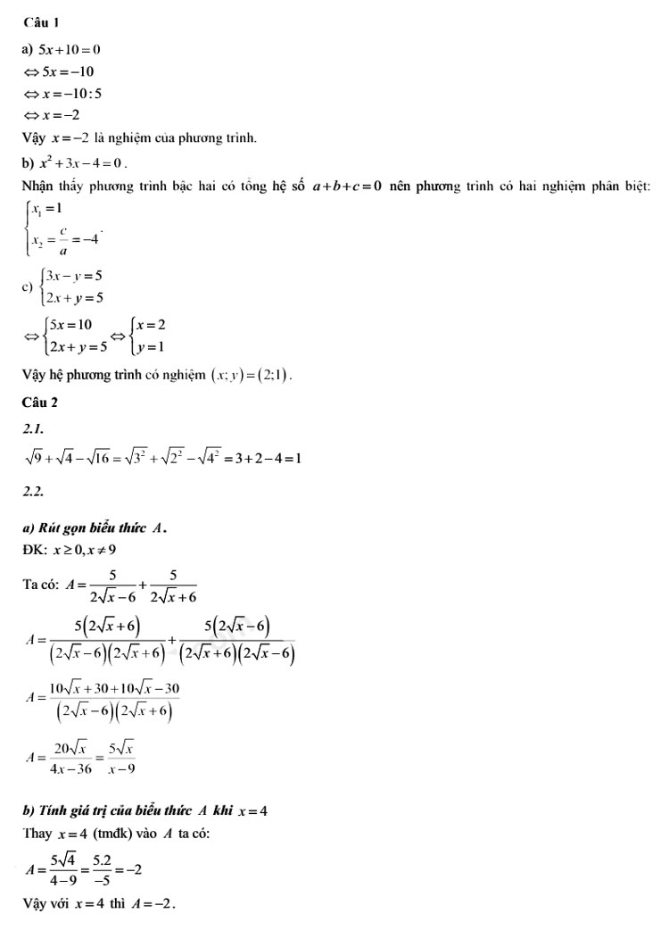
Đáp án đề thi vào lớp 10 môn Toán tỉnh Lai Châu 2025
Đề thi vào 10 môn Toán 2025 có đáp án
Lớp:
Ôn vào 10
Môn:
Toán
Dạng tài liệu:
Đề thi
Loại:
Tài liệu Lẻ
Phân loại:
Tài liệu Tính phí
VnDoc gửi tới các bạn Đề thi tuyển sinh lớp 10 môn Toán tỉnh Lai Châu năm 2025 kèm đáp án tham khảo. Mời các bạn so sánh đối chiếu với kết quả bài làm của mình nhé.
Đề thi vào 10 môn Toán Lai Châu 2025 - 2026
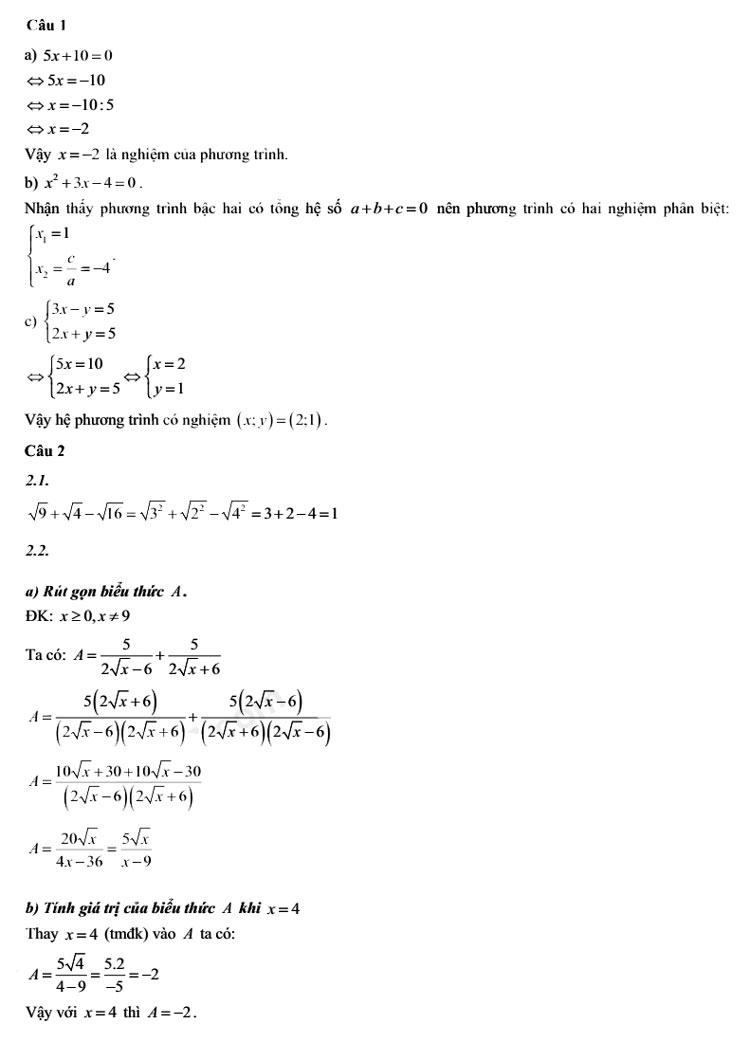
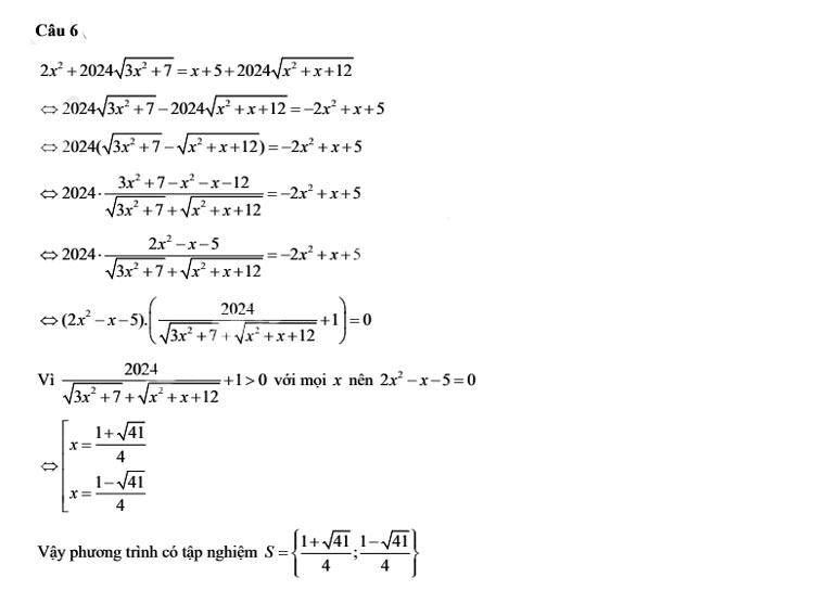
1. Đáp án đề thi vào 10 môn Toán Lai Châu 2025






2. Đề thi vào 10 môn Toán Lai Châu 2025


3. Đề thi vào 10 môn Toán Lai Châu 2024

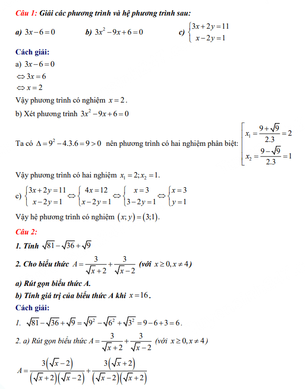
4. Đáp án Đề thi vào 10 môn Toán Lai Châu 2024





5. Đề thi vào 10 môn Toán Lai Châu 2023

6. Đáp án đề thi Toán vào 10 tỉnh Lai Châu 2023




