Giải bài tập trang 139 SGK Toán 2: So sánh các số tròn trăm
Giải bài tập trang 139 SGK Toán 2: So sánh các số tròn trăm
Giải bài tập trang 139 SGK Toán 2: So sánh các số tròn trăm với đáp án và hướng dẫn giải chi tiết giúp các em học sinh nắm được cách so sánh các số tròn trăm. Đồng thời, nắm được thứ tự các số tròn trăm, biết điền các số tròn trăm vào các dạng bài tập tìm số. Sau đây mời các bạn cùng tham khảo chi tiết.
Giải bài tập trang 136 SGK Toán 2: Luyện tập chung (tiếp theo)
Hướng dẫn giải bài So sánh các số tròn trăm – SGK toán 2 (bài 1, 2, 3 SGK Toán lớp 2 trang 139)
Bài 1: (Hướng dẫn giải bài tập số 1 SGK)
Điền dấu > , <

Hướng dẫn giải
100 < 200
200 > 100
300 < 500
500 > 300
Bài 2: (Hướng dẫn giải bài tập số 2 SGK)
Điền dấu > , < , =
100 .... 200 400 ... 300
300 ... 200 700 ... 800
500 ... 400 900 ... 900
700 ... 900 600 ... 500
500 ... 500 900 ... 1000
Hướng dẫn giải
100 < 200 400 > 300
300 > 200 700 < 800
500 > 400 900 = 900
700 < 900 600 > 500
500 = 500 900 < 1000
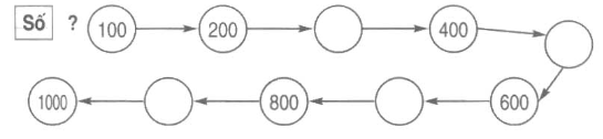
Bài 3: (Hướng dẫn giải bài tập số 3 SGK)
Hướng dẫn giải:

Điền lần lượt các số: 300, 500, 700, 900
>> Bài tiếp theo: Giải bài tập trang 141 SGK Toán 2: Các số tròn chục từ 110 đến 200