Toán 9 Kết nối tri thức: Giải phương trình, hệ phương trình và vẽ đồ thị hàm số với phần mềm GeoGebra
Giải phương trình, hệ phương trình và vẽ đồ thị hàm số với phần mềm GeoGebra sẽ giúp học sinh và giáo viên khai thác hiệu quả công cụ GeoGebra trong việc học và dạy Toán. Thông qua hướng dẫn chi tiết, bạn sẽ biết cách nhập phương trình, giải hệ phương trình và vẽ đồ thị hàm số một cách trực quan, chính xác và sinh động.
Mục lục bài viết
Thực hành 1 trang 114
Giải các phương trình sau:
a) x – 4x + 10 = 0;
b) x+
\(\frac{9}{x−1}\)=7;
c) x2−2(
\(\sqrt{3}\)−1)x−2
\(\sqrt{3}\)=0;
d)
\(\frac{x+1}{x-1}+\frac{x-1}{x+1}=\frac{4}{x^2-1}\)..
Lời giải:
Bước 1. Khởi động phần mềm Geogebrra , chọn Complex Adaptive System (CAS).
Bước 2. Ta dùng lệnh Solve (<phương trình>) hoặc Solitions (<phương trình>) trên ô lệnh của cửa sổ CAS để giải phương trình.
a) x2 – 4x + 10 = 0
Ta nhập Solve (x^2 – 4x + 10 = 0), ta thu được kết quả như hình vẽ.

Vậy phương trình đã cho vô nghiệm.
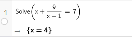
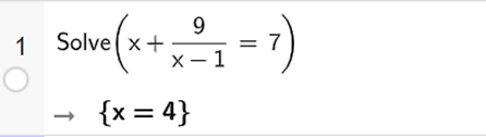
b) x+
\(\frac{9}{x-1}\)=7
Ta nhập Solve (x + 9/(x – 1) = 7), ta thu được kết quả như hình vẽ.

Vậy phương trình đã cho có nghiệm x = 4.
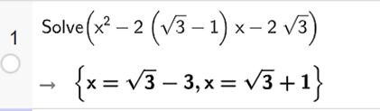
c) x2−2(
\(\sqrt{3}\)−1)x−2
\(\sqrt{3}\)=0
Ta nhập Solve (x^2 – 2(sqrt(3) – 1) – 2sqrt(3) = 0), ta thu được kết quả như hình vẽ.

Vậy phương trình đã cho có hai nghiệm x =
\(\sqrt{3}\) - 3 và x =
\(\sqrt{3}\) + 1.
d)
\(\frac{x+1}{x-1}+\frac{x-1}{x+1}=\frac{4}{x^2-1}\)
Ta nhập Solve ((x + 1)/(x – 1) + (x – 1)/(x + 1) = 4/(x^2 – 1)), ta thu được kết quả như hình vẽ.

Vậy phương trình đã cho vô nghiệm.
Thực hành 2 trang 114
Giải các hệ phương trình sau:
a,
\(\left\{ \begin{array}{3}x -2 y = 4\\2x+y = 5\end{array} \right.\)
b)
\(\left\{ {\begin{array}{*{20}{c}} x+y = 5 \\ 3x + \sqrt[3]{3}y =6 \end{array}} \right.\)
c)
\(\left\{ {\begin{array}{*{20}{c}} 3x+2y = 0 \\ 2x - 3y=0 \end{array}} \right.\)
d)
\(\left\{ {\begin{array}{*{20}{c}} x\sqrt{5} -(1+\sqrt{3} )y = 1 \\ (1-\sqrt{3} )x + y\sqrt{5} =1 \end{array}} \right.\)
Lời giải:
Bước 1. Khởi động phần mềm Geogebrra , chọn Complex Adaptive System (CAS).
Bước 2.
Cách 1: Ta dùng lệnh Solve ({<phương trình thứ nhất>, <phương trình thứ hai>}), {<biến số thứ nhất>, <biến số thứ hai>}), hoặc Solitions ({<phương trình thứ nhất>, <phương trình thứ hai>}), {<biến số thứ nhất>, <biến số thứ hai>}) trên ô lệnh của cửa sổ CAS để giải hệ phương trình.
Cách 2: Sử dụng câu lệnh Intersect ({<phương trình thứ nhất>, (<phương trình thứ hai>}) trên ô lệnh của cửa sổ CAS để tìm tọa độ giao điểm của hai đường thẳng có phương trình tương ứng.
a)
\(\left\{ \begin{array}{3}x -2 y = 4\\2x+y = 5\end{array} \right.\)
Ta nhập Solve ({3x – 2y = 4, 2x + y = 5}, {x, y}), ta thu được kết quả như hình vẽ.

Vậy hệ phương trình đã cho có nghiệm là x = 2; y = 1.
b)
\(\left\{ {\begin{array}{*{20}{c}} x+y = 5 \\ 3x + \sqrt[3]{3}y =6 \end{array}} \right.\)
Ta nhập Solve ({x + y = 5, 3x + cbrt(3)y = 6}, {x, y}), ta thu được kết quả như hình vẽ.

Vậy hệ phương trình đã cho có nghiệm là
\(x=\frac{-3^{\sqrt[3]{3^2\ }-9\sqrt[3]{3}}+13}{8};y=\frac{3\sqrt[3]{3^2}+9\sqrt[3]{3}+27}{8}\)
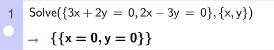
c)
\(\left\{ {\begin{array}{*{20}{c}} 3x+2y = 0 \\ 2x - 3y=0 \end{array}} \right.\)
Ta nhập Solve ({3x + 2y = 0, 2x – 3y = 0}, {x, y}), ta thu được kết quả như hình vẽ.

Vậy hệ phương trình đã cho có nghiệm là x = 0; y = 0.
d)
\(\left\{ {\begin{array}{*{20}{c}} x\sqrt{5} -(1+\sqrt{3} )y = 1 \\ (1-\sqrt{3} )x + y\sqrt{5} =1 \end{array}} \right.\)
Ta nhập Solve ({x sqrt(5) – (1 + sqrt(3))y = 1, (1 – sqrt(3))x – y sqrt(5) = 1}, {x, y}), ta thu được kết quả như hình vẽ.

Vậy hệ phương trình đã cho có nghiệm là
\(x=\frac{\sqrt{3}+\sqrt{5}+1}{3};y=\frac{\sqrt{3}+\sqrt{5}−1}{3}\)
Thực hành 3 trang 114
Cho đường thẳng (d): y = 2x +
\(\sqrt{3}\) và parabol (P): y = x2.
a) Vẽ đường thẳng (d) và parabol (P) trên cùng một mặt phẳng tọa độ.
b) Tìm tọa độ giao điểm của (d) và (P).
Lời giải:
Khởi động GeoGebra và đồng thời chọn hai chế độ Graphic 2 và CAS để vẽ đồ thị của đường thẳng (d): y = 2x +
\(\sqrt{3}\) và parabol (P): y = x2.
a) Nhập công thức hàm số y = x2 và y = 2x +
\(\sqrt{3}\) vào từng ô lệnh trong cửa sổ CAS.
Nháy chuột chọn nút
ở đầu mỗi ô lệnh để vẽ đồ thị hàm số trong cửa sổ Graphic 2.

Ta vẽ đường thẳng (d) và parabol (P) trên cùng một mặt phẳng tọa độ như sau:

b) Sử dụng câu lệnh Intersect ({<phương trình thứ nhất>, (<phương trình thứ hai>}) trên ô lệnh của cửa sổ CAS để tìm tọa độ giao điểm của hai đường thẳng có phương trình tương ứng.
Ta nhập Intersect ({y = x2, y = 2x +
\(\sqrt{3}\)), ta thu được kết quả như hình vẽ.
Vậy hai hàm số đã cho giao nhau tại hai điểm là
\((\sqrt{\sqrt{3}}+1+1;\sqrt{3}+2\sqrt{\sqrt{3}}+1+2)\),
\((−\sqrt{\sqrt{3}}+1+1;\sqrt{3}−2\sqrt{\sqrt{3}}+1+2).\)