Cách xác định hệ số hàm bậc ba dựa vào đồ thị hàm số
Cách tìm hệ số a b c d của hàm bậc ba qua đồ thị
Trong các bài toán hàm số bậc ba Toán 12, dạng xác định hệ số của hàm số dựa vào đồ thị xuất hiện thường xuyên và đòi hỏi khả năng quan sát, phân tích đặc điểm hình học một cách chính xác. Việc nắm rõ mối liên hệ giữa đồ thị và các hệ số giúp học sinh xử lý nhanh các câu hỏi trắc nghiệm cũng như bài tập tự luận. Bài viết này hướng dẫn cách làm hiệu quả kèm bài tập minh họa có đáp án.
A. Dạng bài đọc đồ thị hàm bậc ba Toán 12
Áp dụng: Hàm số
\(y = ax^{3} +
bx^{2} + cx + d\) có 2 điểm cực trị.
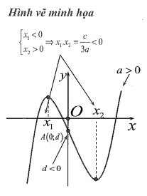
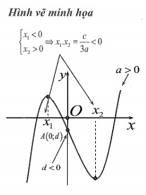
Quy trình xác định:
|
* Xác định hệ số
* Xác định hệ số
|
![]() |
|
* Xác định hệ số
* Xác định hệ số |
![]() |
|
B. Ví dụ minh họa xác định hệ số hàm bậc ba
Ví dụ 1. Cho hàm số
\(y = \ a\ x^{3} + 3x +
d\ \ \ \left( a\ ,\ d\mathbb{\ \in \ R} \right)\) có đồ thị như hình bên.

Mệnh đề nào dưới đây đúng?
A.
\(a\ > \ 0\ ;\ \ d\ > \
0\). B.
\(a\ < \ 0\ ;\ \ d\ > \
0\).
C.
\(a\ > \ 0\ ;\ \ d\ < \
0\). D.
\(a\ < \ 0\ ;\ \ d\ < \
0\).
Phân tích hướng dẫn giải
Đây là dạng toán xét dấu hệ số hàm số khi biết đồ thị hàm số và nhận dạng đồ thị hàm số.
⬥ Xác định hệ số
\(a\): Dựa vào hình dáng đồ thị hàm số bậc ba
+
\(\lim_{x \rightarrow + \infty}y = +
\infty \Rightarrow a > 0;\lim_{x \rightarrow + \infty}y = - \infty
\Rightarrow a < 0\)
⬥ Xác định hệ số
\(d\): Dựa vào vị trí giao điểm của đồ thị với trục tung.
Giao điểm của đồ thị với trục tung nằm trên trục hoành
\(\Rightarrow d\ > \ 0\).
Giao điểm của đồ thị với trục tung nằm dưới trục hoành
\(\Rightarrow d\ < \ 0\).
Hướng giải toán
B1: Dựa vào hình dáng của đồ thị để xác định dấu của hệ số
\(a\).
B2: Dựa vào giao điểm của đồ thị với trục tung để xác định dấu của hệ số
\(d\).
Giao điểm của đồ thị với trục tung nằm dưới trục hoành nên hệ số
\(d\ < \ 0\).
Từ đó, ta có thể giải bài toán cụ thể như sau:
Lời giải
Chọn D
Dựa vào hình dáng đồ thị hàm số bậc ba, ta có hệ số
\(a\ < \ 0\), loại đáp án A và C.
Giao điểm của đồ thị với trục tung nằm dưới trục hoành nên hệ số
\(d\ < \ 0\), loại B.
Ví dụ 2. Hàm số
\(y = ax^{3} + bx^{2} + cx
+ d\) có đồ thị như hình vẽ bên.

Mệnh đề nào sau đây là đúng?
A.
\(a > 0,\ b > 0,\ c < 0,\ d
> 0\). B.
\(a < 0,\ b < 0,\ c < 0,\ d
< 0\).
C.
\(a > 0,\ b < 0,\ c < 0,\ d
> 0\). D.
\(a > 0,\ b > 0,\ c > 0,\ d
< 0\).
Hướng dẫn giải
Chọn C
Đồ thị hàm số thể hiện
\(a > 0\); cắt trục tung tại điểm có tung độ dương nên
\(d > 0\).
Hàm số có
\(- 1 < x_{CD} < 0,\ x_{CT}
> 1\overset{}{\rightarrow}\left\{ \begin{matrix}
x_{CD} + x_{CT} > 0 \\
x_{CD}.x_{CT} < 0
\end{matrix} \right.\).
\((*)\)
Ta có
\(y' = 3ax^{2} + 2bx + c =
0.\) Do đó
\((*) \leftrightarrow
\left\{ \begin{matrix}
- \frac{2b}{3a} > 0\overset{}{\rightarrow}\frac{b}{a} <
0\overset{a > 0}{\rightarrow}b < 0 \\
\frac{c}{3a} < 0\overset{}{\rightarrow}\frac{c}{a} < 0\overset{a
> 0}{\rightarrow}c < 0
\end{matrix} \right.\ .\)
Vậy
\(a > 0,\ b < 0,\ c < 0,\ d
> 0.\)
Ví dụ 3. Cho biết hàm số
\(y = ax^{3} +
bx^{2} + cx + d\) có đồ thị như hình vẽ bên.

Trong các khẳng định sau, khẳng định nào đúng?
A.
\(\left\{ \begin{matrix}
a > 0 \\
b^{2} - 3ac < 0
\end{matrix} \right.\). B.
\(\left\{
\begin{matrix}
a < 0 \\
b^{2} - 3ac < 0
\end{matrix} \right.\).
C.
\(\left\{ \begin{matrix}
a < 0 \\
b^{2} - 3ac > 0
\end{matrix} \right.\). D.
\(\left\{
\begin{matrix}
a > 0 \\
b^{2} - 3ac > 0
\end{matrix} \right.\).
Hướng dẫn giải
Chọn D
Từ đồ thị ta thấy có
\(a > 0\) và có 2 cực trị
\(\Rightarrow y' = 3ax^{2} +
2bx + c = 0\) có hai nghiệm phân biệt hay
\(\Delta = 4b^{2} - 12ac > 0 \Leftrightarrow
b^{2} - 3ac > 0.\)
-----------------------------------------
Thông qua việc rèn luyện xác định hệ số hàm bậc ba từ đồ thị, học sinh sẽ hiểu sâu hơn bản chất của hàm số và mối liên hệ giữa đại số với hình học. Đây là nội dung quan trọng giúp củng cố kiến thức Toán 12, hỗ trợ tốt cho kiểm tra định kỳ và ôn thi hiệu quả.

