Đề thi thử tốt nghiệp THPT 2025 môn Toán bám sát đề minh họa - Đề 36
Thi THPT Quốc gia 2025
Lớp:
THPT Quốc gia
Môn:
Toán
Dạng tài liệu:
Đề thi
Loại:
Tài liệu Lẻ
Loại File:
Word + PDF
Phân loại:
Tài liệu Tính phí

PHÁT TRIỂN TỪ ĐỀ MINH HỌA
ĐỀ 36
ĐỀ ÔN THI TỐT NGHIỆP THPT 2025
MÔN: TOÁN
Thời gian: 90 phút
PHẦN I. Từ câu 1 đến câu 12, mỗi câu hỏi thí sinh chỉ chọn một phương án.
Câu 1: Nguyên hàm của hàm số
2
x
y
là
A.
2 ln2.2d
xx
xC
. B.
22d
xx
xC
.
C.
2
2
d
2
ln
x
x
xC
. D.
2
1
d2
x
x
xC
x
.
Câu 2: Cho hàm số
y f x
liên tục trên đoạn
;ab
. Diện tích hình phẳng giới hạn bởi đồ thị
hàm số , trục hoành và hai đường thẳng
,x a x b
được tính theo công thức
y f x
A.
d
b
a
S f x x
.
B.
d
b
a
S f x x
.
C.
d
b
a
S f x x
.
D.
d
a
b
S f x x
.
Câu 3.
Điều tra cân nặng của 50 bé trai 6 tháng tuổi, người ta được kết quả ở bảng sau.
Khoảng biến thiên của mẫu số liệu ghép nhóm là bao nhiêu ?
Nhóm
[80;100
)
[100;120
)
[120;140
)
[140;160
)
[160;180
)
[180;200
)
Tần số
3
5
6
8
6
2
n = 30
A.
120
B.
80
C.
20
D.
200
Câu 4:
Trong không gian
Oxyz
, cho hai điểm
1;2;1M
và
3;1; 2N
. Đường thẳng
MN
có
phương trình là
A.
1 2 1
4 3 1
x y z
.
B.
1 2 1
2 1 3
x y z
.
C.
1 2 1
4 3 1
x y z
.
D.
1 2 1
2 1 3
x y z
.
Câu 5:
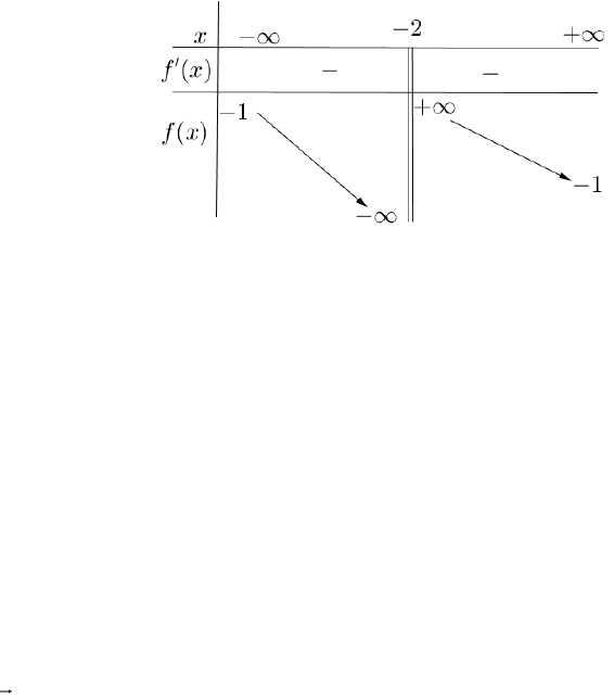
Cho hàm số
y f x
có bảng biến thiên như sau:

Tiệm cận đứng của đồ thị hàm số đã cho là đường thẳng có phương trình:
A.
1x
.
B.
1y
.
C.
2y
.
D.
2x
.
Câu 6:
Với
a
là số thực dương tùy ý,
4
log 4a
bằng
A.
4
1 log a
.
B.
4
1 log a
.
C.
4
4 log a
.
D.
4
4 log a
.
Câu 7.
Trong không gian
Oxyz
, phương trình mặt phẳng đi qua điểm
1;2;3A
và có
vectơ pháp tuyến
1;1;2n
là :
A.
2 7 0x y z
.
B.
2 7 0x y z
.
C.
2 3 7 0x y z
.
D.
2 3 7 0x y z
.
Câu 8:
Cho hình chóp
.S ABC
có đáy
ABC
là tam giác vuông tại
B
, cạnh bên
SA
vuông
góc với đáy. Khẳng định nào sau đây đúng?
A.
AC SBC
.
B.
BC SAC
.
C.
BC SAB
.
D.
AB SBC
.
Câu 9:
Tập nghiệm của bất phương trình
24
x
là:
A.
;2
B.
0;2
C.
;2
D.
0;2
Câu 10:
Cho cấp số nhân
n
u
với
1
2u
và công bội
3q
. Tìm số hạng thứ
4
của cấp số
nhân?
A.
24
.
B.
54
.
C.
162
.
D.
48
.
Câu 11:
Cho hình lập phương
. ' ' ' 'ABCD A B C D
(minh họa như hình bên). Mệnh đề nào sau
đây sai?

A.
''AB AD AA AC
.
B.
AC AB AD
.
C.
AB CD
.
D.
AB CD
.
Câu 12:
Cho hàm số
fx
có bảng xét dấu của đạo hàm như sau
Hàm số đã cho nghịch biến trên khoảng nào dưới đây?
A.
3;0
.
B.
0;
.
C.
0;2
.
D.
;3
.
PHẦN II. Thí sinh trả lời từ câu 1 đến câu 4. Trong mỗi ý a), b), c), d) ở mỗi câu, thí sinh
chọn đúng hoặc sai.
Câu 1:
Cho hàm số
( ) 2sinf x x x
.
a)
(0) 0f
;
( ) 2
22
f
.
b) Đạo hàm của hàm số đã cho là
( ) 2cos 1f x x
.
c) Nghiệm của phương trình
( ) 0fx
trên đoạn
0;
2
là
3
.
d) Giá trị lớn nhất của
()fx
trên đoạn
0;
2
là
3
2
.
Câu 2.
Cho hàm số
( ) 2cosf x x
và
2
( ) 2sin
2
x
gx
a)
( ) 2 .f x dx sinx C
b)
( ) cos .g x dx x C
c)
( ) ( ) sin .f x g x dx x x C
Đề thi thử bám sát đề minh họa 2025 môn Toán - Đề 36
VnDoc.com xin gửi tới bạn đọc bài viết Đề thi thử tốt nghiệp THPT Quốc gia 2025 môn Toán bám sát đề minh họa - Đề 36 có đáp án để bạn đọc cùng tham khảo. Đề thi được tổng hợp gồm có 12 câu hỏi trắc nghiệm nhiều phương án lựa chọn, 4 câu hỏi đúng sai và 6 câu hỏi trả lời ngắn. Thí sinh làm bài trong thời gian 90 phút. Đề có đáp án và lời giải chi tiết kèm theo. Mời các bạn cùng theo dõi bài viết dưới đây để có thêm tài liệu ôn thi kì thi tốt nghiệp THPT Quốc gia sắp tới nhé.