Đáp án đề thi tuyển sinh lớp 10 môn Toán Quảng Ninh 2025
Đề thi tuyển sinh lớp 10 môn toán Quảng Ninh
Lớp:
Ôn vào 10
Môn:
Toán
Dạng tài liệu:
Đề thi
Loại:
Tài liệu Lẻ
Phân loại:
Tài liệu Tính phí
Đề thi tuyển sinh lớp 10 môn Toán Quảng Ninh
Sáng 2/6, các thí sinh tỉnh Quảng Ninh tiếp tục làm bài thi môn Toán kỳ thi tuyển sinh vào lớp 10 năm học 2025 - 2026. VnDoc gửi tới các bạn Đề thi tuyển sinh lớp 10 môn Toán tỉnh Quảng Ninh năm 2025 kèm đáp án tham khảo ngay sau khi kết thúc thời gian làm bài. Mời các bạn theo dõi.
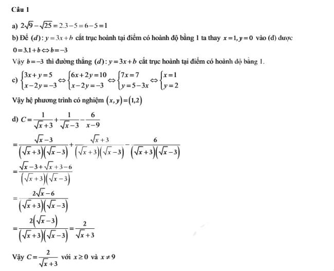
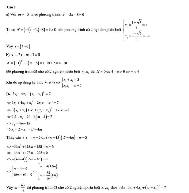
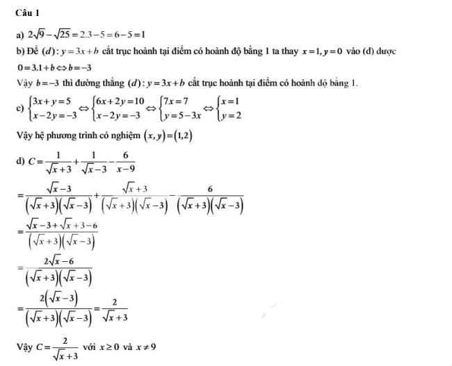
1. Đáp án đề vào 10 môn Toán Quảng Ninh 2025




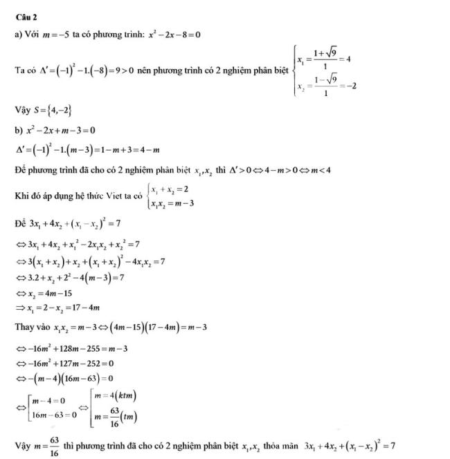
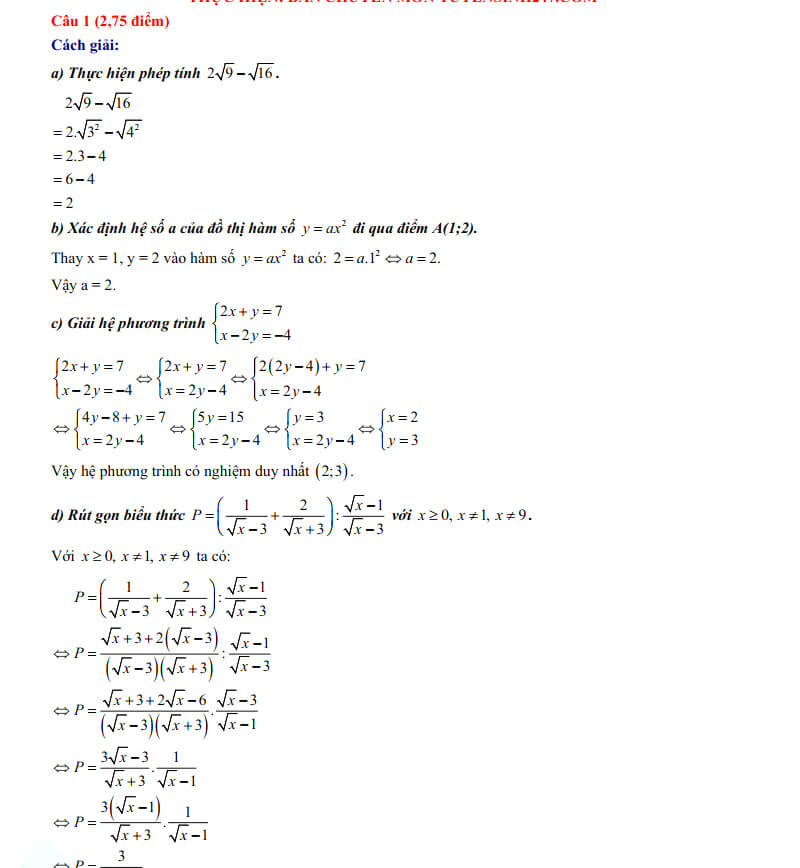
Câu 6.c



2. Đề vào 10 môn Toán Quảng Ninh 2025


Lịch thi vào 10 Quảng Ninh 2025

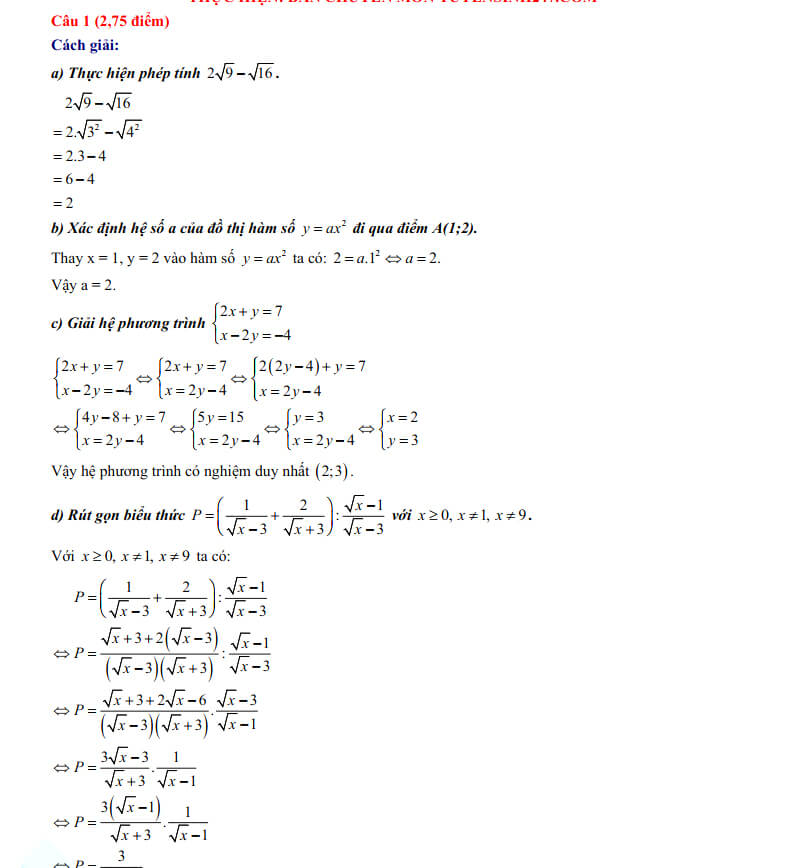
3. Đáp án đề vào 10 môn Toán Quảng Ninh 2024



4. Đề thi vào 10 Toán Quảng Ninh 2024

Lịch thi vào lớp 10 tỉnh Quảng Ninh năm 2024

5. Đáp án đề thi vào 10 môn Toán Quảng Ninh 2023


6. Đề thi tuyển sinh lớp 10 môn Toán Quảng Ninh 2023
