Hãy chọn định nghĩa đúng về đồng vị
VnDoc xin giới thiệu bài Hãy chọn định nghĩa đúng về đồng vị được chúng tôi sưu tầm và tổng hợp lí thuyết trong chương trình giảng dạy. Nội dung tài liệu sẽ giúp các bạn học sinh học tốt môn Hóa học lớp 10 hiệu quả hơn. Mời các bạn tham khảo.
Đồng vị
Câu hỏi: Hãy chọn định nghĩa đúng về đồng vị?
- Đồng vị là những nguyên tử có cùng số proton nhưng khác nhau về số nơtron
- Đồng vị là những nguyên tố có cùng số nơtron
- Đồng vị là những chất có cùng số proton nhưng khác nhau về số nơtron
- Đồng vị là những nguyên tố có cùng số proton nhưng khác nhau về số nơtron
Trả lời:
Câu trả lời đúng là A
Tại sao lại như vậy? Bởi vì theo như lý thuyết của Hóa học lớp 10, cụ thể là bài 2 với nội dung chính về Hạt nhân nguyên tử. Nguyên tố hóa học. Đồng vị. Trong đó, ở phần kiến thức trọng tâm có ghi:
Đồng vị là những nguyên tử có cùng số proton nhưng khác số notron, do đó số khối của chúng khác nhau.
Ví dụ: Nguyên tố O có 3 đồng vị là
Nguyên tử khối trung bình
Công thức:

Trong đó A1, A2, A3,… là số khối của các đồng vị
- x, y, z,… là thành phần % của các đồng vị.
Dạng I: Tính % khối lượng của một đồng vị trong phân tử
1. Phương pháp giải
Hầu hết các nguyên tố có mặt trong tự nhiên là hỗn hợp các đồng vị bền
Áp dụng công thức:

- Trong đó A1, A2, A3,… là số khối của các đồng vị.
- x1,x2,x3,… là thành phần % của các đồng vị.
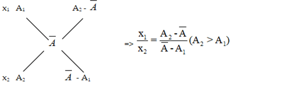
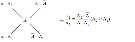
Sử dụng sơ đồ đường chéo:

2. Ví dụ minh họa
Ví dụ 1: Trong tự nhiên nguyên tố Brom có 2 đồng vị, trong đó đồng vị chiếm 54,5% về số lượng. Số khối của đồng vị còn lại là?
Hướng dẫn giải
Đặt A2 là số khối của đồng vị thứ hai.
Phần trăm số lương của nó là: 100 - 54,5 = 45,5
Ta có:

Bài tập vận dụng:
Câu 1. Trong tự nhiên, X có hai đồng vị 35X và 37X chiếm lần lượt 75,77% và 24,23% số nguyên tử X. Y có hai đông vị là 11Y và 12Y , chiếm lần lượt 99,2% và 0,8% số nguyên tử Y.
a) Trong tự nhiên có bao nhiêu loại phân tử XY?
b) Phân tử khối trung bình của XY là
Hướng dẫn giải
X có hai đồng vị 35X và 37X

Đây là Cl
Y có hai đồng vị 1Y và 2Y

=> Đây là H
1 nguyên tử H gắn với 1 nguyên tử Cl
+ Số cách chọn nguyên tử Cl ứng với 2 cách chọn tương đương 2 đồng vị
+ Số cách chọn nguyên tử H: 2 cách chọn tương đương 2 đồng vị
=> có 2.2 = 4 cách chọn
Đáp số: 4, 36,5
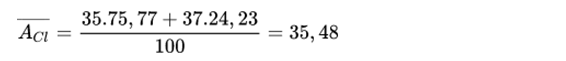
Câu 2. Nguyên tố clo có hai đồng vị bền 35Cl chiếm 75,77% và 37Cl chiếm 24,23%. Tính nguyên tử khối trung của clo?
Hướng dẫn giải
Áp dụng công thức tính nguyên tử khối trung bình:

Trong đó đồng vị A có x% số nguyên tử, đồng vị B có y% số nguyên tử.
Vậy nguyên tử khối trung bình của nguyên tố clo bằng:

Đáp số: 35,5
Dạng II. Tính số nguyên tử của đồng vị trong một lượng chất
1. Ví dụ minh họa
Ví dụ 1: Khối lượng nguyên tử trung bình cả Bo (B) là 10,812u. Số nguyên tử khi có 94 nguyên tử là bao nhiêu?
Hướng dẫn giải

----------------------------------------
Trên đây VnDoc đã giới thiệu tới các bạn nội dung bài Hãy chọn định nghĩa đúng về đồng vị. Để có kết quả học tập tốt và hiệu quả hơn, VnDoc xin giới thiệu tới các bạn học sinh tài liệu Giải bài tập Hóa học 10, Chuyên đề Vật Lý 10, Chuyên đề Hóa học 10, Giải bài tập Toán 10. Tài liệu học tập lớp 10 mà VnDoc tổng hợp biên soạn và đăng tải.