Giải Hóa 10 Bài 12: Liên kết hydrogen và tương tác Van Der Waals Cánh diều
Giải Hóa 10 Cánh diều Bài 12: Liên kết hydrogen và tương tác Van Der Waals
Giải Hóa 10 Bài 12: Liên kết hydrogen và tương tác Van Der Waals Cánh diều được VnDoc biên soạn hướng dẫn bạn đọc trả lời các câu hỏi thảo luận, bài tập SGK Hóa 10 Cánh diều. Hy vọng thông qua tài liệu, bạn đọc nắm được các nội dung kiến thức bài học, củng cố kĩ năng giải bài tập học tốt môn Hóa học 10 hơn. Mời các bạn tham khảo chi tiết nội dung dưới đây.
>> Bài trước đó: Giải Hóa 10 Bài 11: Liên kết cộng hóa trị Cánh diều
A. Câu hỏi thảo luận
Câu 1 trang 65 Hóa 10 Cánh diều
Vì sao nguyên tử H của phân tử H2O không tạo được liên kết hydrogen với nguyên tử C của phân tử CH4?
Hướng dẫn trả lời câu hỏi
Vì nguyên tử C của phân tử CH4 không còn cặp electron riêng
Công thức Lewis của CH4:
B. Câu hỏi luyện tập
Luyện tập 1 trang 66 Hóa 10 Cánh diều
Viết các khả năng tạo thành liên kết hydrogen giữa một phân tử H2O và một phân tử NH3 .
Hướng dẫn trả lời câu hỏi
Các khả năng tạo thành liên kết hydrogen giữa một phân tử H2O và một phân tử NH3:
+ Nguyên tử H trong phân tử H2O tạo liên kết hydrogen với nguyên tử N trong phân tử NH3

+ Nguyên tử H trong phân tử NH 3 tạo liên kết hydrogen với nguyên tử O trong phân tử H2O.

Luyện tập 2 trang 66 Hóa 10 Cánh diều
Vẽ các liên kết hydrogen được hình thành giữa H2O với mỗi phân tử NH3 , C2H5OH.
Hướng dẫn trả lời câu hỏi
Liên kết hydrogen được hình thành giữa H2O và NH3

Liên kết hydrogen được hình thành giữa H2O và C2H5OH

C. Câu hỏi vận dụng
Vận dụng 1 trang 65 Hóa 10 Cánh diều
Vì sao HF có tính acid yếu hơn rất nhiều so với HCl? Biết rằng tính acid của một chất càng mạnh nếu phân tử đó càng dễ phân li thành ion H+.
Hướng dẫn trả lời câu hỏi
Độ âm điện của F lớn hơn Cl nên tương tác hút tĩnh điện giữa Hδ+ và Fδ- lớn hơn tương tác hút tĩnh điện giữa Hδ+ và Clδ-
⇒ Hδ+ trong phân tử HCl dễ phân li ra ion H+ hơn
⇒ Tính acid của HCl mạnh hơn tính acid của HF
Vận dụng 2 trang 66 Hóa 10 Cánh diều
Hãy giải thích vì sao trong quá trình chưng cất rượu, C2H5OH bay trước H2O mặc dù khối lượng phân tử C2H5OH lớn hơn rất nhiều khối lượng phân tử H2O.
Hướng dẫn trả lời câu hỏi
Liên kết hydrogen giữa các phân tử nước với nhau bền vững hơn rất nhiều liên kết hydrogen giữa các phân tử rượu với nhau dẫn đến nhiệt độ sôi của nước (100oC) lớn hơn nhiệt độ sôi của rượu (78,3oC) mặc dù khối lượng phân tử C2H5OH lớn hơn rất nhiều khối lượng phân tử H2O. Vì thế trong quá trình chưng cất rượu, C2H5OH bay trước H2O.
Vận dụng 3 trang 66 Hóa 10 Cánh diều
Giải thích vì sao con tắc kè có thể di chuyển trên mặt kính trơn nhẵn, thẳng đứng.
Hướng dẫn trả lời câu hỏi
Con tắc kè có thể di chuyển trên mặt kính trơn nhẵn, thẳng đứng vì có sự bám hút (tương tác van der Waals) giữa bàn chân con tắc kè và mặt kính.
Vận dụng 4 trang 68 Hóa 10 Cánh diều
Sưu tầm hình ảnh tinh thể nước đá, bông tuyết
Hướng dẫn trả lời câu hỏi
![]() |
![]() |
![]() |
![]() |
![]() |
Vận dụng 4 trang 68 Hóa 10 Cánh diều
Thu thập thông tin liên quan đến các hiện tượng có xuất hiện của liên kết hydrogen, tương tác van der Waals trong thực tiễn.
Hướng dẫn trả lời câu hỏi
- Người ta đã dựa trên tương tác van der Waals tương tự như bàn chân con tắc kè để sản xuất ra các loại băng dính, băng keo có khả năng kết dính và bám chặt.
- Liên kết hydrogen giữa các phân tử nước trên bề mặt nước và giữa các phân tử nước trên bề mặt và lớp nước bên dưới tạo ra sức căng bề mặt cho nước. Chân của con nhện nước gồm các chất kị nước, phân tử các chất này đẩy nước khiến cho chân của nhện nước không bị nước bao bọc và tụt xuống dưới nước. Vì vậy chúng có thể di chuyển trên bề mặt nước mà không làm vỡ bề mặt nước.
- Bong bóng xà phòng thể hiện tương tác giữa các phân tử nước và các phân tử xà phòng tạo thành màng mỏng, giữ được không khí bên trong bay lên.
D. Bài tập trang 66 Hóa 10 Cánh diều
Bài 1 trang 69 Hóa 10 Cánh diều
Liên kết hydrogen xuất hiện giữa những phân tử cùng loại nào sau đây?
A. CH4
B. NH3
C. H3C-O-CH3
D. PH3
Hướng dẫn trả lời câu hỏi
Đáp án B
Bài 2 trang 69 Hóa 10 Cánh diều
Nhiệt nóng chảy và nhiệt độ sôi của hai chất HBr và HF như sau:
| Chất | Nhiệt độ nóng chảy (oC) | Nhiệt độ sôi (oC) |
| ? | –86,9 | –66,8 |
| ? | – 83,6 | 19,5 |
Hướng dẫn trả lời câu hỏi
| Chất | Nhiệt độ nóng chảy (oC) | Nhiệt độ sôi (oC) |
| HBr | –86,9 | –66,8 |
| HF | – 83,6 | 19,5 |
Độ âm điện của F lớn hơn Br nên tương tác hút tĩnh điện giữa Hδ+ và Fδ- lớn hơn tương tác hút tĩnh điện giữa Hδ+ và Brδ-.
⇒ Các phân tử HF liên kết chặt chẽ với nhau bởi các liên kết hydrogen hơn so với các phân tử HBr.
⇒ Nhiệt độ nóng chảy và nhiệt độ sôi của HF lớn hơn so với HBr.
Bài 3 trang 69 Hóa 10 Cánh diều
Chọn phương án đúng
1. Những phát biểu nào sau đây là đúng khi nói về các loại liên kết?
a) Liên kết hydrogen yếu hơn liên kết ion và liên kết cộng hóa trị.
b) Liên kết hydrogen mạnh hơn liên kết ion và liên kết cộng hóa trị.
c) Tương tác van der Waals yếu hơn liên kết hydrogen.
d) Tương tác van der Waals mạnh hơn liên kết hydrogen.
Hướng dẫn trả lời câu hỏi
Những phát biểu đúng là:
a) Liên kết hydrogen yếu hơn liên kết ion và liên kết cộng hóa trị.
c) Tương tác van der Waals yếu hơn liên kết hydrogen.
Bài 4 trang 69 Hóa 10 Cánh diều
Các liên kết biểu diễn bằng các đường nét đứt được minh họa như hình dưới đây có vai trò quan trọng trong việc làm bền chuỗi xoắn đôi DNA. Đó là loại liên kết gì?
A. Liên kết ion
B. Liên kết cộng hóa trị có cực
C. Liên kết cộng hóa trị không cực
D. Liên kết hydrogen
Hướng dẫn trả lời câu hỏi
Liên kết biểu diễn bằng các đường nét đứt là liên kết hydrogen.
Bài 4 trang 69 Hóa 10 Cánh diều
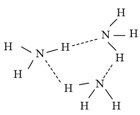
Một kết quả nghiên cứu mới đây cho thấy các phân tử NH 3 có thể liên kết với nhau thành những cụm (NH 3 ) n với n = 3 – 6. (Theo ACS Omega 2020, 5, 49, 31724-31729).
Vì sao các phân tử NH 3 có thể hình thành được cụm phân tử này?
Hướng dẫn trả lời câu hỏi
Trong phân tử NH3 có nguyên tử H liên kết với nguyên tử N (có độ âm điện mạnh) còn cặp electron riêng.

Do đó các phân tử NH3 có thể liên kết với nhau bằng liên kết hydrogen tạo thành những cụm phân tử.
Cụm phân tử (NH3)3

Cụm phân tử (NH3)4

>> Bài tiếp theo: Giải Hóa 10 Bài 13: Phản ứng oxi hóa – khử Cánh diều
-----------------------------------------
Như vậy, VnDoc.com đã gửi tới các bạn Giải Hóa 10 Bài 12: Liên kết hydrogen và tương tác Van Der Waals Cánh diều. Ngoài ra, các em học sinh có thể tham khảo môn: Vật Lý 10 Cánh Diều và Toán 10 Cánh Diều Tập 1, Toán 10 Cánh Diều Tập 2, Sinh 10 Cánh Diều đầy đủ khác.
Hãy tham gia ngay chuyên mục Hỏi đáp các lớp của VnDoc. Đây là nơi kết nối học tập giữa các bạn học sinh với nhau, giúp nhau cùng tiến bộ trong học tập. Các bạn học sinh có thể đặt câu hỏi tại đây:
- Truy cập ngay: Hỏi - Đáp học tập
Hỏi đáp, thảo luận và giao lưu về Toán, Văn, Hóa, Lý, Sinh, Tiếng Anh,... từ Tiểu Học đến Trung học phổ thông nhanh nhất, chính xác nhất.




