Giao diện mới của VnDoc Pro: Dễ sử dụng hơn - chỉ tập trung vào lớp bạn quan tâm. Vui lòng chọn lớp mà bạn quan tâm: Lưu và trải nghiệm
Đóng
Điểm danh hàng ngày
  • Hôm nay +3
  • Ngày 2 +3
  • Ngày 3 +3
  • Ngày 4 +3
  • Ngày 5 +3
  • Ngày 6 +3
  • Ngày 7 +5
Bạn đã điểm danh Hôm nay và nhận 3 điểm!
Nhắn tin Zalo VNDOC để nhận tư vấn mua gói Thành viên hoặc tải tài liệu Hotline hỗ trợ: 0936 120 169

Căn bậc ba

Lớp: Lớp 9
Môn: Toán
Phân loại: Tài liệu Tính phí

Chuyên đề Toán học lớp 9: Căn bậc ba được VnDoc sưu tầm và giới thiệu tới các bạn học sinh cùng quý thầy cô tham khảo. Nội dung tài liệu sẽ giúp các bạn học sinh học tốt môn Toán học lớp 9 hiệu quả hơn. Mời các bạn tham khảo.

Chuyên đề: Căn bậc ba

A. Lý thuyết

1. ĐỊNH NGHĨA

Định nghĩa: Căn bậc ba của một số thực a là số x sao cho x3 = a

Viết: x = ∛a

Số 3 gọi là chỉ số căn.

Phép lấy căn bậc ba của một số gọi là phép khai căn bậc ba.

• Vậy x = ∛a ⇔ a = x3

Ví dụ: ∛8 = 2 vì 23 = 8

∛-125 = -5 vì (-5)3 = -125

Nhận xét: Mỗi số thực a đều có duy nhất một căn bậc 3. Cụ thể:

- Nếu a > 0 ⇒ ∛a > 0

- Nếu a < 0 ⇒ ∛a < 0

- Nếu a = 0 ⇒ ∛a = 0

2. TÍNH CHẤT

Lý thuyết: Căn bậc ba

3. BIỂU THỨC LIÊN HỢP CỦA CĂN BẬC BA

Lý thuyết: Căn bậc ba

B. Trắc nghiệm & Tự luận

I. Bài tập trắc nghiệm

Câu 1: Kết quả so sánh nào sau đây sai?

A. 5 > ∛123 B. 5∛6 = 6∛5 C. 3∛2 < ∛55 D. 3∛4 > 2∛13

Bài tập: Căn bậc ba

Chọn đáp án B.

Câu 2: Kết quả của phép tính Bài tập: Căn bậc ba là?

Bài tập: Căn bậc ba

Ta có

Bài tập: Căn bậc ba

Chọn đáp án C.

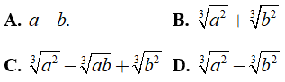
Câu 3: Kết quả rút gọn của biểu thức Bài tập: Căn bậc ba là?

Bài tập: Căn bậc ba

Ta có:

Bài tập: Căn bậc ba

Chọn đáp án C.

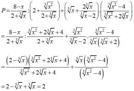
Câu 4: Cho biểu thức

Bài tập: Căn bậc ba

với x > 0 và x ≠ 8. Rút gọn P ta được?

A. 2 B. 2 - 2∛x C. ∛x D. 1/2

Ta có:

Bài tập: Căn bậc ba

Chọn đáp án A.

II. Bài tập tự luận

Câu 1: Chứng minh rằng giá trị của biểu thức sau không phụ thuộc vào giá trị của biến:

Bài tập: Căn bậc ba

Ta có:

Bài tập: Căn bậc ba

Vậy A không phụ thuộc vào giá trị của biến.

Câu 2: Giải phương trình sau đây:

Bài tập: Căn bậc ba

Đáp án

a) Ta có:

Bài tập: Căn bậc ba

b) Ta có:

Bài tập: Căn bậc ba

c) Ta có:

Bài tập: Căn bậc ba

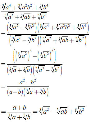
Câu 3: Rút gọn các biểu thức sau

Bài tập: Căn bậc ba

Đáp án

a) Ta có:

Bài tập: Căn bậc ba

b) Ta có

Bài tập: Căn bậc ba

Với bài Căn bậc ba trên đây các bạn học sinh cùng quý thầy cô cần nắm vững kiến thức về định nghĩa, tính chất, của căn bậc ba và biểu thức liên hợp của căn bậc ba....

Trên đây VnDoc đã giới thiệu tới các bạn lý thuyết môn Toán học 9: Căn bậc ba. Để có kết quả cao hơn trong học tập, VnDoc xin giới thiệu tới các bạn học sinh tài liệu Chuyên đề Toán học 9, Giải bài tập Toán lớp 9VnDoc tổng hợp và giới thiệu tới các bạn đọc

Đóng Chỉ thành viên VnDoc PRO/PROPLUS tải được nội dung này!
Đóng
79.000 / tháng
Đặc quyền các gói Thành viên
PRO
Phổ biến nhất
PRO+
Tải tài liệu Cao cấp 1 Lớp
30 lượt tải tài liệu
Xem nội dung bài viết
Trải nghiệm Không quảng cáo
Làm bài trắc nghiệm không giới hạn
Mua cả năm Tiết kiệm tới 48%

Có thể bạn quan tâm

Xác thực tài khoản!

Theo Nghị định 147/2024/ND-CP, bạn cần xác thực tài khoản trước khi sử dụng tính năng này. Chúng tôi sẽ gửi mã xác thực qua SMS hoặc Zalo tới số điện thoại mà bạn nhập dưới đây:

Số điện thoại chưa đúng định dạng!
Số điện thoại này đã được xác thực!
Bạn có thể dùng Sđt này đăng nhập tại đây!
Lỗi gửi SMS, liên hệ Admin
Sắp xếp theo
🖼️

Chuyên đề Toán 9

Xem thêm
🖼️

Gợi ý cho bạn

Xem thêm