Đáp án đề thi tuyển sinh lớp 10 môn Toán Ninh Bình năm 2025
Đề thi tuyển sinh lớp 10 môn toán Ninh Bình
Lớp:
Ôn vào 10
Môn:
Ngữ Văn
Dạng tài liệu:
Đề thi
Loại:
Tài liệu Lẻ
Phân loại:
Tài liệu Tính phí
Đề thi tuyển sinh lớp 10 môn Toán Ninh Bình
Sáng 3/6, các thí sinh tỉnh Ninh Bình tiếp tục làm bài thi môn Toán kỳ thi tuyển sinh vào lớp 10 năm 2025. VnDoc gửi tới các bạn Đề thi tuyển sinh lớp 10 môn Toán tỉnh Ninh Bình năm 2025 kèm đáp án tham khảo sau khi hết thời gian làm bài. Mời các bạn tham khảo chi tiết.
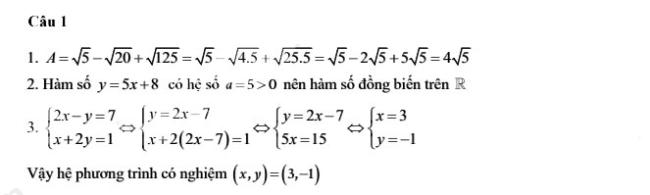
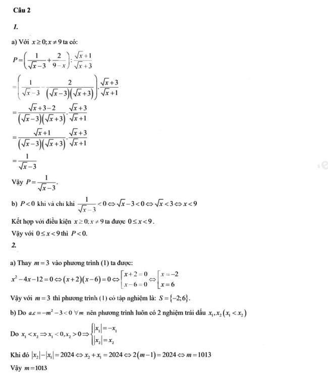
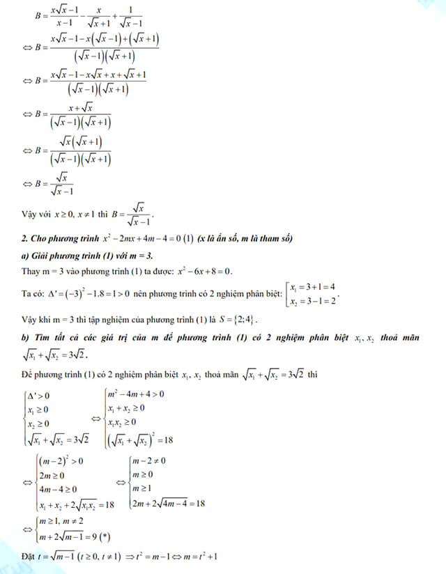
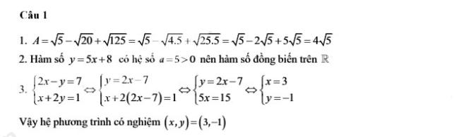
1. Đáp án đề thi vào 10 môn Toán Ninh Bình 2025






2. Đề thi vào 10 môn Toán Ninh Bình 2025


Lịch thi vào 10 Ninh Bình 2025
| Ngày | Buổi | Bài thi | Thời gian làm bài | Giờ cắt túi đề thi tại phòng thi | Giờ phát đề cho thí sinh | Giờ bắt đầu làm bài |
| 01/6/2025 | CHIỀU | - Từ 13 giở 30 phút: Họp cán bộ làm công tác coi thi tại Điểm thi. - Từ 15 giờ 30 phút: Thí sinh đến phòng thi, làm thủ tục dự thi, đính chính sai sót (nếu có); Cán bộ coi thi phố biến Quy chế thi, Lịch thi; Thí sinh dự thi vào lớp chuyên Tin học bằng môn Tin học bốc thăm nhận máy vi tinh, thử máy. | ||||
| 02/6/2025 | SÁNG | Ngữ văn | 120 phút | 7 giờ 20 phút | 7 giờ 25 phút | 7 giờ 30 phút |
| CHIỀU | Tiếng Anh | 60 phút | 14 giờ 20 phút | 14 giờ 25 phút | 14 giờ 30 phút | |
| 03/6/2025 | SÁNG | Toán | 120 phút | 7 giờ 20 phút | 7 giờ 25 phút | 7 giờ 30 phút |
| CHIỀU | Thi kỹ năng nói môn chuyên Tiếng Anh | Từ 14 giờ: Thời gian thi cua mồi thí sinh là 08 (tám) phút, trong đó 05 (năm) phút chuẩn bị, 03 (ba) phút tiếp theo trá lời và ghi âm. | ||||
| 04/6/2025 | SÁNG | Thi các bài thi môn chuyên | 150 phút | 7 giờ 20 phút | 7 giờ 25 phút | 7 giờ 30 phút |
| CHIỀU | Dự phòng | |||||
3. Đáp án đề thi vào 10 môn Toán Ninh Bình 2024



4. Đề vào lớp 10 môn Toán tỉnh Ninh Bình năm 2024

Lịch thi vào lớp 10 tỉnh Ninh Bình năm 2024 như sau

5. Đáp án đề thi vào 10 môn Toán Ninh Bình 2023


6. Đề thi tuyển sinh lớp 10 môn Toán Ninh Bình 2023
