Giải Hóa học 10 Cánh diều bài 16
VnDoc xin giới thiệu bài Giải bài tập Hóa học lớp 10 bài 16: Tốc độ phản ứng hóa học sách Cánh diều hay, chi tiết sẽ giúp học sinh dễ dàng trả lời câu hỏi Hóa học 10.
Bài: Tốc độ phản ứng hóa học

Phương pháp giải:
Ở ống nghiệm (a) có hiện tượng sủi bọt khí nhiều hơn
Lời giải:
- Ở ống nghiệm (a) có hiện tượng sủi bọt khí nhiều hơn
=> Phản ứng ở ống nghiệm (a) xảy ra mãnh liệt hơn
=> Dây Mg ở ống nghiệm (a) sẽ bị tan hết trước
Mg + 2HCl → MgCl2 + H2↑
I. Khái niệm tốc độ phản ứng, tốc độ trung bình của phản ứng
Phương pháp giải:
Bong bóng khí H2 thoát ra nhanh hơn ở thí nghiệm với dung dịch HCl 2M so với thí nghiệm sử dụng dung dịch HCl 0,5M
=> HCl (trong dung dịch 2M ban đầu) bị mất đi do phản ứng với Mg nhanh hơn lượng HCl (trong dung dịch 0,5M ban đầu) mất đi do phản ứng với Mg
Lời giải:
- Trong cùng 1 khoảng thời gian, lượng H2 sinh ra ở ống nghiệm chứa dung dịch HCl 2M nhiều hơn lượng H2 sinh ra ở ống nghiệm chứa dung dịch 0,5M
=> Lượng MgCl2 sinh ra ở ống nghiệm chứa dung dịch HCl 2M nhiều hơn lượng MgCl2 sinh ra ở ống nghiệm chứa dung dịch HCl 0,5M
=> Nồng độ của MgCl2 ở dung dịch chứa HCl 2M tăng lên nhanh hơn (vì thể tích không đổi)
Phương pháp giải:
Bong bóng khí H2 thoát ra nhanh hơn ở thí nghiệm với dung dịch HCl 2M so với thí nghiệm sử dụng dung dịch HCl 0,5M
=> HCl (trong dung dịch 2M ban đầu) bị mất đi do phản ứng với Mg nhanh hơn lượng HCl (trong dung dịch 0,5M ban đầu) mất đi do phản ứng với Mg
Lời giải:
- Vì nồng độ dung dịch MgCl2 ở dung dịch chứa HCl 2M tăng lên nhanh hơn
=> Tốc độ của phản ứng (1) ở dung dịch HCl 2M nhanh hơn so với ở dung dịch HCl 0,5M

Phương pháp giải:
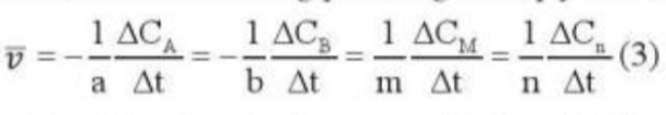
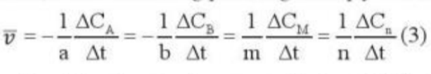
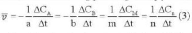
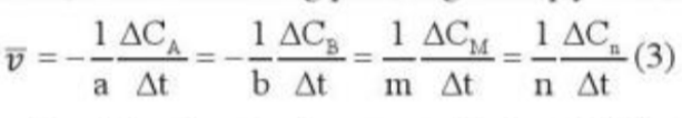
- A, B là chất tham gia
- ∆C = Csau - Ctrước
- ∆t = tsau - ttrước
- Sau khoảng thời gian phản ứng, nồng độ chất tham gia giảm
Lời giải:
- Xét biểu thức

- Sau thời gian phản ứng, nồng độ chất tham gia giảm
=> Csau < Ctrước
=> ∆C < 0
- Trong khi đó: ∆t = tsau - ttrước
=> ∆t > 0
=> Phải thêm dấu trừ trong biểu thức (3) đối với chất tham gia phản ứng để tốc độ phản ứng có giá trị dương
Phương pháp giải:
Áp dụng công thức:

Lời giải:


Phương pháp giải:
Áp dụng công thức:

Lời giải:
- Nồng độ biến thiên chất không đồng đều sau mỗi khoảng đơn vị thời gian
=> Ta không thể tính được nồng độ các chất sau 50 giây
=> Không tính được tốc độ trung bình của phản ứng sau 50 giây
Phương pháp giải:
- Khi có sự đốt cháy, tốc độ phản ứng tăng
- Phản ứng giữa các chất khí diễn ra nhanh hơn phản ứng diễn ra giữa chất rắn và chất khí
Lời giải:
- Phản ứng (1): diễn ra giữa chất rắn và chất khí, có sự đốt cháy
- Phản ứng (2): diễn ra giữa chất rắn và chất khí, không có đốt cháy
=> Phản ứng (1) diễn ra nhanh hơn phản ứng (2)
- Phản ứng (3): diễn ra giữa chất khí và chất khí, có sự đốt cháy
=> Phản ứng (3) diễn ra nhanh hơn phản ứng (1)
=> Tốc độ phản ứng theo chiều tăng dần: (2) < (1) < (3)
II. Định luật tác dụng khối lượng
Phương pháp giải:
Khi nồng độ chất tham gia càng cao => Tốc độ phản ứng diễn ra càng nhanh
Lời giải:
- Thực phẩm bị ôi thiu là do các phản ứng oxi hóa của oxygen
=> Người ta bơm N2 hoặc CO2 để giảm nồng độ của oxygen từ 21% xuống còn khoảng 2 -5%
=> Khi nồng độ oxygen giảm dẫn đến giảm tốc độ quá trình oxi hóa thực phẩm
=> Hạn chế sự ôi thiu

Phương pháp giải:
- Nồng độ chất A và B đều bằng 1M => CA = 1M, CB = 1M
Lời giải:
- Khi nồng độ chất A và B đều bằng 1M
=> v =k.1a.1b
=> v = k
=> Tốc độ phản ứng = hằng số tốc độ phản ứng (phụ thuộc vào nhiệt độ và bản chất các chất tham gia)
=> Vậy khi nồng độ chất A và B đều bằng 1M thì tốc độ phản ứng = hằng số tốc độ phản ứng
H2(g) + I2(g) → 2HI(g)
Phương pháp giải:
Theo định luật tác dụng khối lượng: v = kCH2.CI2
Lời giải:
Áp dụng định luật tác dụng khối lượng: v = kCH2.CI2
=> Ở một nhiệt độ không đổi, tốc độ phản ứng (6) tỉ lệ thuận với nồng độ của H2 cũng như nồng độ của I2
=> Nếu nồng độ của H2 tăng gấp đôi thì tốc độ phản ứng (6) tăng gấp đôi
III. Các yếu tố ảnh hưởng đến tốc độ phản ứng, hệ số nhiệt độ van't hoff
Phương pháp giải:
H2(g) + I2(g) → 2HI(g)
Theo định luật tác dụng khối lượng: v = kCH2.CI2
Lời giải:
Áp dụng định luật tác dụng khối lượng: v = kCH2.CI2
=> Ở một nhiệt độ không đổi, tốc độ phản ứng (6) tỉ lệ thuận với nồng độ của H2 cũng như nồng độ của I2
=> Nếu nồng độ của H2 và I2 tăng gấp đôi thì tốc độ phản ứng (6) tăng lên 4 lần
Vận dụng 3 trang 93 Hóa học 10: Hãy giải thích các hiện tượng dưới đây.
a) Khi ở nơi đông người trong một không gian kín, ta cảm thấy khó thở và phải thở nhanh hơn
b) Tàn đóm đỏ bùng lên khi cho vào bình oxygen nguyên chất
c) Bệnh nhân suy hô hấp cần thở oxygen thay vì không khí (chứa 21% thể tích oxygen)
Phương pháp giải:
a) Coi người và oxygen là chất tham gia phản ứng
=> Ở nơi đông người, nồng độ oxygen giảm đi nhiều để cung cấp cho con người => Lượng oxygen bị thiếu hụt
b)
- Oxygen cung cấp sự cháy
- Oxygen nguyên chất có nồng độ oxygen cao hơn trong không khí
c)
- Oxygen duy trì sự sống
- Khi bệnh nhân suy hô hấp => Tốc độ hô hấp giảm
Lời giải:
a) Ở nơi đông người, nồng độ oxygen giảm đi nhiều để cung cấp cho con người
=> Lượng oxygen bị hao hụt và loãng
=> Con người bị thiếu oxygen nên cảm thấy khó thở và phải thở nhanh hơn để lấy oxygen
b) Khi cho tàn đóm vào bình oxygen nguyên chất
=> Nồng độ oxygen tăng cao (vì oxygen nguyên chất có nồng độ cao hơn nhiều so với oxygen trong không khí)
=> Giúp cho phản ứng xảy ra nhanh và mạnh hơn
=> Tàn đóm đỏ bùng cháy
c)
- Khi con người bị suy hô hấp => Tốc độ hô hấp giảm => Không cung cấp đủ khí oxygen cho con người
- Áp dụng định luật tác dụng khối lượng => Cần phải tăng nồng độ của chất tham gia (khí oxygen) để tăng tốc độ hô hấp
=> Bệnh nhân cần phải thở oxygen (nồng độ 100%) thay vì không khí (nồng độ oxygen 21%)

Phương pháp giải:
Ở dạng bột, diện tích tiếp xúc tăng
Lời giải:
Để phản ứng xảy ra, cần phải có sự tiếp xúc giữa HCl và CaCO3. Ở dạng bột, các phân tử CaCO3 tiếp xúc nhiều với các phân tử HCl hơn là CaCO3 ở dạng hạt
=> Tốc độ phản ứng ở dạng bột sẽ nhanh hơn
Vận dụng 4 trang 94 Hóa học 10: Giải thích vì sao thanh củi chẻ nhỏ hơn thì sẽ cháy nhanh hơn
Phương pháp giải:
Khi chẻ nhỏ thanh củi làm tăng diện tích tiếp xúc giữa thanh củi và oxygen
Lời giải:
- Khi chẻ nhỏ thanh củi làm tăng diện tích tiếp xúc giữa thanh củi và oxygen
- Khí oxygen giúp duy trì sự cháy, làm sự cháy diễn ra mãnh liệt
=>Thanh củi chẻ nhỏ hơn thì sẽ cháy nhanh hơn
Giải hóa học 10 trang 95 Cánh diều
Phương pháp giải:
Đang cập nhật
Phương pháp giải:
Đang cập nhật
Phương pháp giải:

Lời giải:

Phương pháp giải:
Enzyme protease, lipase và amylase là các chất xúc tác đẩy nhanh quá trình tiêu hóa chất đạm, chất béo và tinh bột
Lời giải:
- Khi nhai kĩ, thức ăn được nghiền nhỏ giúp tăng diện tích tiếp xúc giữa thức ăn và enzyme amylase, lipase có trong nước bọt
- Mà enzyme protease, lipase và amylase là các chất xúc tác đẩy nhanh quá trình tiêu hóa chất đạm, chất béo và tinh bột
=> Giúp chúng ta dễ dàng tiêu hóa thức ăn
Bài tập (trang 98)
A. Không thay đổi
B. Giảm đi 4 lần
C. Ít nhất tăng 4 lần
D. Ít nhất giảm 16 lần
Phương pháp giải:

Lời giải:


Phương pháp giải:
Các yếu tố ảnh hưởng đến tốc độ phản ứng: nồng độ, áp suất, diện tích bề mặt, nhiệt độ, chất xúc tác
Lời giải:
- Hình thứ nhất mô tả: chất tham gia ở dạng khối lớn
- Hình thứ hai mô tả: chất tham gia được chia nhỏ ra
=> Tăng diện tích tiếp xúc bề mặt giữa các chất tham gia
=> Hình ảnh mô tả ảnh hưởng của diện tích bề mặt đến tốc độ phản ứng
Phương pháp giải:
Các yếu tố ảnh hưởng đến tốc độ phản ứng: nồng độ, áp suất, diện tích bề mặt, nhiệt độ, chất xúc tác
Lời giải:
- Các biện pháp khác nhau để làm tăng tốc độ điều chế khí H2 là:
+ Nồng độ: Tăng nồng độ của HCl
+ Áp suất: Không được vì chất tham gia không tồn tại ở dạng khí
+ Diện tích bề mặt: Cắt nhỏ miếng sắt
+ Nhiệt độ: Đun nóng dung dịch HCl
+ Chất xúc tác: Không có
Zn + H2SO4 → ZnSO4 + H2
Thể tích khí H2 sinh ra ở mỗi thí nghiệm theo thời gian được biểu diễn ở đồ thị bên

a) Giải thích vì sao đồ thị màu đỏ ban đầu cao hơn đồ thị màu xanh
b) Vì sao sau một thời gian, hai đường đồ thị lại chụm lại với nhau?
Phương pháp giải:
a) Nhiệt độ càng cao, tốc độ phản ứng diễn ra càng nhanh
b) Sau một thời gian, phản ứng diễn ra hoàn toàn, chất tham gia phản ứng hết
Lời giải:
a)
- Đường màu đỏ biểu diễn tốc độ phản ứng ở nhiệt độ cao hơn
- Đường màu xanh biểu diễn tốc độ phản ứng ở nhiệt độ thấp hơn
- Trong phản ứng hóa học, nhiệt độ càng cao, tốc độ phản ứng diễn ra càng nhanh
=> Đường màu đỏ ban đầu cao hơn đường màu xanh
b)
- Sau 1 thời gian, phản ứng diễn ra hoàn toàn, chất tham gia phản ứng hết
- Vì lượng chất tham gia là như nhau => Lượng chất sản phẩm tạo thành là bằng nhau
=> Sau một thời gian, hai đường đồ thị chụm lại với nhau (thể tích khí H2 là bằng nhau)
a) Tính tốc độ trung bình của phản ứng trong phút thứ nhất và từ phút thứ nhất tới hết phút thứ hai
b) Vì sao hai giá trị tốc độ tính được không bằng nhau
Phương pháp giải:

Lời giải:
a)

b)
- Ta nhận thấy, tốc độ phản ứng ở phút thứ nhất (v1) nhanh hơn tốc độ phản ứng ở phút thứ 2 (v2)
- Sau một khoảng thời gian bất kì, nồng độ chất tham gia giảm
Mà tốc độ phản ứng phụ thuộc vào nồng độ (nồng độ càng cao, tốc độ phản ứng càng nhanh)
=> Sau 1 khoảng thời gian phản ứng, tốc độ phản ứng giảm dần và không bằng nhau
>>>> Bài tiếp theo: Giải Hóa học 10 Cánh diều bài 17
Như vậy, VnDoc.com đã gửi tới các bạn Giải Hóa 10 bài 16: Tốc độ phản ứng hóa học. Ngoài ra, các em học sinh có thể tham khảo môn: Vật Lý 10 Cánh Diều và Toán 10 Cánh Diều Tập 1, Toán 10 Cánh Diều Tập 2, Sinh 10 Cánh Diều đầy đủ khác.