Đề thi thử THPT Quốc gia 2024 môn Toán lần 2 Sở GD&ĐT Thái Bình
Thi THPT Quốc gia 2024
Lớp:
THPT Quốc gia
Môn:
Toán
Dạng tài liệu:
Đề thi
Loại:
Tài liệu Lẻ
Loại File:
PDF
Phân loại:
Tài liệu Tính phí



Đề thi thử tốt nghiệp THPT Quốc gia 2024 môn Toán lần 2 Sở GD&ĐT Thái Bình
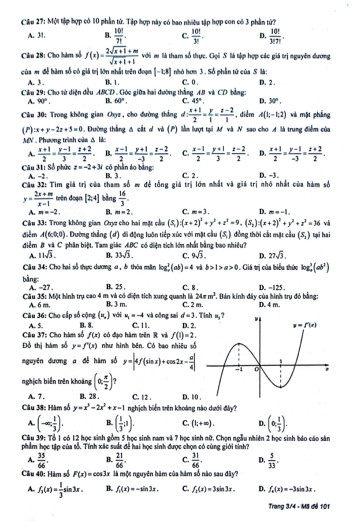
Đề thi thử THPT Quốc gia 2024 môn Toán lần 2 Sở GD&ĐT Thái Bình được VnDoc.com tổng hợp và gửi tới bạn đọc. Bài viết được tổng hợp gồm có 50 câu hỏi trắc nghiệm. Thí sinh làm bài trong thời gian 90 phút. Đề có đáp án và lời giải chi tiết kèm theo. Mời các bạn cùng theo dõi và tham khảo thêm đề thi các môn tại mục Thi THPT Quốc gia nhé.