Giải vở bài tập Toán 2 bài 94: Luyện tập Bảng nhân 3
Giải vở bài tập Toán 2 bài 94
Giải vở bài tập Toán 2 bài 94: Luyện tập Bảng nhân 3 giúp các em học sinh nắm được cách lập bảng nhân 3 và học thuộc lòng bảng nhân 3 và các bài toán có lời văn. Sau đây mời các em cùng tham khảo chi tiết bài giải.
Hướng dẫn Giải vở bài tập Toán 2 bài 94 câu 1, 2, 3 , 4, 5
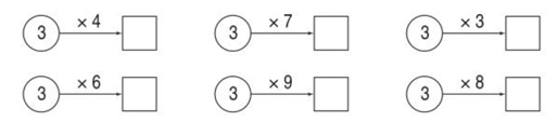
Câu 1: Số?
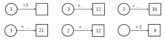
Câu 2. Số ?
Câu 3. Mỗi đĩa có 3 quả cam. Hỏi 8 đĩa như thế có tất cả bao nhiêu quả cam?
Bài giải
…………………………………………………………………………
…………………………………………………………………………
…………………………………………………………………………
Câu 4. Số?
a) 4 ; 6 ; 8 ; 10 ; …. ; ….
b) 9 ; 12 ; 15 ; 18 ; …. ; ….
Câu 5. Số?
Bài giải vở bài tập Toán 2:
Câu 1. Số?
Câu 2. Số?
Câu 3. Mỗi đĩa có 3 quả cam. Hỏi 8 đĩa như thế có tất cả bao nhiêu quả cam?
Tóm tắt
Bài giải
Số quả cam có trong 8 đĩa là:
3 x 8 = 24 (quả)
Đáp số: 24 quả
Câu 4. Số?
a) 4 ; 6 ; 8 ; 10 ; 12 ; 14.
b) 9 ; 12 ; 15 ; 18 ; 21 ; 24.
Câu 5. Số?
Ngoài các bài giải Vở bài tập Toán lớp 2, các em học sinh có thể tham khảo đề thi học kì 1 lớp 2, đề thi học kì 2 lớp 2 đầy đủ, chuẩn bị cho các bài thi đạt kết quả cao. Mời các em cùng tham khảo, luyện tập cập nhật thường xuyên.






