Đề thi thử tốt nghiệp THPT 2025 môn Toán Sở GD&ĐT Quảng Ninh
Thi THPT Quốc gia 2025
Lớp:
THPT Quốc gia
Môn:
Toán
Dạng tài liệu:
Đề thi
Loại:
Tài liệu Lẻ
Loại File:
PDF
Phân loại:
Tài liệu Tính phí

Trang 1/4 - Mã đề 0101
SỞ GIÁO DỤC VÀ ĐÀO TẠO
QUẢNG NINH
KỲ THI THỬ TỐT NGHIỆP THPT NĂM 2025
Môn thi: TOÁN
ĐỀ THI THỬ
(Đề thi có 04 trang)
Thời gian làm bài: 90 phút, không kể thời gian phát đề
Họ và tên thí sinh:……………………………………………
Mã đề thi: 0101
Số báo danh:………………………………………………….
PHẦN I. Câu trắc nghiệm nhiều phương án lựa chọn. Thí sinh trả lời từ câu 1 đến câu 12. Mỗi câu thí
sinh chỉ chọn một phương án.
Câu 1. Cho cấp số nhân có và công bội . Số hạng đầu tiên bằng:
( )
n
u
3
12u
2q
1
u
A. B. C. D.
3.
8.
4.
6.
Câu 2. Họ nguyên hàm của hàm số là:
( ) sinf x x
A. B.
( )d cos .f x x x C
( )d tan .f x x x C
C. D.
( )d cos .f x x x C
( )d cot .f x x x C
Câu 3. Cho hàm số . Đường tiệm cận xiên của đồ thị hàm số đã cho là:
3
2 1
2
y x
x
A. B. C. D.
2 1.y x
2 1.y x
2 1.y x
2 1.y x
Câu 4. Khảo sát thời gian tự học bài ở nhà của học sinh khối 12 ở trường X, ta thu được bảng sau:
Phương sai của mẫu số liệu ghép nhóm (làm tròn kết quả đến hàng đơn vị) là:
A. B. C. D.
874.
873.
875.
872.
Câu 5. Cho tứ diện hai điểm theo thứ tự là trung
,ABCD
,M N
điểm của Điểm trung điểm đoạn thẳng (tham khảo
, .AB CD
G
MN
hình vẽ bên). Phát biểu nào sau đây sai?
A.
.AD BC AC BD
B.
0.GA GB GC GD
C.
.AD BC AC DB
D.
2 .AD BC MN
Câu 6. Tập nghiệm của bất phương trình là:
0,5
log ( 7) 2 0x
A. B. C. D.
7;11 .
7;11 .
11; .
;11 .
Câu 7. Cho hình chóp có đáy là hình thang
.S ABCD
ABCD
vuông tại và đường thẳng vuông
A
,B
2 2 ,AD AB BC
SA
góc với mặt phẳng đáy (tham khảo hình vẽ bên). Mặt phẳng nào
sau đây vuông góc với mặt phẳng ?
( )SCD
A. B.
( ).SAB
( ).SBD
C. D.
( ).SAD
( ).SAC
Câu 8. Phương trình có các nghiệm là:
sin 1
3
x
A. B.
2
2 ( ).
3
x k k
2 ( ).
6
x k k
C. D.
( ).
6
x k k
2 ( ).
6
x k k

Trang 2/4 - Mã đề 0101
Câu 9. Trong không gian với hệ tọa độ cho đường thẳng có phương trình .
,Oxyz
d
1 2 2
3 4 2
x y z
Véctơ nào sau đây là một vectơ chỉ phương của đường thẳng ?
d
A. B. C. D.
4
(3;4;2).u
2
(3;4; 2).u
3
(6;8;4).u
1
( 9;12; 6).u
Câu 10. Trong không gian với hệ tọa độ cho điểm và mặt phẳng
,Oxyz
(2; 3;1)M
Mặt phẳng đi qua điểm và song song với mặt phẳng có phương trình là:
( ) : 2 2 3 0.P x y z
M
( )P
A. B.
2 2 11 0.x y z
2 2 1 0.x y z
C. D.
2 2 11 0.x y z
2 2 11 0.x y z
Câu 11. Cho hàm số (với ) có đồ thị như hình
ax b
y
cx d
0, 0c ad bc
vẽ bên. Khẳng định nào sau đây đúng?
A. và
lim ( )
x
f x
lim ( ) .
x
f x
B. và
1
lim ( )
x
f x
1
lim ( ) .
x
f x
C. Đồ thị hàm số có hai điểm cực trị.
D. Hàm số đồng biến trên khoảng
( ; ).
Câu 12. Cho hai hàm số liên tục trên đoạn Xét hình phẳng giới hạn bởi
( ), ( )y f x y g x
[ ; ].a b
( )H
các đồ thị và hai đường thẳng Diện tích hình phẳng là:
( ), ( )y f x y g x
, .x a x b
( )H
A. B. C. D.
( ) ( )d .
b
a
f x g x x
( ) ( ) d .
b
a
f x g x x
( ) ( )d .
a
b
f x g x x
( ) ( )d .
b
a
f x g x x
PHẦN II. Câu trắc nghiệm đúng sai. Thí sinh trả lời từ câu 1 đến câu 4. Trong mỗi ý a), b), c), d) ở
mỗi câu, thí sinh chọn đúng (Đ) hoặc sai (S).
Câu 1. Một tên lửa phóng thẳng đứng từ mặt đất với vận tốc ban đầu Gia tốc của tên lửa (do
0
50m/s.v
lực đẩy và trọng lực) phụ thuộc vào thời gian theo công thức Sau thời gian , tên
2
( ) 10 2 (m/s ).a t t
10s
lửa hết nhiên liệu và tiếp tục bay với gia tốc
2
.9,8m/sa
a) Vận tốc của tên lửa đạt được tại thời điểm là
10st
50m/s.
b) Độ cao của tên lửa đạt được tại thời điểm là
10st
660m.
c) Tên lửa đạt độ cao lớn nhất tại thời điểm (làm tròn kết quả đến hàng đơn vị).
15st
d) Độ cao lớn nhất tên lửa đạt được (làm tròn kết quả đến hàng đơn vị) là
766m.
Câu 2. Một tàu thăm dò tự hành (AUV) đang hoạt động dưới biển sâu. Hệ tọa độ được thiết lập
Oxyz
với mặt nước biển yên tĩnh là mặt phẳng trục hướng thẳng đứng xuống dưới (độ sâu ),
,Oxy
Oz
0z
đơn vị tính bằng hectômét (hm). AUV bắt đầu hành trình từ vị trí và dự định di chuyển theo
8;6;1A
đường thẳng đến vị trí cuối Trong hành trình của mình AUV cần tránh một khu vực hình
.4; 2; 2B
cầu , tâm tại điểm , bán kính hm (khu vực có thiết bị nhạy cảm).
S
2; 4;2K
1R
a) Đường thẳng chứa hành trình của AUV có phương trình
8 6 1
.
4 8 1
x y z
b) Mặt cầu có phương trình
( )S
2 2 2
( 2) ( 4) ( 2) 1.x y z
c) Trên hành trình AUV luôn cách tâm một khoảng lớn hơn bán kính
K
.R
d) Hành trình của AUV không đi qua khu khu vực có thiết bị nhạy cảm hình cầu
( ).S
Câu 3. Một hệ thống AI được sử dụng để kiểm tra đạo văn trong các bài viết học sinh nộp. Theo thống
kê: có bài viết là đạo văn, bài viết là chính chủ (không đạo văn). Phần mềm kiểm tra có độ
1%
99%
chính xác như sau: Nếu bài viết là đạo văn, phần mềm phát hiện đúng với xác suất Nếu bài viết là
98%;
chính chủ, phần mềm cảnh báo nhầm là đạo văn với xác suất Kiểm tra ngẫu nhiên một bài viết của
3%.
học sinh nộp.

Trang 3/4 - Mã đề 0101
Gọi A là biến cố “Bài viết thực sự là đạo văn”.
Gọi B là biến cố “Phần mềm cảnh báo bài viết là đạo văn”.
a) Xác suất .
( ) 0,0395P B
b) Xác suất và .
( ) 0,01P A
( ) 0,99P A
c) Xác suất có điều kiện
( | ) 0,7.P A B
d) Trong số những bài viết bị phần mềm cảnh báo là đạo văn, có nhiều khả năng là bài viết chính chủ
hơn là đạo văn.
Câu 4. Cho hàm số
9
1 .
2
y x
x
a) Tập xác định của hàm số là
\ 2 .
b) Hàm số có đạo hàm là
2
9
' 1 , 2.
2
y x
x
c) Hàm số đồng biến trên các khoảng và
; 5
1; .
d) Hàm số có giá trị cực đại lớn hơn giá trị cực tiểu.
PHẦN III. Câu trắc nghiệm trả lời ngắn. Thí sinh trả lời từ câu 1 đến câu 6.
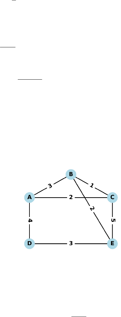
Câu 1. Tại một khu trung tâm dữ liệu, kỹ sư IT cần kiểm tra kết nối giữa các máy chủ trong hệ thống
gồm các trạm . Các tuyến cáp quang nối giữa các trạm được biểu diễn trong sơ đồ sau,
, , , , A B C D E
với con số ghi trên mỗi tuyến là chiều dài dây cáp (đơn vị: km).
Kỹ sư cần thực hiện một hành trình bắt đầu từ một trạm bất kỳ, đi qua tất cả các tuyến cáp ít nhất một
lần và kết thúc tại đúng trạm khởi hành, nhằm đảm bảo toàn bộ hệ thống được kiểm tra. Tổng chiều dài
đường đi ngắn nhất mà kỹ sư cần di chuyển là bao nhiêu km?
Câu 2. Một công ty đang triển khai chiến dịch quảng cáo sản phẩm mới. Số tiền đầu tư quảng cáo là
A
(triệu đồng). Theo kết quả nghiên cứu thị trường, số lượng sản phẩm bán ra (đơn vị: sản phẩm) phụ thuộc
vào chi phí quảng cáo theo hàm:
1013
1000 ln 1
5
q A A
Biết rằng, chi phí sản xuất mỗi sản phẩm là 10 triệu đồng và giá bán mỗi sản phẩm là 20 triệu đồng.
Giá trị lợi nhuận tối đa mà công ty có thể đạt được là bao nhiêu tỉ đồng (làm tròn kết quả đến hàng phần
mười)?
Câu 3. Một người tham gia trò chơi với hộp quà đặc biệt: Hộp màu vàng có điện thoại iPhone và
3
2
3
tai nghe, hộp màu bạc có điện thoại iPhone và tai nghe và hộp màu đồng có điện iPhone và tai
4
1
3
2
nghe. Luật chơi được thực hiện qua hai bước sau:
Bước 1. Người chơi chọn ngẫu nhiên hộp.
1
Bước 2. Từ hộp đã chọn, người chơi lấy ngẫu nhiên món quà:
1
- Nếu quà là điện thoại iPhone, người chơi được giữ nó và lấy thêm quà nữa từ cùng hộp.
1
- Nếu quà là tai nghe, trò chơi kết thúc.
Biết rằng người chơi lấy được điện thoại iPhone, tính xác suất để người đó lấy từ hộp màu bạc (làm
2
tròn kết quả đến hàng phần mười).
Đề thi thử tốt nghiệp môn Toán Sở Quảng Ninh
Đề thi thử tốt nghiệp THPT Quốc gia 2025 môn Toán Sở GD&ĐT Quảng Ninh có đáp án là tài liệu hữu ích giúp bạn đọc có thể trau dồi, luyện tập nội dung kiến thức chuẩn bị thật tốt cho kì Thi THPT Quốc gia sắp tới nhé. Bài viết được tổng hợp gồm có 2 mã đề thi. Đề thi được biên soạn theo cấu trúc đề thi mới. Mỗi đề thi gồm có 12 câu hỏi trắc nghiệm nhiều phương án lựa chọn, 4 câu hỏi trắc nghiệm đúng sai và 6 câu hỏi trắc nghiệm trả lời ngắn. Thí sinh làm bài trong thời gian 90 phút. Đề có đáp án kèm theo. Mời các bạn cùng theo dõi đề thi dưới đây.