Đề thi thử tốt nghiệp THPT 2025 môn Toán Sở GD&ĐT Yên Bái
Thi THPT Quốc gia 2025
Lớp:
THPT Quốc gia
Môn:
Toán
Dạng tài liệu:
Đề thi
Loại:
Tài liệu Lẻ
Loại File:
PDF
Phân loại:
Tài liệu Tính phí



Đề thi thử tốt nghiệp môn Toán Sở Yên Bái
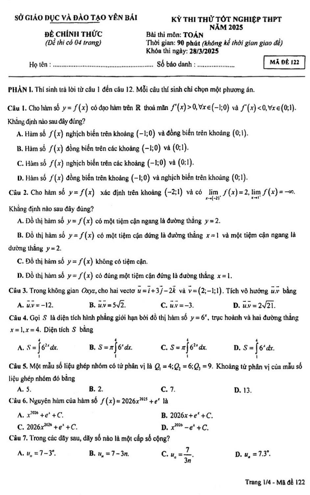
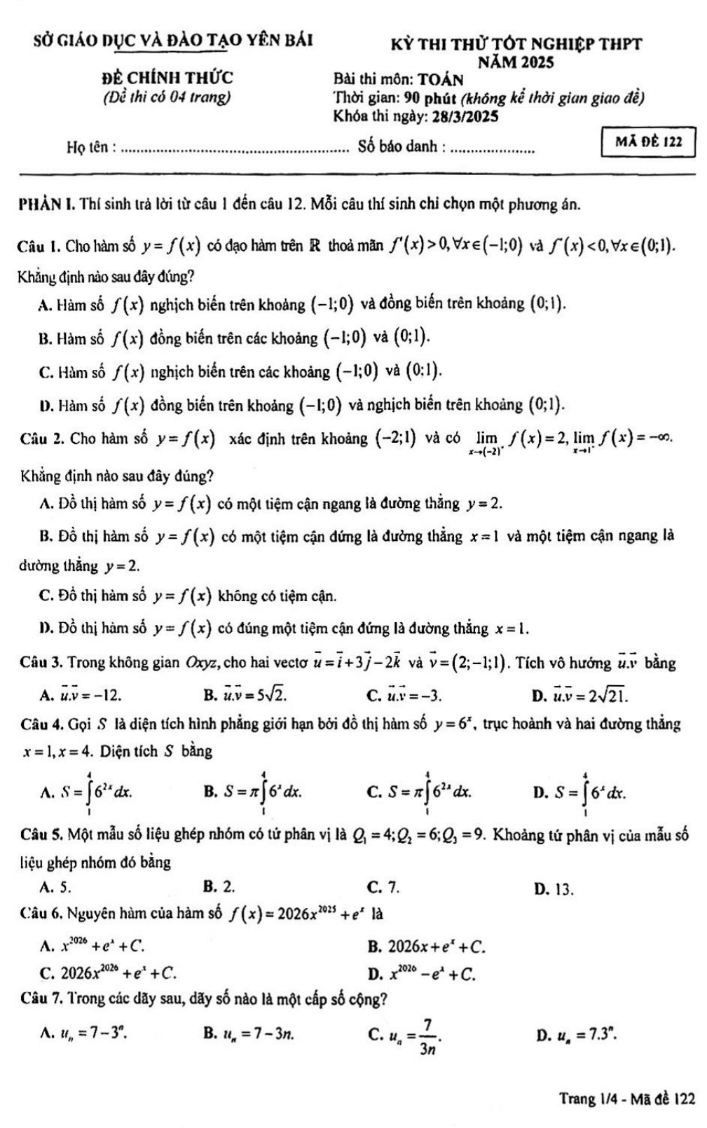
VnDoc.com xin gửi tới bạn đọc bài viết Đề thi thử tốt nghiệp THPT Quốc gia 2025 môn Toán Sở GD&ĐT Yên Bái để bạn đọc cùng tham khảo. Đề thi được biên soạn theo cấu trúc đề thi mới. Mỗi đề thi gồm có 12 câu hỏi trắc nghiệm nhiều phương án lựa chọn, 4 câu hỏi trắc nghiệm đúng sai và 6 câu hỏi trắc nghiệm trả lời ngắn. Thí sinh làm bài trong thời gian 90 phút. Mời các bạn cùng theo dõi đề thi dưới đây để có thêm tài liệu ôn thi kì Thi THPT Quốc gia sắp tới nhé.