Đường mía đường phèn có thành phần chính là đường nào?
Đường mía đường phèn có thành phần chính là đường nào? được VnDoc sưu tầm và tổng hợp lí thuyết trong chương trình giảng dạy. Nội dung tài liệu sẽ giúp các bạn học sinh học tốt môn Hóa học lớp 10 hiệu quả hơn. Mời các bạn tham khảo.
Đường mía đường phèn có thành phần chính là đường nào dưới đây?
Câu hỏi: Đường mía đường phèn có thành phần chính là đường nào dưới đây?
- Glucozơ.
- Mantozơ.
- Saccarozơ.
- Fructozơ.
Lời giải:
Đáp án C. Saccarozơ
Saccarozo có trong nhiều loại thực vật và là thành phần chủ yếu của đường mía (từ cây mía), đường củ cải (từ củ cải đường), đường thốt nốt (từ cụm hoa thốt nốt)
Saccarozơ
- Công thức phân tử: C12H22O11
- Phân tử khối: 342
- Cấu tạo:

1. Trạng thái thiên nhiên
- Là loại đường phổ biến nhất, có trong nhiều loài động, thực vật
- Ví dụ: Có trong nhiều loài thực vật như: mía, củ cải đường, thốt nốt.
2. Tính chất vật lí
Saccarozơ là chất kết tinh, không màu, vị ngọt, dễ tan trong nước, nóng chảy ở 185oC
Saccarozơ có trong nhiều loại thực vật và là thành phần chủ yếu của đường mía (từ cây mía); đường củ cải (từ củ cải đường); đường thốt nốt (từ cụm hoa thốt nốt).
Ở nước ta, đường mía được sản xuất dưới nhiều dạng thương phẩm khác nhau: đường phèn là đường mía kết tinh ở nhiệt độ thường (khoảng 30oC) dưới dạng tinh thể lớn. Đường cát là đường mía kết tinh có lẫn tạp chất màu vàng. Đường phên là đường mía được ép thành phên, còn chứa nhiều tạp chất, có màu nâu sẫm. Đường kính chính là saccarozơ ở dạng tinh thể nhỏ.
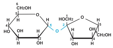
3. Cấu trúc phân tử
Xác định cấu trúc phân tử saccarozơ căn cứ vào các dữ kiện thí nghiệm sau:
- Dung dịch saccarozơ hòa tan Cu(OH)2 thành dung dịch màu xanh lam, chứng tỏ trong phân tử saccarozơ có nhiều nhóm -OH gần nhau.
- Dung dịch saccarozơ không có phản ứng tráng bạc, không bị oxi hóa bởi nước brom, chứng tỏ phân tử saccarozơ không có nhóm -CH=O
- Đun nóng dung dịch saccarozơ có mặt axit vô cơ làm xúc tác, ta đun saccarozơ và fructozơ
Các dữ kiện thực nghiệm khác cho phép xác định được trong phân tử saccarozơ gốc α-glucozơ và gốc β-fructozơ liên kết với nhau qua nguyên tử oxi. Liên kết này thuộc loại liên kết glicozit. Vậy cấu trúc phân tử saccarozơ được biểu diễn như sau:

4. Tính chất hóa học
Saccarozơ không có tính khử vì phân tử không còn nhóm OH hemiaxetal tự do nên không chuyển được thành dạng mạch hở chứa anđehit. Vì vậy, saccarozơ chỉ còn tính chất của ancol đa chức và có phản ứng thủy phân của đisaccarit.
Phản ứng với Cu(OH)2
Thí nghiệm: Cho vào một ống nghiệm vài giọt dung dịch CuSO4 5%, sau đó thêm tiếp 1ml dung dịch NaOH 10%. Gạn bỏ phần dung dịch, giữ lại kết tủa Cu(OH)2, thêm khoảng 2 ml dung dịch saccarozơ 1%, sau đó lắc nhẹ.
Hiện tượng: Kết tủa Cu(OH)2 tan trong dung dịch saccarozơ cho dung dịch màu xanh lam.
Giải thích: Là một poliol có nhiều nhóm OH kề nhau nên saccarozơ đã phản ứng với Cu(OH)2 sinh ra phức đồng-saccarozơ tan có màu xanh lam.
2C12H22O11+ Cu(OH)2→ (C12H21O11)2Cu + 2H2O
Phản ứng thủy phân
Dung dịch saccarozơ không có tính khử nhưng khi đun nóng với axit thì tạo thành dung dịch có tính khử là do nó bị thủy phân thành glucozơ và fructozơ:
C12H22O11 + H2O →H+,t0 C6H12O6 + C6H12O6
saccarozơ glucozơ fructozơ
Trong cơ thể người, phản ứng này xảy ra nhờ enzim.
5. Sự quan trọng của Saccarozo đối với sức khỏe con người
Saccarozo là đường gì, có vai trò quan trọng như thế nào đối với sức khỏe? Theo nghiên cứu đã được chứng minh, Saccarozo là một loại đường có ở trong thực vật rất quan trọng. Những nguồn sản xuất ra Saccarozo ở quy mô thương mại còn có cả lúa mì ngọt bên cạnh củ cải đường, mía và thốt nốt.
Saccarozo thường được sử dụng trong quá trình chế biến thực phẩm vì chúng có khả năng tạo chất ngọt và đồng thời cũng là chất dinh dưỡng. Saccarozo còn giúp cơ thể được cung cấp năng lượng cho các hoạt động mỗi ngày. Bất cứ khi nào thấy mệt mỏi, stress hoặc đói bụng thì những loại thực phẩm và đồ uống có chứa Saccarozo sẽ là sự lựa chọn tốt nhất ngay lúc này để giúp cơ thể được phục hồi nhanh chóng.
6. Vai trò của Saccarozo đối với cuộc sống
Đối với con người
Saccarozo có thể cung cấp năng lượng tương ứng với 3,94 kcal trên 1g cho cơ thể của con người. Loại đường này cũng được tiêu hóa khá nhanh và có thể kiểm soát được lượng thức ăn nạp vào, tránh tình trạng béo phì. Saccarozo còn được lưu giữ lại để làm nguồn năng lượng dự trữ và sử dụng khi cơ thể cần đường ngay lập tức.
Đối với công nghiệp thực phẩm
Đây là một loại nguyên liệu đặc biệt quan trọng trong ngành này. Saccarozo là một chất phụ gia tạo ngọt hoặc là nguyên liệu chính trong các loại bánh kẹo, …
Đối với lĩnh vực y tế
Saccarozo được sử dụng để làm thuốc điều trị, kiểu soát cũng như phòng chống và cải thiện đối với các căn bệnh hay hội chứng như bỏng rát lưỡi, ho, …
Đối với khoa học – công nghệ
Saccarozo được sử dụng trong công nghệ sản xuất isomaltulose cùng với các vi khuẩn enterobacter sp.Isb025.
Đường Saccarozo đối với sức khỏe cũng như đời sống hàng ngày của chúng ta ngày nay vô cùng quan trọng. Mỗi một lĩnh vực khác nhau, đường Saccarozo sẽ nắm giữ một vai trò và yếu tố nhất định.
Với những thông tin được chia sẻ ở trên, bạn có thể thấy rằng đường Saccarozo có thể giúp kiểm soát chất dinh dưỡng và đảm bảo nguồn năng lượng cho cơ thể. Bên cạnh đó, bạn cũng nhìn thấy được vai trò của đường Saccarozo đối với một số lĩnh vực nhất định trong đời sống. Hy vọng, những thắc mắc về Saccarozo là đường gì và đến từ đâu của bạn sẽ được giải đáp một cách hoàn hảo nhất.
----------------------------------------
Trên đây VnDoc đã giới thiệu tới các bạn nội dung bài Đường mía đường phèn có thành phần chính là đường nào? Để có kết quả học tập tốt và hiệu quả hơn, VnDoc xin giới thiệu tới các bạn học sinh tài liệu Giải bài tập Hóa học 10, Chuyên đề Vật Lý 10, Chuyên đề Hóa học 10, Giải bài tập Toán 10. Tài liệu học tập lớp 10 mà VnDoc tổng hợp biên soạn và đăng tải.