Giải Hóa học 10 Chân trời sáng tạo bài 18
Giải Hóa học 10 bài 18: Hydrogen halide và một số phản ứng của ion halide được VnDoc biên soạn hướng dẫn bạn đọc trả lời các nội dung câu hỏi bài tập sách giáo khoa Hoá 10 Chân trời sáng tạo.
Bài: Hydrogen halide và một số phản ứng của ion halide

Lời giải:
- Quá trình ăn mòn thủy tinh:
CaF2 + 2H2SO4 → CaSO4 + 2HF↑
+ Thủy tinh có thành phần chính là SiO2
SiO2 + 4HF → SiF4↑ + 2H2O
- Các ion halide có tính khử
1. Tính chất vật lí của hydrogen halide


Phương pháp giải:
- Dựa vào lực tương tác van der Waals
Lời giải:
Nhiệt độ sôi của các hydrogen halide tăng dần từ HCl đến HI. Nguyên nhân là do khối lượng phân tử tăng, làm tăng năng lượng cần thiết cho quá trình sôi; đồng thời, sự tăng kích thước và số electron trong phân tử, dẫn đến tương tác van der Waals giữa các phân tử tăng

Phương pháp giải:
HF có liên kết hydrogen liên phân tử
Lời giải:
Các phân tử hydrogen fluoride hình thành liên kết hydrogen liên phân tử, loại liên kết này bền hơn tương tác van der Waals, nên nhiệt độ sôi của hydrogen fluoride cao bất thường so với các hydrogen halide còn lại
Luyện tập 1 trang 115 Hóa học 10: Thông tin trong Bảng 18.1 cho biết độ tan của hydrogen fluoride trong nước ở 0oC là vô hạn. Giải thích nguyên nhân dẫn đến tính chất này.
Phương pháp giải:
- HX (X là halogen) đều có liên kết hydrogen liên phân tử với H2O
- Ở 0oC: HCl, HBr, HI đều là chất khí, chỉ có HF là chất lỏng
Lời giải:
Fluorine là nguyên tố có độ âm điện lớn nhất ⇒ Liên kết H-F phân cực mạnh nhất ⇒ Tạo liên kết hydrogen bền với các phân tử H2O ⇒ hydrogen fluoride (HF) tan vô hạn trong nước.2. Hydrohalic acid
- Tính acid là khả năng tách hydrogen
Lời giải:
- Đi từ HF đến HI: năng lượng liên kết giảm dần
=> Sự liên kết giữa H và X giảm dần
=> Độ dài liên kết tăng dần
=> Khả năng tách hydrogen tăng dần
=> Tính acid tăng dần
Luyện tập 2 trang 115 Hóa học 10: Hoàn thành phương trình hóa học của các phản ứng sau:(1) NaOH + HCl →
(2) Zn + HCl →
(3) CaO + HBr →
(4) K2CO3 + HI →
Lời giải:
(1) NaOH + HCl → NaCl + H2O
(2) Zn + 2HCl → ZnCl2 + H2↑
(3) CaO + 2HBr → CaBr2 + H2O
(4) K2CO3 + 2HI → 2KI + CO2 + H2O
Vận dụng trang 116 Hóa học 10: Em hãy đề xuất cách bảo quản hydrofluoric aicd trong phòng thí nghiệmPhương pháp giải:
HF có tính ăn mòn thủy tinh
Lời giải:
HF có tính acid yếu nhưng có tính ăn mòn thủy tinh:
SiO2 + 4HF → SiF4↑ + 2H2O
=> Trong phòng thí nghiệm người ta dùng bình bằng nhựa
3. Tính khử của các ion halide
Câu hỏi 4 trang 116 Hóa học 10: Nhận xét sự thay đổi số oxi hóa của nguyên tử các nguyên tố halogen trong phản ứng của muối halide với dung dịch H2SO4 đặcLời giải:
- Đối với Cl, chỉ xảy ra phản ứng trao đổi nên số oxi hóa giữ nguyên sau phản ứng.
- Số oxi hóa của nguyên tử các nguyên tố Br và I tăng từ -1 lên 0 trong phản ứng của muối halide với dung dịch H2SO4 đặc.
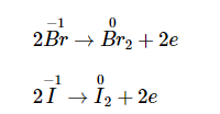
Câu hỏi 5 trang 116 Hóa học 10: Viết quá trình các ion halide bị oxi hóa thành đơn chất tương ứngLời giải:
Quá trình các ion halide bị oxi hóa thành đơn chất tương ứng:
Luyện tập trang 116 Hóa học 10: Phản ứng nào dưới đây chứng minh tính khử của các ion halide:
(1) BaCl2 + H2SO4 → BaSO4↓ + 2HCl
(2) 2NaCl →dpnc 2Na + Cl2↑
(3) 2HBr + H2SO4 → Br2 + SO2↑ + 2H2O
(4) HI + NaOH → NaI + H2O
Phương pháp giải:
Bước 1: Xác định số oxi hóa của các halogen
Bước 2: Xác định halogen nào có sự tăng số oxi hóa
=> Tính khử
Lời giải:
(1): Không có sự thay đổi số oxi hóa
(2): Cl từ -1 lên 0 => Thể hiện tính khử
(3): Br từ -1 lên 0 => Thể hiện tính khử
(4) Không có sự thay đổi số oxi hóa
=> Phản ứng (2) và (3) chứng minh tính khử của các ion halide
4. Nhận biết ion halide trong dung dịch
Câu hỏi 6 trang 117 Hóa học 10: Tiến hành thí nghiệm và quan sát hiện tượng. Dựa vào phương trình hóa học của các phản ứng, nêu cách nhận biết các ion halide trong dung dịchPhương pháp giải:
Sử dụng muối Ag+
Lời giải:
Hiện tượng và phương trình hóa học:
+ Dung dịch NaF: không có hiện tượng gì, không xảy ra phản ứng hóa học
+ Dung dịch NaCl: xuất hiện kết tủa trắng AgCl
AgNO3 + NaCl → AgCl↓ + NaNO3
+ Dung dịch NaBr: xuất hiện kết tủa vàng nhạt AgBr
AgNO3 + NaBr → AgBr↓ + NaNO3
+ Dung dịch NaI: xuất hiện kết tủa vàng AgI
AgNO3 + NaI → AgI↓ + NaNO3
Cách nhận biết dung dịch muối halide
- Cho dung dịch AgNO3 vào 4 ống nghiệm chứa 4 dung dịch muối halide (từ F đến I)
+ Ống không có hiện tượng gì thì đó là muối F-
+ Ống có kết tủa trắng thì đó là muối Cl-
+ Ống có kết tủa vàng nhạt thì đó là muối Br-
+ Ống có kết tủa vàng thì đó là muối I-
Phương pháp giải:
Sử dụng muối AgNO3
Lời giải:
- 2 dung dịch CaCl2 và NaNO3 cho vào 2 ống nghiệm:
+ Mỗi ống nghiệm cho khoảng 2 mL AgNO3. Ống nghiệm nào xuất hiện kết tủa trắng thì đó là dung dịch CaCl2, ống nghiệm nào không có hiện tượng gì thì đó là dung dịch NaNO3
CaCl2 + 2AgNO3 → 2AgCl↓ + Ca(NO3)2
5. Ứng dụng của các hydrogen halide
Câu hỏi 7 trang 118 Hóa học 10: Tìm những ứng dụng khác của hydrogen halide trong đời sống, sản xuấtLời giải:
- Hydrogen fluoride (HF)
+ Một lượng đáng kể hydrogen fluoride được dùng trong sản xuất cryolite (thành phần chính là Na3AlF6), đóng vai trò chất chảy trong quá trình sản xuất aluminium từ aluminium oxide.
+ Dung dịch nước của hydrogen fluoride là hydrofluoric acid có khả năng hòa tan silicon doixide nên được sử dụng để khắc các chi tiết lên thủy tinh theo phản ứng.
SiO2 + 4HF → SiF4↑ + 2H2O
+ Được sử dụng trong quá trình sản xuất teflon.
- Hydrogen chloride:
+ Trong sản xuất nước đóng chai, hydrochloric acid tinh khiết được sử dụng để tái sinh các nhựa trao đổi ion nhằm thay thế các ion Na+ và Ca2+ bằng ion H+.
Phương pháp giải:
HCl + NaHCO3 → NaCl + CO2 + H2O
Lời giải:
- Trong dạ dày có chứa dung dịch HCl. Người bị đau dạ dày là người có nồng độ dung dịch HCl cao làm dạ dày bị bào mòn. NaHCO3 dùng để chế thuốc đau dạ dày vì nó làm giảm hàm lượng dung dịch HCl có trong dạ dày nhờ phản ứng:
HCl + NaHCO3 → NaCl + CO2 + H2O
- Không nên dùng Na2CO3 vì dùng NaHCO3 trung hòa dịch vị 1 cách từ từ
Bài 1 trang 119 Hóa học 10: Viết phương trình hóa học của phản ứng xảy ra trong các trường hợp:a) Kim loại Mg phản ứng với dung dịch HBr
b) Dung dịch KOH phản ứng với dung dịch HCl
c) Muối CaCO3 phản ứng với dung dịch HCl
d) Dung dịch AgNO3 phản ứng với dung dịch CaI2
Lời giải:
a) Mg + 2HBr → MgBr2 + H2
b) KOH + HCl → KCl + H2O
c) CaCO3 + 2HCl → CaCl2 + CO2 + H2O
d) AgNO3 + CaI2 → AgI↓ + Ca(NO3)2
Bài 2 trang 119 Hóa học 10: Trong phòng thí nghiệm, một khí hydrogen halide (HX) được điều chế theo phản ứng sau:NaX(khan) + H2SO4(đặc) →to HX↑ + NaHSO4 (hoặc Na2SO4)
a) Cho biết HX là chất nào trong các chất sau: HCl, HBr, HI. Giải thích.
b) Có thể dụng dung dịch NaX và H2SO4 loãng để điều chế HX theo phản ứng trên được không. Giải thích
Phương pháp giải:

![]()

Lời giải:
a) Khi phản ứng với H2SO4 đặc, NaI và NaBr đều bị oxi hóa thành I2 và Br2. Chỉ có NaCl tác dụng với H2SO4(đặc) tạo ra HCl
=> X là Cl

b) Không thể dùng H2SO4 loãng vì HX đều là những acid mạnh
Bài 3 trang 119 Hóa học 10: “Natri clorid 0,9%” là nước muối sinh lí chứa sodium chloride (NaCl), nồng độ 0,9% tương đương các dịch trong cơ thể người như máu, nước mắt,… thường được sử dụng để súc miệng, sát khuẩn,… Em hãy trình bày cách pha chế 500 mL nước muối sinh líPhương pháp giải:

Lời giải:
Coi khối lượng muối cho vào rất ít, không ảnh hưởng đến thể tích dung dịch
=> Vnước = 500 mL
Mà dnước = 1 g/mL
=> mH2O = 500 gam
Ta có:

=> mNaCl = 4,54 gam
- Cách pha chế:
+ Cho khoảng 100 mL nước vào bình định mức 500 mL
+ Cân 4,54 gam NaCl và cho vào bình định mức
+ Lắc đều cho đến khi muối tan hết
+ Tiếp tục cho nước đến vạch định mức 500 mL
-------------------------
Như vậy, VnDoc đã gửi tới các bạn Giải Hóa học 10 bài 18: Hydrogen halide và một số phản ứng của ion halide. Ngoài ra, các em học sinh có thể tham khảo môn Ngữ văn 10 Kết nối tri thức tập 1, Vật Lý 10 Kết nối tri thức và Toán 10 Kết nối tri thức tập 1, Toán 10 Kết nối tri thức tập 2, Sinh 10 Kết nối tri thức đầy đủ khác.