Đáp án đề thi tuyển sinh lớp 10 môn Toán tỉnh Sơn La 2025
Chiều ngày 1/6, các thí sinh của tỉnh Sơn La tiếp tục làm bài thi môn Toán kì thi Tuyển sinh vào lớp 10 năm 2025 - 2026. VnDoc gửi tới các bạn Đề thi kèm đáp án tham khảo đề thi vào 10 môn Toán Sơn La 2025 sau khi hết thời gian làm bài. Mời các bạn theo dõi nhé.
Đề thi vào 10 môn Toán tỉnh Sơn La
- 1. Đáp án đề thi tuyển sinh lớp 10 môn Toán tỉnh Sơn La 2025
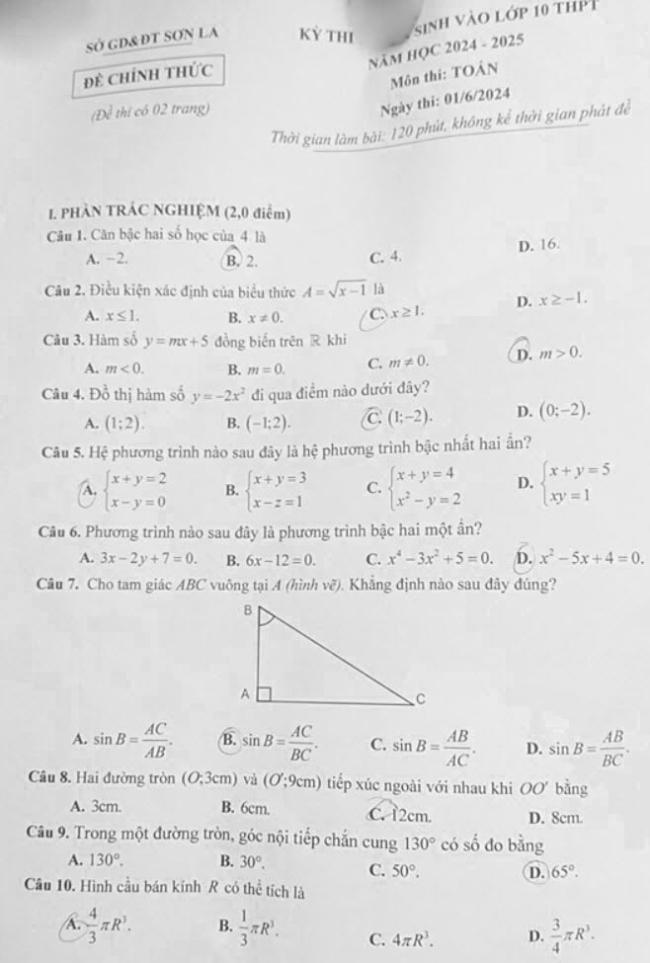
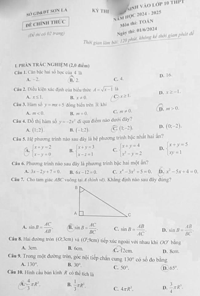
- 2. Đề thi tuyển sinh lớp 10 môn Toán tỉnh Sơn La 2025
- 3. Đáp án đề thi tuyển sinh lớp 10 môn Toán tỉnh Sơn La 2024
- 4. Đề thi tuyển sinh lớp 10 môn Toán tỉnh Sơn La 2024
- 5. Đáp án đề thi tuyển sinh lớp 10 môn Toán tỉnh Sơn La 2023
- 6. Đề thi tuyển sinh lớp 10 môn Toán tỉnh Sơn La 2023
1. Đáp án đề thi tuyển sinh lớp 10 môn Toán tỉnh Sơn La 2025






2. Đề thi tuyển sinh lớp 10 môn Toán tỉnh Sơn La 2025


Lịch thi vào 10 Sơn La 2025

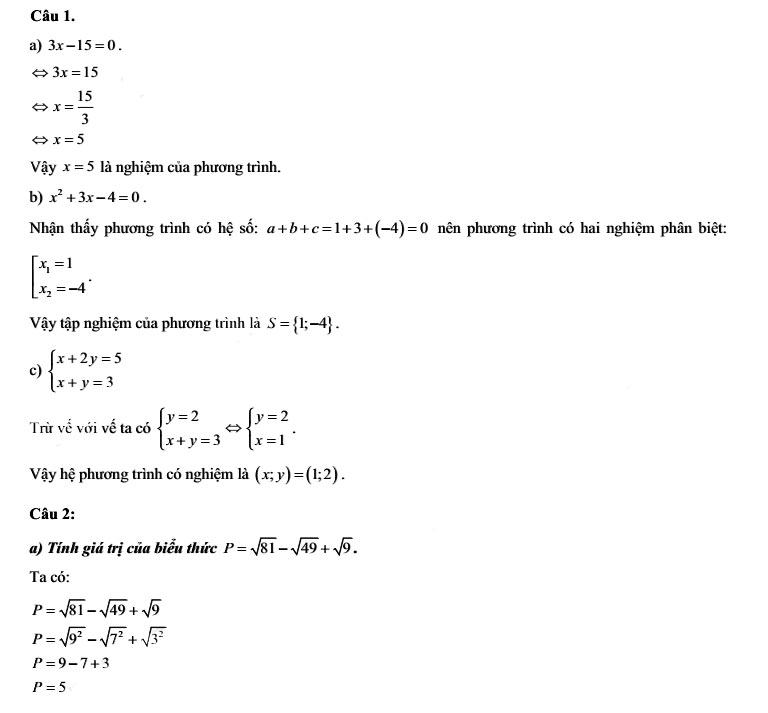
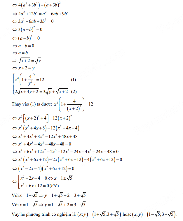
3. Đáp án đề thi tuyển sinh lớp 10 môn Toán tỉnh Sơn La 2024
I. Trắc nghiệm
| Câu | Đ/a | Câu | Đ/a |
|---|---|---|---|
| 1 | B | 6 | D |
| 2 | C | 7 | B |
| 3 | D | 8 | C |
| 4 | C | 9 | D |
| 5 | A | 10 | A |
Tự luận:






4. Đề thi tuyển sinh lớp 10 môn Toán tỉnh Sơn La 2024


Lịch thi vào lớp 10 tỉnh Sơn La năm 2024 trường THPT công lập và THPT Chuyên:
|
Ngày |
Buổi |
Môn thi |
Thời gian làm bài |
Thời gian phát đề thi |
Giờ bắt đầu làm bài |
|
01/6/2024 |
SÁNG |
Ngữ văn |
120 phút |
7h55’ |
8h00’ |
|
CHIỀU |
Toán |
120 phút |
14h25’ |
14h30’ |
|
|
02/6/2024 |
SÁNG |
Tiếng Anh |
60 phút |
7h55’ |
8h00’ |
|
CHIỀU |
Các môn chuyên |
150 phút |
14h25’ |
14h30’ |
5. Đáp án đề thi tuyển sinh lớp 10 môn Toán tỉnh Sơn La 2023





6. Đề thi tuyển sinh lớp 10 môn Toán tỉnh Sơn La 2023

