Đề thi thử tốt nghiệp THPT 2025 môn Toán trường THPT Kon Tum
Thi THPT Quốc gia 2025
Lớp:
THPT Quốc gia
Môn:
Toán
Dạng tài liệu:
Đề thi
Loại:
Tài liệu Lẻ
Loại File:
PDF
Phân loại:
Tài liệu Tính phí

1/5 - Mã đề 0101
TRƯỜNG THPT KONTUM
ĐỀ CHÍNH THỨC
(Đề có 04 trang)
ĐỀ THI THỬ TỐT NGHIỆP THPT NĂM 2025
Môn: TOÁN ; Lớp: 12
Thời gian làm bài: 90 phút, không kể thời gian phát đề
Mã đề 0101
Họ, tên thí sinh: …………………………………………….. Số báo danh: ..............................
I. PHẦN I: Trắc nghiệm nhiều phương án lựa chọn (3,0 điểm). Thí sinh trả lời từ câu 1 đến câu 12.
Mỗi câu hỏi thí sinh chỉ chọn một phương án.
Câu 1. Tiệm cận ngang của đồ thị hàm số
41
1
x
y
x
+
=
−
là
A.
1
4
y =
. B.
4
y
=
. C.
1y =
. D.
1y = −
.
Câu 2. Cho hàm số
( )
y fx=
liên tục và không âm trên đoạn
[ ]
1; 4
. Diện tích hình phẳng giới hạn bởi
đồ thị hàm số
( )
y fx=
và các đường thẳng
0, 1, 4y xx
= = =
là
A.
( )
4
2
1
dS f xx=
∫
. B.
( )
4
1
dS fx x
π
=
∫
. C.
( )
4
1
dS fx x=
∫
. D.
(
)
4
2
1
d
S f xx
π
=
∫
.
Câu 3. Trong không gian
Oxyz
, cho hai vectơ
( )
1; 3; 2u = −
và
( )
2;1; 1v = −
. Toạ độ vectơ
uv−
là
A.
( )
3; 4; 3−
. B.
( )
1; 2; 3−−
. C.
( )
1; 2; 1−−
. D.
( )
1; 2;1−
.
Câu 4. Cho hình chóp tứ giác
.S ABCD
có đáy
ABCD
là hình vuông cạnh
2
a
, cạnh bên
SA
vuông
góc với mặt phẳng đáy và
32SA a=
. Thể tích khối chóp
.S ABCD
bằng
A.
3
42a
B.
3
12 2a
C.
3
2a
D.
3
32a
Câu 5. Trong không gian
Oxyz
, đường thẳng
123
234
xy z−+−
= =
có một vectơ chỉ phương là
A.
( )
1
1; 2; 3u = −
. B.
(
)
2
2; 3; 4u =
. C.
( )
3
1; 2; 3u =
. D.
( )
4
1; 2; 3u
=−−
.
Câu 6. Một mẫu số liệu ghép nhóm về chiều cao của một lớp (đơn vị là centimét) có phương sai là
6, 25
. Độ lệch chuẩn của mẫu số liệu đó bằng
A.
2,5cm
. B.
12, 5 cm
. C.
3,125
cm
. D.
41, 25
cm
.
Câu 7. Tập xác định của hàm số
(
)
3
log 3
yx= +
là
A.
( )
3;D = − +∞
. B.
[
)
3;D = − +∞
. C.
( )
0;D = +∞
. D.
{ }
\3
D = −
.
Câu 8. Trong không gian
Oxyz
, cho hai điểm
(
)
0;1; 1A −
,
( )
2; 3; 2B
. Vectơ
AB
có tọa độ là
A.
(
)
2; 2;3
. B.
(
)
1; 2; 3
. C.
( )
3; 5;1
. D.
( )
3; 4;1
Câu 9. Cho hàm số
( )
y fx=
có bảng biến thiên như sau:
Hàm số
( )
y fx=
nghịch biến trong khoảng nào trong các khoảng sau?
A.
( )
1;1−
. B.
( )
0;1
. C.
( )
1; +∞
. D.
( )
;2−∞
.
Câu 10. Cho
( )
2
0
d3fx x=
∫
,
( )
2
0
d1gx x= −
∫
thì
( ) ( )
2
0
5df x gx x x−+
∫
bằng
A.
12
. B.
0
. C.
8
. D.
10

2/5 - Mã đề 0101
Câu 11. Để duy trì và nâng cao sức khoẻ, cô Mỹ Khánh rất thích tập thể dục bằng cách đi bộ. Thời
gian đi bộ trong mỗi ngày của cô Mỹ Khánh được thống kê lại ở bảng sau:
Thời gian (phút)
[20; 25)
[25; 30)
[30; 35)
[35; 40)
[40; 45)
Số ngày
6
6
4
1
1
Khoảng biến thiên của mẫu số liệu ghép nhóm trên là
A. 25. B. 20. C. 15. D. 30.
Câu 12. Một túi đựng
6
viên bi xanh và
4
viên bi đỏ. Lấy ngẫu nhiên
2
viên bi. Xác suất để lấy được
cả hai viên bi đều đỏ là
A.
7
15
. B.
7
45
. C.
8
15
. D.
2
15
.
PHẦN II. Câu trắc nghiệm đúng sai (4,0 điểm). Thí sinh trả lời từ câu 1 đến câu 4. Trong mỗi ý a),
b), c), d) ở mỗi câu, thí sinh chọn đúng hoặc sai.
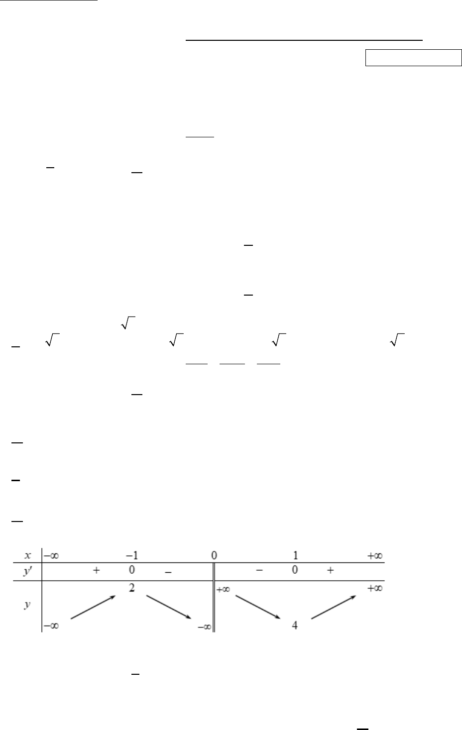
Câu 1. Cho hàm số
4
yx
x
= +
.
a) Tập xác định của hàm số đã cho là
{
}
\0D
=
.
b) Đạo hàm của hàm số đã cho là
2
4
1
y
x
′
= −
.
c) Hàm số đã cho có bảng biến thiên như sau:
d) Giá trị lớn nhất của hàm số đã cho trên khoảng
(
)
;0−∞
là
4−
.
Câu 2. Trong không gian
Oxyz
(đơn vị trên mỗi trục là mét), một thiết bị phát sóng Wifi được đặt ở vị
trí
( )
1;0;3I −
với bán kính phủ sóng là
34Rm=
.
a) Phương trình mặt cầu tâm
( )
1;0;3I −
, bán kính
34R =
là:
(
) ( )
22
22
1 3 34x yz+ + +− =
.
b) Một chiếc máy tính đặt ở điểm
( )
29;40;3M
thì khoảng cách từ chiếc máy tính đến thiết bị phát
sóng Wifi là
50m
.
c) Chiếc điện thoại (có kết nối wifi) được đặt ở điểm
( )
17;18; 27N −
thì không thể nhận được sóng
Wifi.
d) Nếu người dùng đứng ở vị trí điểm
(
)
14;30; 7P
−
thì quãng đường ngắn nhất mà người đó phải di
chuyển để đến được vị trí có thể sử dụng Wifi là
1m
.
Câu 3. Một xe ô tô đang chạy với vận tốc
72
/km h
thì người lái xe bất ngờ phát hiện chướng ngại vật
trên đường cách đó
50 m
. Người lái xe phải xử lý mất 2 giây mới đưa ra được quyết định đạp phanh
khẩn cấp. Kể từ thời điểm này, ô tô chuyển động chậm dần đều với tốc độ
( ) ( )
10 20 /vt t m s=−+
,
trong đó
t
là thời gian tính bằng giây kể từ lúc đạp phanh. Gọi
( )
st
là quãng đường xe ô tô đi được
trong
t
(giây) kể từ lúc đạp phanh.
a) Quãng đường
( )
st
mà xe ô tô đi được trong thời gian
t
(giây) là một nguyên hàm của hàm số
( )
vt
.
b)
( )
2
5 20st t t=−+
.
c) Thời gian kể từ lúc đạp phanh đến khi xe ô tô dừng hẳn là
20
giây.

3/5 - Mã đề 0101
d) Xe ô tô đó không va vào chướng ngại vật ở trên đường.
Câu 4. Một kỹ sư thiết kế một bình chứa nhiên liệu có thể đặt dưới thân máy bay trực thăng để mở
rộng tầm bay của nó. Sau một số thử nghiệm trên bản vẽ, người này quyết định tạo hình cho bình chứa
bằng cách quay đồ thị hàm số
( )
2
16
x
f x a bx
=+−
, với
44x−≤ ≤
quanh trục
Ox
(đơn vị:
3
m
). Biết đồ
thị hàm số
(
)
y fx
=
đi qua hai điểm
( )
0;1A
và
(
)
4; 0
B
.
a) Giá trị của
2ab+=
.
b) Hàm số
( )
fx
đạt giá trị lớn nhất tại
0
x
=
.
c) Bình chứa nhiên liệu có thể chứa tối đa
3
16
m
.
d) Chiếc máy bay trực thăng này có mức tiêu thụ nhiên liệu thay đổi theo quãng đường bay. Khi bắt
đầu hành trình, máy bay tiêu thụ
2,5
lít nhiên liệu cho mỗi kilomet. Mức tiêu thụ nhiên liệu sau đó
tăng lên một cách tuyến tính, cứ mỗi kilomet bay thêm thì mức tiêu thụ lại tăng thêm
0,008
lít/km.
Bình chứa nhiên liệu cần phải đảm bảo luôn có
25%
dung tích được giữ lại làm nhiên liệu dự phòng,
biết rằng bình chứa được đổ đầy nhiên liệu. Quãng đường tối đa mà máy bay có thể bay được (theo
kilomet) trước khi cần tiếp nhiên liệu và vẫn đảm bảo lượng nhiên liệu dự phòng theo yêu cầu là
1304
km (kết quả làm tròn đến hàng đơn vị).
PHẦN III. Câu trắc nghiệm trả lời ngắn (3,0 điểm). Thí sinh trả lời từ câu 1 đến câu 6.
Câu 1. Trong không gian với một hệ trục toạ độ cho trước (đơn vị đo lấy theo kilômét), ra đa phát hiện
một chiếc máy bay di chuyển với vận tốc và hướng không đổi từ điểm
(800;500;7)A
đến điểm
(940;550;8)B
trong 10 phút. Nếu máy bay tiếp tục giữ nguyên vận tốc và hướng bay thì toạ độ của
máy bay sau 10 phút tiếp theo là
( )
1080;600;Dz
. Hỏi giá trị
z
bằng bao nhiêu?
Câu 2. Thầy Nguyên muốn cải thiện thu nhập bằng cách kinh doanh thêm đồ uống trà sữa. Sau khi
khảo sát thị trường, thầy ước tính là nếu giá 1 ly trà sữa 20 (ngàn đồng) thì trung bình hàng tháng có
khoảng 1000 lượt khách tới uống nước tại quán, trung bình mỗi khách lại trả thêm 10 (ngàn đồng) tiền
bánh tráng trộn để ăn kèm. Nay thầy muốn tăng thêm mỗi ly trà sữa 5 (ngàn đồng) thì sẽ mất khoảng
100 khách trong tổng số trung bình. Hỏi giá 1 ly trà sữa nên là bao nhiêu nghìn đồng để tổng thu nhập
lớn nhất (giả sử tổng thu chưa trừ vốn).
Câu 3. Để đặc trưng cho độ to nhỏ của âm, người ta đưa ra khái niệm mức cường độ của âm. Một đơn
vị thường dùng để đo mức cường độ của âm là đề xi ben (viết tắt là dB). Khi đó mức cường độ L của
âm được tính theo công thức:
10log
o
I
L
I
=
. Trong đó, I là cường độ của âm tại thời điểm đang xét,
o
I
cường độ âm ở ngưỡng nghe (
12 2
10 w /
o
Im
−
=
). Tại một giao lộ, có 7 chiếc xe ô tô cùng bóp còi, và
người ta đo được mức cường độ âm do 7 chiếc còi xe phát ra là 93 dB. Khi 7 chiếc ô tô đang bóp còi
thì 3 chiếc cùng lúc không bóp còi nữa. Hỏi rằng khi đó mức cường độ âm còn lại là bao nhiêu dB
(làm tròn đến hàng phần chục)?
Câu 4. Hiện nay, nước ta đang trong quá trình tinh gọn bộ máy nhà nước và thực hiện nghị quyết
không tổ chức công an cấp huyện. Do vậy, trong đợt điều động cán bộ công an từ huyện về công tác tại
cơ sở hoặc công tác tại công an tỉnh, phòng tổ chức cán bộ nhận thấy rằng:
Có 60% cán bộ có nguyện vọng về công tác tại cơ sở là các xã vùng sâu vùng xa, số còn lại
nguyện vọng về công tác tại công an tỉnh.
Trong số cán bộ có nguyện vọng về công tác tại cơ sở thì 70% có trình độ đại học và 30% có trình
độ trung cấp.
Trong số cán bộ có nguyện vọng về công an tỉnh thì 80% có trình độ đại học và 20% có trình độ
trung cấp.
Đề thi thử tốt nghiệp môn Toán trường Kon Tum
VnDoc.com xin gửi tới bạn đọc bài viết Đề thi thử tốt nghiệp THPT Quốc gia 2025 môn Toán trường THPT Kon Tum có đáp án để bạn đọc cùng tham khảo. Đề thi gồm có 12 câu hỏi trắc nghiệm nhiều phương án lựa chọn, 4 câu hỏi trắc nghiệm đúng sai và 6 câu hỏi trắc nghiệm trả lời ngắn. Thí sinh làm bài trong thời gian 90 phút. Đề có đáp án và lời giải chi tiết kèm theo. Mời các bạn cùng theo dõi đề thi dưới đây để có thêm tài liệu ôn thi kì Thi THPT Quốc gia sắp tới nhé.