Giải Toán lớp 6 trang 42 tập 1 Kết nối tri thức
Giải Toán 6 trang 42 Tập 1
Giải Toán 6 trang 42 Tập 1 Kết nối tri thức hướng dẫn giải chi tiết cho các câu hỏi và bài tập trong SGK Toán 6 Kết nối tri thức tập 1 trang 42.
Bài 2.20 trang 42 Toán 6 tập 1 Kết nối tri thức
Kiểm tra xem các số sau là hợp số hay số nguyên tố bằng cách dùng dấu hiệu của chia hết hoặc tra bảng số nguyên tố:
89; 97; 125; 541; 2 013; 2 018
Hướng dẫn giải:
Các số nguyên tố: 89; 97; 541
Các hợp số: 125; 2 013; 2 018
Bài 2.21 trang 42 Toán 6 tập 1 Kết nối tri thức
Hãy phân tích A ra thừa số nguyên tố: A = 44 . 95
Hướng dẫn giải:
A = 44 . 95
= (22)4 . (32)5
= 22 . 4 . 32 . 5
= 28 . 310
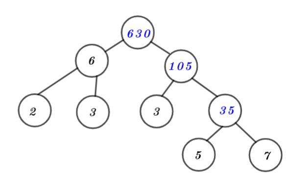
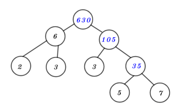
Bài 2.22 trang 42 Toán 6 tập 1 Kết nối tri thức
Tìm các số còn thiếu trong các sơ đồ phân tích một số ra thừa số nguyên tố sau:

Hướng dẫn giải:
a)
\(\begin{array}{l}\begin{array}{*{20}{c}}210\\\textbf{ 105} \\ {35} \\ \textbf {7} \\ 1 \end{array} \left| \begin{array}{l} 2 \\ 3 \\ \textbf {5} \\ 7 \\ \: \end{array} \right. \end{array}\)
b)

Bài 2.23 trang 42 Toán 6 tập 1 Kết nối tri thức
Một lớp có 30 học sinh. Cô giáo muốn chia lớp thành các nhóm để thực hiện các dự án học tập nhỏ. Biết rằng, các nhóm đều có số người bằng nhau và có nhiều hơn 1 người trong mỗi nhóm. Hỏi mỗi nhóm có thể có bao nhiêu người?
Hướng dẫn giải:
Ta có Ư(30) = {1, 2; 3; 5; 6; 10; 15; 30}
Do số người trong 1 nhóm lớn hơn 1, ta có:
| Số nhóm | 2 | 3 | 5 | 6 | 10 | 15 |
| Số người trong 1 nhóm | 15 | 10 | 6 | 5 | 3 | 2 |
Bài 2.24 trang 42 Toán 6 tập 1 Kết nối tri thức
Trong nghi lễ thượng cờ lúc 6 giờ sáng và hạ cờ lúc 21 giờ hàng ngày ở Quảng trường Ba Đình, đội tiêu binh có 34 người gồm 1 sĩ quan chỉ huy đứng đầu và 33 chiến sĩ. Hỏi có bao nhiêu cách sắp xếp 33 chiến sĩ thành các hàng, sao cho mỗi hàng có số người như nhau?

Hướng dẫn giải:
Ta có: Ư(33) = {1; 3; 11; 33}
Vì mỗi hàng có số người như nhau, ta có:
| Số hàng | 1 | 3 | 11 | 33 |
| Số người trong 1 hàng | 33 | 11 | 3 | 1 |
Vậy có 4 cách cách sắp xếp 33 chiến sĩ thành các hàng.
-----------------------------------------------
---> Trang tiếp theo: Giải Toán lớp 6 trang 43 tập 1 Kết nối tri thức
Lời giải Toán 6 trang 42 Tập 1 Kết nối tri thức với các câu hỏi nằm trong Bài 10: Số nguyên tố, được VnDoc biên soạn và đăng tải!