Đề thi thử THPT Quốc gia năm 2024 môn Toán Sở GD&ĐT Yên Bái
Thi THPT Quốc gia 2024
Lớp:
THPT Quốc gia
Môn:
Toán
Dạng tài liệu:
Đề thi
Loại:
Tài liệu Lẻ
Mức độ:
Trung bình
Loại File:
PDF
Phân loại:
Tài liệu Tính phí



Đề thi thử tốt nghiệp THPT Quốc gia năm 2024 môn Toán Sở Yên Bái
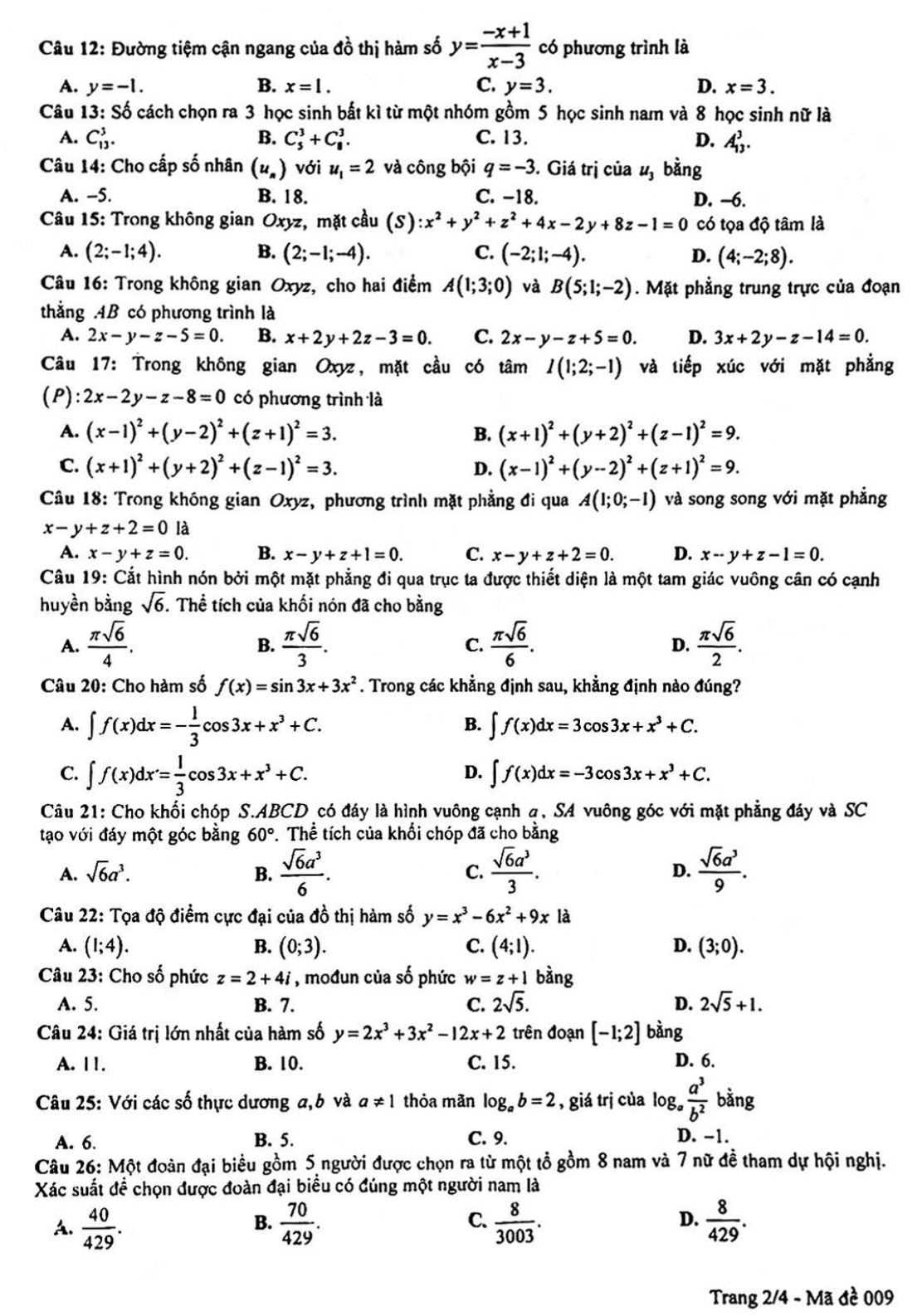
Đề thi thử THPT Quốc gia năm 2024 môn Toán Sở GD&ĐT Yên Bái được VnDoc.com sưu tầm và xin gửi tới bạn đọc cùng tham khảo. Bài viết được tổng hợp gồm có 50 câu hỏi trắc nghiệm, thí sinh làm bài trong thời gian 90 phút. Mời các bạn cùng theo dõi để có thêm tài liệu ôn thi kì thi THPT Quốc gia sắp tới nhé.