Toán lớp 6 Bài 2. So sánh các phân số. Hỗn số dương
Toán lớp 6 Bài 2. So sánh các phân số. Hỗn số dương hướng dẫn giải bài tập trong SGK Toán 6 Cánh diều, giúp các em nắm vững kiến thức được học trong bài và luyện giải bài tập môn Toán lớp 6. Mời các bạn tham khảo chi tiết sau đây.
Bài 2. So sánh các phân số. Hỗn số dương
Hoạt động 1 trang 31 Toán lớp 6 Tập 2:
So sánh:
a) -3 và 2
b) -8 và -5
Lời giải:
a) Ta có -3 là số nguyên âm nên – 3 < 0, còn 2 là số nguyên dương nên 2 > 0. Do đó 2 > - 3.
b) Ta có số đối của – 8 là 8 và số đối của – 5 là 5 mà 5 < 8 nên – 5 > - 8.
Hoạt động 3 trang 32 Toán lớp 6 Tập 2:
a)Tìm thương và số dư trong phép chia 7 cho 4
b)Viết phân số
\(\frac{7}{4}\) dưới dạng tổng của một số nguyên dương và một phân số bé hơn 1
Đáp án:
a)Ta có: 7: 4 = 1 ( dư 3)
Như vậy thương và số dư của phép chia 7 cho 4 lần lượt là 1 và 3
b)
\(\frac{7}{4}= \frac{4.1+3}{4}=\)
\(1 + \frac{3}{4}\)
Bài 1 trang 33 Toán lớp 6 Tập 2
So sánh:
|
a) |
b) |
c) |
Đáp án
a) Ta có: -9 < 0
\(\Rightarrow \frac{{ - 9}}{4} < 0\)
Ta lại có 0 < 1
\(\Rightarrow 0 = \frac{0}{3} < \frac{1}{3}\)
Vậy
\(\frac{{ - 9}}{4} < \frac{1}{3}\)
b) Ta có:
\(\frac{4}{{ - 7}} = \frac{{ - 4}}{7}\)
Hai phân số không cùng mẫu nên ta thực hiện quy đồng mẫu số các phân số
Ta có: 3 và 7 là cặp số nguyên tố cùng nhau
=> BCNN(3, 7) = 3.7 = 21
Thực hiện quy đồng mẫu số ta có:
\(\begin{matrix}
\dfrac{{ - 8}}{3} = \dfrac{{ - 8.7}}{{3.7}} = \dfrac{{ - 56}}{{21}} \hfill \\
\dfrac{{ - 4}}{7} = \dfrac{{ - 4.3}}{{7.3}} = \dfrac{{ - 12}}{{21}} \hfill \\
\end{matrix}\)
Vì –56 < -12 =>
\(\frac{{ - 56}}{{21}} < \frac{{ - 12}}{{21}} \Rightarrow \frac{{ - 8}}{5} < \frac{4}{{ - 7}}\)
Vậy
\(\frac{{ - 8}}{3} < \frac{4}{{ - 7}}\)
c) Ta có:
\(\frac{9}{{ - 5}} = \frac{{ - 9}}{5};\frac{7}{{ - 10}} = \frac{{ - 7}}{{10}}\)
Hai phân số không cùng mẫu nên ta thực hiện quy đồng mẫu số các phân số
Ta có: 10 = 2 . 5
=> BCNN(5, 10) = 10
Thực hiện quy đồng mẫu số ta có:
\(\frac{{ - 9}}{5} = \frac{{ - 9.2}}{{5.2}} = \frac{{ - 18}}{{10}}\)
Vì –18 < --7 =>
\(\frac{{ - 18}}{{10}} < \frac{{ - 7}}{{10}} \Rightarrow \frac{9}{{ - 5}} < \frac{7}{{ - 10}}\)
Vậy
\(\frac{9}{{ - 5}} < \frac{7}{{ - 10}}\)
Bài 2 trang 33 Toán lớp 6 Tập 2
Viết các phân số sau theo thứ tự tăng dần:
|
a) |
b) |
Đáp án
a) Phân số dương là
\(\frac{2}{5},\frac{2}{7}\)
Phân số âm là:
\(\frac{{ - 1}}{2}\)
Ta có: 7 và 5 là các số nguyên tố cùng nhau
=> BCNN(5,7) = 5.7 = 35
=> Mẫu thức chung là 35
Thực hiện quy đồng mẫu số ta được kết quả:
\(\begin{matrix}
\dfrac{2}{5} = \dfrac{{2.7}}{{5.7}} = \dfrac{{14}}{{35}} \hfill \\
\dfrac{2}{7} = \dfrac{{2.5}}{{7.5}} = \dfrac{{10}}{{35}} \hfill \\
\end{matrix}\)
Do 10 < 14
\(\begin{matrix}
\Rightarrow \dfrac{{10}}{{35}} < \dfrac{{14}}{{35}} \hfill \\
\Rightarrow \dfrac{2}{7} < \dfrac{2}{5} \hfill \\
\end{matrix}\)
Do các phân số âm luôn nhỏ hơn 0 và nhỏ hơn các phân số dương nên ta có:
\(\frac{{ - 1}}{2} < \frac{2}{7} < \frac{2}{5}\)
Vậy sắp xếp các phân số trên hình vẽ theo thứ tự tăng dần là:
\(\frac{{ - 1}}{2},\frac{2}{7},\frac{2}{5}\)
a) Phân số dương là
\(\frac{{12}}{5}\)
Phân số âm là:
\(\frac{{ - 7}}{3},\frac{{ - 11}}{4}\)
Ta có: 3 và 4 là các số nguyên tố cùng nhau
=> BCNN(3, 4) = 3.4 = 12
=> Mẫu thức chung là 12
Thực hiện quy đồng mẫu số ta được kết quả:
\(\begin{matrix}
\dfrac{{ - 7}}{3} = \dfrac{{ - 7.4}}{{3.4}} = \dfrac{{ - 28}}{{12}} \hfill \\
\dfrac{{ - 11}}{4} = \dfrac{{ - 11.3}}{{4.3}} = \dfrac{{ - 33}}{{12}} \hfill \\
\end{matrix}\)
Do -33 < -28
\(\begin{matrix}
\Rightarrow \dfrac{{ - 33}}{{12}} < \dfrac{{ - 28}}{{12}} \hfill \\
\Rightarrow \dfrac{{ - 11}}{4} < \dfrac{{ - 7}}{3} \hfill \\
\end{matrix}\)
Do các phân số âm luôn nhỏ hơn 0 và nhỏ hơn các phân số dương nên ta có:
\(\frac{{ - 11}}{4} < \frac{{ - 7}}{3} < \frac{{12}}{5}\)
Vậy sắp xếp các phân số trên hình vẽ theo thứ tự tăng dần là:
\(\frac{{ - 11}}{4},\frac{{ - 7}}{3},\frac{{12}}{5}\)
Bài 3 trang 33 Toán lớp 6 Tập 2
Bạn Hà thể hiện thời gian trong ngày của mình như hình vẽ bên.

a) Hỏi bạn Hà dành thời gian cho hoạt động nào nhiều nhất? Ít nhất?
b) Hãy sắp xếp các số trên hình vẽ theo thứ tự giảm dần.
Đáp án
a) Quan sát hình vẽ ta thấy:
+ Phần thời gian màu tím chiếm diện tích lớn nhất
+ Phần thời gian màu đỏ chiếm diện tích nhỏ nhất.
Suy ra: Bạn Hà dành thời gian cho hoạt động ngủ là nhiều nhất và thời gian cho hoạt động ăn là ít nhất.
b) Các phân số khác mẫu nên ta sẽ thực hiện quy đồng mẫu số các phân số:
Ta có: 8 = 23, 3 = 3, 6 = 2.3, 24 = 23.3, 12 = 22.3
=> BCNN(8, 6, 24, 20) = 23.3 = 8.3 = 24
=> Mẫu thức chung là 24
Thực hiện quy đồng mẫu số ta được kết quả:
\(\begin{matrix}
\dfrac{1}{8} = \dfrac{{1.3}}{{8.3}} = \dfrac{3}{{24}} \hfill \\
\dfrac{1}{3} = \dfrac{{1.8}}{{3.8}} = \dfrac{8}{{24}} \hfill \\
\dfrac{1}{6} = \dfrac{{1.4}}{{6.4}} = \dfrac{4}{{24}} \hfill \\
\dfrac{1}{{12}} = \dfrac{{1.2}}{{12.2}} = \dfrac{2}{{24}} \hfill \\
\end{matrix}\)
Do 8 > 7 > 4 > 3
\(\begin{matrix}
\Rightarrow \dfrac{8}{{24}} > \dfrac{7}{{24}} > \dfrac{4}{{24}} > \dfrac{3}{{24}} > \dfrac{2}{{24}} \hfill \\
\Rightarrow \dfrac{1}{3} > \dfrac{7}{{24}} > \dfrac{1}{6} > \dfrac{1}{8} > \dfrac{1}{{12}} \hfill \\
\end{matrix}\)
Vậy sắp xếp các phân số trên hình vẽ theo thứ tự giảm dần là:
\(\frac{1}{3},\frac{7}{{24}},\frac{1}{6},\frac{1}{8},\frac{1}{{12}}\)
Bài 4 trang 33 Toán lớp 6 Tập 2
a) Viết các số đo thời gian dưới dạng hỗn số với đơn vị là giờ:
|
2 giờ 15 phút |
10 giờ 20 phút |
b) Viết các số đo diện tích sau dưới dạng hỗn số với đơn vị là héc-ta (biết 1 ha = 100 a):
|
1 ha 7 a |
3 ha 50 a |
Đáp án
a) Đổi 15 phút =
\(\frac{{15}}{{60}} = \frac{1}{4}\) giờ
=> 2 giờ 15 phút =
\(2 + \frac{1}{4} = 2\frac{1}{4}\) giờ
Vậy 2 giờ 15 phút =
\(2\frac{1}{4}\) giờ
Đổi 20 phút =
\(\frac{{20}}{{60}} = \frac{1}{3}\) giờ
=> 10 giờ 20 phút =
\(10 + \frac{1}{3} = 10\frac{1}{3}\) giờ
Vậy 10 giờ 20 phút =
\(10\frac{1}{3}\) giờ
b) Đổi 7a =
\(\frac{7}{{100}}\) ha
=> 1 ha 7 a =
\(1 + \frac{7}{{100}} = 1\frac{7}{{100}}\) ha
Vậy 1 ha 7 a =
\(1\frac{7}{{100}}\) ha
Đổi 50a =
\(\frac{{50}}{{100}} = \frac{1}{2}\) ha
=> 3 ha 50 a =
\(3 + \frac{1}{2} = 3\frac{1}{2}\) ha
Bài 5 trang 33 Toán lớp 6 Tập 2
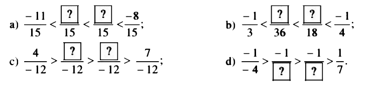
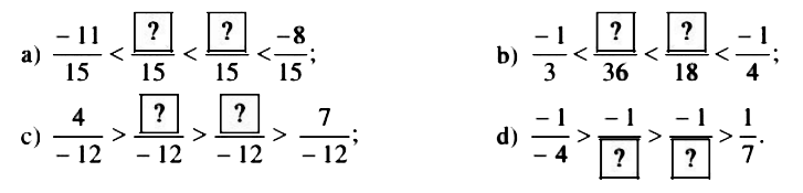
Chọn số thích hợp cho ?

Đáp án
a) Gọi hai số cần điền là x và y, khi đó ta có:

b) Gọi hai số cần điền là m và n. Khi đó, ta có:![]()
Muốn tìm m và n ta cần so sánh được các tử số với nhau. Do đó ta cần quy đồng mẫu số các phân số trên.
MTC = BCNN(3, 36, 18, 4) = 36. Khi đó, ta có:

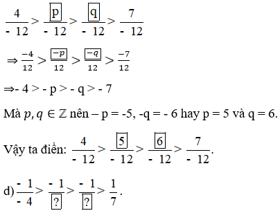
c) Gọi hai số cần điền là p và q. Khi đó, ta có:

Gọi hai số cần điền là z và t. Khi đó, ta có: 
Muốn tìm z và t ta cần so sánh được các mẫu số với nhau. Do đó ta cần đưa các phân số trên về cùng tử số.
Ta thấy ba phân số đầu đều có chung tử số là – 1, nên ta chỉ cần chuyển phân số cuối về tử - 1 như sau:
