Xác định tên kim loại và oxit kim loại
Để phục vụ công việc học tập của các bạn học sinh lớp 12 tốt nhất. VnDoc xin giới thiệu tới các bạn Chuyên đề Hóa học 12 Xác định tên kim loại và oxit kim loại. Nội dung tài liệu sẽ giúp các bạn học sinh giải bài tập Hóa học lớp 12 hiệu quả hơn. Với phương pháp và ví dụ xác định tên kim loại và oxit kim loại, dạng bài tập xác định tên kim loại và oxit kim loại chắc chắn sẽ giúp các bạn học tập tốt môn Hóa học 12 một cách đơn giản nhất. Mời các bạn học sinh lớp 12 tham khảo. Chúc các bạn luôn đạt kết quả cao trong học tập.
Hóa học 12: Xác định tên kim loại và oxit kim loại
1. Phương pháp và ví dụ xác định tên kim loại và oxit kim loại
Lý thuyết và Phương pháp giải
Tính trực tiếp khối lượng mol của kim loại. Nếu đề bài không cho hóa trị của kim loại thì ta thiết lập một phương trình thể hiện mối quan hệ giữa hóa trị và M rồi biện luận.
Lưu ý: Thường sử dụng các phương pháp như: Định luật bảo toàn khối lượng, định luật bảo toàn electron ... để tìm kim loại.
Ví dụ minh họa
Bài 1: Ngâm một kim loại có khối lượng 50 gam trong dung dịch HCl, sau một thời gian thu được 4,368 lit khí H2 (đktc) và khối lượng kim loại giảm 3,51 gam. Kim loại đã dùng là:
A. Mg
B. Al
C. Cu
D. Zn
Hướng dẫn:
Phản ứng:
Bảng biện luận:
| n | 1 | 2 | 3 |
| M | 9 | 18 | 27 |
Vậy kim loại M là nhôm (Al)
Bài 2: Cho 19,2 gam một kim loại M tác dụng với dung dịch HNO3 loãng, dư thu được 4,48 lít khí duy nhất NO (đktc). Kim loại M là kim loại nào sau đây:
A. Mg
B. Cu
C. Fe
D. Zn
Hướng dẫn:
Số mol NO là nNO = 4,48/22,4 = 0,2 mol

M = 19,2/(0,6/n) = 32n → n = 2; M = 64 → M: Cu
Bài 3: Dẫn luồng khí CO dư qua ống đựng 0,03 mol oxit sắt, khí sau phản ứng cho vào dung dịch Ca(OH)2 dư thu được 12 g kết tủa. Vậy công thức của oxit sắt là:
A. Fe3O4
B. FeO
C. Fe2O3
D. Fe3O4 hoặc FeO
Hướng dẫn:
Ta có: nCaCO3 = 12/100 = 0,12 mol
Xét sơ đồ sau:

Ta có: 0,03y = 0,12 → y = 4
2. Bài tập trắc nghiệm xác định tên kim loại và oxit kim loại
Bài 1: Khi hòa tan hiđroxit kim loại M(OH)2 bằng một lượng vừa đủ dung dịch H2SO4 20% thu được dung dịch muối trung hòa có nồng độ 27,21%. Kim loại M là:
A. Fe
B. Zn
C. Cu
D. Mg
Đáp án: C
Giả sử đem 1 mol H2SO4 phản ứng, ta có:
mdung dich H2SO4 = (1 × 98)/20 × 100 = 490 (gam)
mdung dịch sau phản ứng = 490 + (M + 34) (gam)

Theo đề bài ta có: ((M + 96 ))/(490 + (M + 34)) = 0,2721 ⇒ M ≈ 64: đồng
Bài 2: Khử hoàn toàn m gam oxit MxOy cần vừa đủ 17,92 lít khí CO (đktc), thu được a gam kim loại M. Hòa tan hết a gam M bằng dung dịch H2SO4 đặc nóng (dư), thu được 20,16 (lít) khí SO2 (sản phẩm khử duy nhất, ở đktc). Oxit MxOy là:
A. Cr2O3
B. FeO
C. Fe3O4
D. CrO
Đáp án: C
Ta có: nCO = 0,8 mol; nSO2 = 0,9 mol
Gọi n là hóa trị của kim loại M (1 ≤ n ≤ 3)
Trong phản ứng giữa M với H2SO4 đặc nóng, M là chất khử nhường electron. H2SO4 đặc là chất oxi hóa nhận electron:

Trong phản ứng khử oxit kim loại bởi CO ta luôn có:
nO (trong oxit) = nCO = 0,8 mol
⇒ Tỉ lệ: ![]()
Dựa vào các đáp án ta thấy n = 2 hoặc n = 3.
+ Nếu n = 2 ⇒ x/y = 9/8 (loại vì không có đáp án phù hợp)
+ Nếu n = 3 ⇒ x/y = 3/4
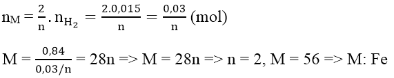
Bài 3: Ngâm một lá kim loại có khối lượng 50g trong dung dịch HCl. Sau khi thu được 336ml khí H2 (đktc) thì khối lượng lá kim loại giảm 1,68%. Kim loại đó là kim loại nào?
A. Zn
B. Fe
C. Al
D. Ni
Đáp án: B
Khối lượng kim loại phản ứng là

Số mol H2 là nH2 = 0,336/22,4 = 0,015 (mol)
M + nHCl → MCln + nH2
Số mol của M là

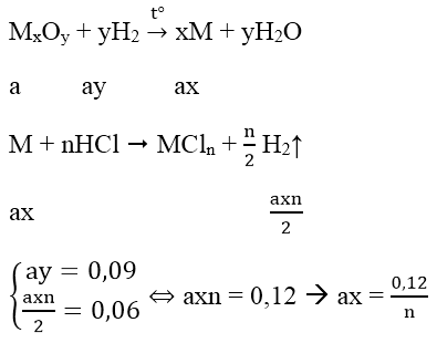
Bài 4: Khử 4,8 gam một oxit kim loại trong dãy điện hóa ở nhiệt độ cao, cần 2,016 lít H2. Kim loại thu được đem hòa tan trong dung dịch HCl, thu được 1,344 lít H2. Biết các khí đo ở đktc. Vậy oxit cần tìm là:
A. FeO
B. Fe2O3
C. CuO
D. Ag2O
Đáp án: B

Ta có: (Mx + 16y)a = 4,8 → Max + 16ay = 4,8 (1)
Thay ay = 0,09 và ax = 0,12/n vào (1)
Ta có: M = 28n → n = 2→ M = 56 : Fe
Thay n = 2 vào ta có: ax = 0,06

Bài 5: Khử hoàn toàn 0,1 mol oxit sắt bằng khí CO ở nhiệt độ cao, rồi dẫn sản phẩm tạo thành vào dung dịch nước vôi trong dư, thấy tạo thành 30 gam kết tủa. Xác định công thức của oxit sắt.
A. Fe2O3
B. FeO
C. Fe3O4
D. Cả A và B
Đáp án: A
Phản ứng:

nCO2 = nCO = 0,3 (mol) = nO trong oxit
Cứ 0,1 mol FexOy có 0,3 mol nguyên tử O ⇒ y = 3 ⇒ x = 2
Công thức của oxit là Fe2O3
Bài 6: Khi cho cùng một lượng kim loại M tác dụng với dung dịch HCl và H2SO4 đặc nóng thì khối lượng SO2 sinh ra gấp 48 lần H2 sinh ra. Mặt khác, khối lượng muối clorua bằng 31,75% khối lượng muối sunfat. Vậy M là:
A. Fe
B. Cu
C. Al
D. Mg
Đáp án: A

Ta có: khối lượng SO2 = m/2 .64 = 32m (g)
Khối lượng H2 = n/2 .2 = n (g)
Theo đề ra: 32m = 48n ⇒ m/n = 3/2
Vậy M có 2 hóa trị là 2 và 3.
Mặt khác:
![]()
Vậy M là Fe
Bài 7: Hòa tan hoàn toàn m (g) một oxit sắt bằng H2SO4 đặc nóng thu được a mol SO2 (duy nhất). Mặt khác, sau khi khử hoàn toàn m (g) oxit trên bằng H2 ở nhiệt độ cao rồi cho toàn bộ lượng sắt tạo thành vào H2SO4 đặc nóng dư thì thu được 9a mol SO2 (duy nhất). Vậy oxit sắt là:
A. FeO
B. Fe2O3
C. Fe3O4
D. FeO hoặc Fe2O3.
Đáp án: C

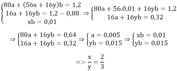
Bài 8: Dùng khí CO dư để khử 1,2g hỗn hợp gồm CuO và oxit sắt. Sau phản ứng thu được 0,88g chất rắn. Nếu hòa tan hỗn hợp chất rắn này trong dung dịch HCl dư thì thu được 0,224 lít H2(đkct). Công thức của oxit sắt là:
A. Fe3O4
B. FeO
C. Fe2O3
D. FeO hoặc Fe3O4
Đáp án: C
Gọi a, b là số mol CuO và FexOy, viết sơ đồ phản ứng ta có:

Mời các bạn tham khảo thêm các bài viết dưới đây của chúng tôi:
- Lý thuyết Sắt: Tính chất hóa học, Tính chất vật lí, Điều chế, Ứng dụng
- Lý thuyết: Hợp kim của sắt
- Lý thuyết Đồng và hợp chất của đồng: Tính chất hóa học, Tính chất vật lí, Điều chế, Ứng dụng
- Chuỗi phản ứng hóa học của sắt, crom
- Nhận biết, điều chế sắt và hợp chất của sắt
- Sắt tác dụng với axit HNO3 và H2SO4 đặc nóng
- Kim loại tác dụng với axit, muối
Trên đây VnDoc đã giới thiệu tới các bạn Xác định tên kim loại và oxit kim loại. Để có kết quả cao hơn trong học tập, VnDoc xin giới thiệu tới các bạn học sinh tài liệu Giải bài tập Toán lớp 12, Giải bài tập Hóa học lớp 12, Giải bài tập Vật Lí 12, Tài liệu học tập lớp 12 mà VnDoc tổng hợp và đăng tải.