Giải vở bài tập Toán lớp 2 bài 63: 15, 16, 17, 18 trừ đi một số
Giải vở bài tập Toán lớp 2 bài 63: 15, 16, 17, 18 giúp các em học sinh biết cách thực hiện các phép tính để lập bảng trừ 15, 16, 17, 18 trừ đi một số lớp 2. Đồng thời biết thực hiện các phép tính trừ đặt theo cột dọc. Sau đây mời các bạn cùng tham khảo lời giải.
Để tiện trao đổi, chia sẻ kinh nghiệm về giảng dạy và học tập các môn học lớp 2, VnDoc mời các thầy cô giáo, các bậc phụ huynh và các bạn học sinh truy cập nhóm riêng dành cho lớp 2 sau: Nhóm Tài liệu học tập lớp 2. Rất mong nhận được sự ủng hộ của các thầy cô và các bạn.
Lưu ý: Nếu không tìm thấy nút Tải về bài viết này, bạn vui lòng kéo xuống cuối bài viết để tải về.
Giải vở bài tập Toán lớp 2 trang 72
Vở bài tập Toán lớp 2 trang 72 câu 1
Câu 1. Đặt tính rồi tính:
a) 15 - 9 15 - 7 15 - 8 15 - 6
b) 16 - 7 16 - 9 16 - 8 17 - 8
c) 17 - 9 18 - 9 18 - 8 17 - 10
Phương pháp giải:
- Đặt tính: Viết phép tính sao cho các chữ số cùng hàng thẳng cột với nhau.
- Tính: Trừ các số rồi điền kết quả vào chỗ trống.
Lời giải chi tiết:

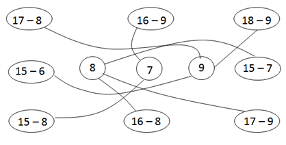
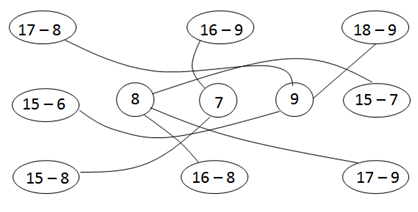
Vở bài tập Toán lớp 2 trang 72 câu 2
Nối phép tính với kết quả của phép tính đó:

Phương pháp giải:
- Tìm giá trị các phép tính.
- Nối phép tính với ô chứa kết quả thích hợp.
Lời giải chi tiết:

Vở bài tập Toán lớp 2 trang 72 câu 3
Câu 3. Tô màu xanh vào các hình tam giác, tô màu đỏ vào hoặc màu vàng vào các hình tứ giác sao cho ba hình đặt kề nhau thì có ba màu khác nhau:

Phương pháp giải:
Trong mỗi hình vuông nhỏ, tìm các hình tam giác và tứ giác rồi tô màu theo yêu cầu đề bài.
Chú ý: Ba hình đặt kề nhau thì có ba màu khác nhau.
Lời giải chi tiết:

...............................................
Đề thi học kì 1 lớp 2 được tải nhiều nhất:
- Bộ 45 đề thi học kì 1 môn Toán lớp 2 năm 2019 - 2020
- Tuyển tập 37 đề thi học kì 1 môn Toán lớp 2
- 19 đề thi học kì 1 môn Tiếng Việt lớp 2 có đáp án
- 58 đề ôn tập học kì 1 môn Toán lớp 2
Đề thi học kì 1 lớp 2 năm 2020 - 2021:
- Đề thi học kì 1 lớp 2 môn Toán năm 2020 - 2021 - Đề 1
- Đề thi học kì 1 lớp 2 môn Toán năm 2020 - 2021 - Đề 2
- Đề thi học kì 1 lớp 2 môn Toán năm 2020 - 2021 - Đề 3
- Đề thi học kì 1 lớp 2 môn Toán năm 2020 - 2021 - Đề 4
- Đề thi học kì 1 lớp 2 môn Toán năm 2020 - 2021 - Đề 5
- Bộ đề thi học kì 1 lớp 2 môn Toán năm 2020 - 2021
- Đề thi học kì 1 lớp 2 môn Toán năm 2020 - 2021 theo Thông tư 22 - Đề 1
- Đề thi học kì 1 lớp 2 môn Toán năm 2020 - 2021 theo Thông tư 22 - Đề 2
- Đề thi học kì 1 lớp 2 môn Toán năm 2020 - 2021 theo Thông tư 22 - Đề 3
- Bộ đề thi học kì 1 lớp 2 môn Toán năm 2020 - 2021 theo Thông tư 22
- Đề thi học kì 1 lớp 2 môn Tiếng Việt năm học 2020 - 2021 theo Thông tư 22
- Đề thi học kì 1 lớp 2 môn Tiếng Việt năm 2020 - 2021 - Đề 1
- Đề thi học kì 1 lớp 2 môn Tiếng Việt năm 2020 - 2021 - Đề 2
- Đề thi học kì 1 lớp 2 môn Tiếng Việt năm 2020 - 2021 - Đề 3
- Bộ đề thi học kì 1 lớp 2 môn Tiếng Việt năm 2020 - 2021
Đề thi học kì 1 lớp 2 Hay chọn lọc:
- Đề thi học kì 1 lớp 2 môn Tiếng Việt năm 2020-2021 - Đề 1
- Đề thi học kì 1 lớp 2 môn Tiếng Việt năm 2020-2021 - Đề 2
- Đề thi học kì 1 lớp 2 môn Tiếng Việt năm 2020-2021 - Đề 3
- Đề thi học kì 1 lớp 2 môn Tiếng Việt năm 2020-2021 - Đề 4
- Bộ đề thi học kì 1 lớp 2 môn Tiếng Việt năm 2020-2021
Ngoài Giải vở bài tập Toán lớp 2 bài 63: 15, 16, 17, 18 trừ đi một số trên. Các bạn có thể tham khảo thêm nhiều đề thi hay và chất lượng, các dạng toán nâng cao hay và khó dành cho các bé học Toán lớp 2 được chắc chắn, củng cố và nắm chắc kiến thức nhất. Ngoài ra, các em có thể tham khảo thêm tài liệu môn Tiếng Việt 2 và giải toán lớp 2 hay Tiếng Anh lớp 2, Giải Tự nhiên và xã hội 2, Bài tập cuối tuần lớp 2,.... để học tốt hơn các chương trình của lớp 2.