Đề thi thử THPT Quốc gia 2024 môn Toán bám sát đề minh họa - Đề 1
Thi THPT Quốc gia 2024
Lớp:
THPT Quốc gia
Môn:
Toán
Dạng tài liệu:
Đề thi
Loại:
Tài liệu Lẻ
Mức độ:
Trung bình
Loại File:
PDF
Phân loại:
Tài liệu Tính phí

ĐỀ PHÁT TRIỂN TỪ ĐỀ MINH HỌA
ĐỀ THI THAM KHẢO
SỐ 1
KỲ THI TỐT NGHIỆP THPT NĂM 2024
Bài thi: TOÁN
Thời gian làm bài: 90 phút, không kể thời gian phát đề
Họ, tên thí sinh:………………………………………
Số báo danh:…………………………………………
Câu 1: Cho hàm số
y f x
có bảng biến thiên như sau
Giá trị cực đại của hàm số đã cho bằng
A. 0 . B. 5 . C. 4 . D. 2 .
Câu 2: Cho
24
12
d 1; d 3f x x f x x
. Tích phân
4
1
df x x
bằng
A. 2 . B. -3 . C. -4 . D. 4 .
Câu 3: Với
a
là số thực dương bất kì, mệnh đề nào dưới đây đúng?
A.
log 3 3logaa
B.
3
1
log log
3
aa
C.
3
log 3logaa
D.
1
log 3 log
3
aa
Câu 4: Trong không gian
Oxyz
, vec tơ nào dưới đây có giá song song hoặc trùng với trục
Oz
?
A.
1
0;0; 1u
. B.
2
1;0;0u
. C.
3
0;1;0u
. D.
4
1; 1;0u
.
Câu 5: Cho hàm số
y f x
có đồ thị như hình vẽ bên. Đường tiệm cận ngang có phương trình
A.
1y
. B.
1y
. C.
2y
. D.
2y
.
Câu 6: Đường cong trong hình vẽ bên là đồ thị của hàm số nào dưới đây?
A.
42
22y x x
. B.
42
22y x x
. C.
32
32y x x
. D.
32
32y x x
.

Câu 7: Tập nghiệm của bất phương trình
26
22
xx
là
A.
0;6
. B.
;6
. C.
0;64
. D.
6;
.
Câu 8: Trong không gian
Oxyz
, mặt phẳng
: 2 1 0x y z
đi qua điểm nào dưới đây?
A.
1;0;0M
B.
0; 2;0N
. C.
1; 2;1P
. D.
1;2; 1Q
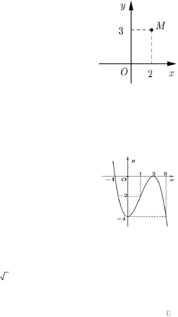
Câu 9: Trong mặt phẳng tọa độ, cho điểm
M
là điểm biểu diễn số phức
z
như hình vẽ sau:
Phần thực của số phức
z
bằng
A. -3 . B. -2 . C. 2 . D. 3 .
Câu 10: Trong không gian
Oxyz
, mặt cầu
2 2 2
: ( 2) 9S x y z
có diện tích bằng
A.
36
. B.
9
. C.
12
. D.
18
.
Câu 11: Cho
a
và
b
là hai số thực dương thỏa mãn
2
9ab
. Giá trị của biểu thức
33
log 2logab
bằng
A. 6 . B. 3 . C. 2 . D. 1 .
Câu 12: Cho hàm số
32
y f x ax bx cx d
có đồ thị như hình vẽ dưới đây.
Hàm số
y f x
đồng biến trên khoảng nào?
A.
2;
. B.
;1
. C.
1;1
. D.
0;1
.
Câu 13: Cho hình nón có diện tích xung quanh bằng
2
3 a
và bán kính đáy bằng
a
. Độ dài đường sinh của
hình nón là
A.
22a
. B.
3a
. C.
2a
. D.
1,5a
.
Câu 14: Các số thực
,ab
tùy ý thỏa mãn
3 10
b
a
. Giá trị của
ab
bằng
A.
3
log 10
. B.
10
log 3
. C.
3
10
. D.
10
3
.
Câu 15: Hàm số nào trong các hàm số sau đây nghịch biến trên ?
A.
5
logyx
B.
5
x
y
. C.
(0,5)
x
y
. D.
0,5
logyx
.
Câu 16: Trong không gian
Oxyz
, cho hai điểm
1;0;3 , 3;2; 1AB
. Tọa độ trung điểm của
AB
là:
A.
4;2;2
. B.
2;2; 4
. C.
1;1; 2
. D.
2;1;1
.

Câu 17: Cho hàm số
fx
có đạo hàm
24
2 1 ( 2) (3 1) ,f x x x x x
. Số điểm cực trị của đồ thị
hàm số
fx
là
A. 0 . B. 2 . C. 3 . D. 1 .
Câu 18: Họ nguyên hàm của hàm số
2
1
cos
sin
f x x
x
là
A.
sin cotx x C
. B.
sin cotx x C
. C.
sin cotx x C
. D.
sin cotx x C
.
Câu 19: Nếu
3
1
d2f x x
thì
3
1
2df x x x
bằng
A. 20 . B. 10 . C. 18 . D. 12 .
Câu 20: Khối chóp tứ giác
.S ABCD
có đáy là hình vuông cạnh bằng
6,a SCD
đều và nằm trong mặt
phẳng vuông góc với đáy có thể tích bằng
A.
3
36 2a
. B.
3
108 3a
. C.
3
36 3a
. D.
3
36a
.
Câu 21: Các số thực
,
xy
thoả mãn
1 2 2 1x yi y x i
là:
A.
1; 0xy
. B.
1; 0xy
. C.
1; 2xy
. D.
2; 1xy
.
Câu 22: Cho hình nón có diện tích xung quanh bằng
2
6 a
và bán kính đáy
2ra
. Độ dài đường sinh của
hình nón bằng
A.
13a
. B.
6a
C.
3a
. D.
4a
.
Câu 23: Có bao nhiêu cách chọn một học sinh nam và một học sinh nữ từ một nhóm gồm 7 học sinh nam và
8 học sinh nữ
A. 15 . B. 7 . C. 8 . D. 56 .
Câu 24: Biết
Fx
là một nguyên hàm của hàm số
2x
f x e
và
00F
. Giá trị của
ln3F
bằng
A. 2 B. 6 . C. 8 . D. 4 .
Câu 25: Hàm số
fx
có bảng biến thiên như sau:
Phương trình
0f x m
có bốn nghiệm thực phân biệt khi và chỉ khi
A.
1m
. B.
1m
. C.
1m
. D.
1m
.
Câu 26: Cho hình trụ có diện tích xung quanh bằng
50
và độ dài đường sinh bằng đường kính của đường
tròn đáy. Bán kính
r
của hình trụ đã cho bằng
A.
52
2
. B. 5. C.
52
2
. D.
5
.
Câu 27: Cấp số cộng
n
u
hữu hạn có số hạng đầu
1
5u
, công sai
5d
và số hạng cuối là
100
. Cấp số
cộng đã cho có bao nhiêu số hạng
A. 20 . B. 22 . C. 23 . D. 21 .
Câu 28: Gọi
11
,zz
là hai nghiệm phức của phương trình
2
6 13 0zz
với
1
z
có phần ảo âm. Giá trị của
12
3zz
bằng
A.
12 4i
. B.
4 12i
. C.
4 12i
. D.
12 4i
.
Câu 29: Cho số phức
z
thỏa mãn
23z i z i
. Mô đun của
z
bằng:
A.
5
. B.
5
. C.
3
. D.
3
.
Đề thi thử bám sát đề minh họa 2024 môn Toán - Đề 1
Đề thi thử THPT Quốc gia 2024 môn Toán bám sát đề minh họa - Đề 1 được VnDoc.com sưu tầm và xin gửi tới bạn đọc cùng tham khảo để có thêm tài liệu ôn thi kì thi tốt nghiệp THPT sắp tới nhé.
Đề được tổng hợp gồm có 50 câu hỏi trắc nghiệm, thí sinh làm bài trong thời gian 90 phút. Đề có đáp án và lời giải chi tiết kèm theo. Mời các bạn cùng tham khảo thêm nhiều đề thi hơn tại mục Thi THPT Quốc gia.