy hoàn toàn Y thu được 4,4352 lít CO2 (đktc) và 3,168 gam H2O. Giá trị của a là:
A. 1,56.
B. 1,65.
C. 1,42.
D. 1,95.
Đốt Y cũng tương đương với đốt X và NaOH.
nNaOH = 0,08a mol →
\(n_{Na_2CO_3}\) = 0,04a mol, nO(X) = 0,16a mol
→ mX = 12.(0,198 + 0,04a) + (0,352 – 0,08a) + 16.0,16a = 7,612
→ a = 1,65g
→ Đáp án B
Câu 149: Đốt cháy hoàn toàn 8,6 gam 1 este G thu được hỗn hợp X. Cho X lội từ từ qua nước vôi trong dư thu được 40 gam kết tủa đồng thời khối lượng dung dịch giảm đi 17 gam. Mặt khác, lấy 8,6 gam G cho vào 250 ml KOH 1M đun nóng đến pư hoàn toàn thu được dung dịch Y. Cô cạn Y thu được 19,4 gam chất rắn khan. Tên của G là
A. metyl acrylat.
B. etyl axetat.
C. metyl metacrylat.
D. đimetyl oxalat.
mdung dịch giảm = mkết tủa -
\(m_{(CO_2+H_2O)}\) → 17 = 40 –
\(m_{(CO_2+H_2O)}\) →
\(m_{(CO_2+H_2O)}\) = 23 g
nkết tủa =
\(n_{CO_2}\) = 0,4 mol →
\(m_{CO_2}\) = 5,4 →
\(n_{H_2O}\) = 0,3 mol
Gọi CTCT là RCOOR’
Ta có RCOOR’ + O2 → CO2 + H2O
Bảo toàn oxi: 
→ Meste = 86 → CTPT: C4H6O2
Có nRCOOR’ = 0,1 mol → nRCOOK = 0,1 mol
mrắn = mKOH dư + mmuối
→ mmuối = 19,4 – (0,25 – 0,1).56 = 11 → Mmuối = 110
→ MRCOO = 110 - 39 = 71 R là CH2=CH-
→ X là CH2=CHCOOCH3 → X là Metyl acrylat
→ Đáp án A
Câu 150: Trieste X được tạo thành từ glixerol và các axit cacboxylic đơn chức. Trong phân tử X có số nguyên tử cacbon nhiều hơn số nguyên tử oxi là 1. Cho m gam X tác dụng hết với lượng dư dung dịch NaOH thì có 12 gam NaOH phản ứng. Đốt cháy hoàn toàn m gam X cần ít nhất bao nhiêu lít O2 (đktc)?
A. 17,92 lít.
B. 13,44 lít.
C. 8,96 lít.
D. 14,56 lít.
Số C (X) = Số O + 1 = 6 +1 = 7
→ X có CT: (CH3COO)(HCOO)2C2H5 hay C7H10O6
nX = nNaOH/3 = 0,1 mol
→ V0 = 0,65. 22,4 = 14,56 lít
→ Đáp án D
- 150 câu trắc nghiệm Este Lipit có lời giải chi tiết (Cơ bản - phần 1)
- 150 câu trắc nghiệm Este Lipit có lời giải chi tiết (Cơ bản - phần 2)
- 150 câu trắc nghiệm Este Lipit có lời giải chi tiết (Cơ bản - phần 3)
- 150 câu trắc nghiệm Este Lipit có lời giải chi tiết (Cơ bản - phần 4)
- 150 câu trắc nghiệm Este Lipit có lời giải chi tiết (Nâng cao - phần 1)
- 150 câu trắc nghiệm Este Lipit có lời giải chi tiết (Nâng cao - phần 2)
- 150 câu trắc nghiệm Este Lipit có lời giải chi tiết (Nâng cao - phần 3)
Trên đây VnDoc đã giới thiệu tới các bạn 150 câu trắc nghiệm Este Lipit có lời giải chi tiết (Nâng cao - phần 4). Để có kết quả cao hơn trong học tập, VnDoc xin giới thiệu tới các bạn học sinh tài liệu Giải bài tập Toán lớp 12, Giải bài tập Hóa học lớp 12, Giải bài tập Vật Lí 12, Tài liệu học tập lớp 12 mà VnDoc tổng hợp và đăng tải.