Giải vở bài tập Toán 2 bài 101: Luyện tập chung
Giải vở bài tập Toán 2 bài 101
Giải vở bài tập Toán 2 bài 101: Luyện tập chung là lời giải Vở bài tập Toán 2 tập 2 trang 18, 19 có đáp án và lời giải chi tiết giúp các em học sinh luyện tập các dạng Toán về phép nhân, củng cố kỹ năng giải Toán. Mời các em học sinh cùng tham khảo chi tiết.
Giải vở bài tập Toán 2 bài 98: Luyện tập Bảng nhân 5
Giải vở bài tập Toán 2 bài 99: Đường gấp khúc - Độ dài đường gấp khúc
Hướng dẫn Giải vở bài tập Toán 2 bài 101 câu 1, 2, 3, 4, 5
Câu 1: Tính nhẩm:
2 × 5 =..... 5 × 4 =..… 5 × 8 =..…
2 × 9 =..… 3 × 5 =..… 4 × 5 =.…
4 × 8 =..… 3 × 9 =.... 4 × 5 =..…
3 × 6 =..… 3 × 8 =..... 4 × 9 =..…
5 × 5 =..… 2 × 7 =..... 2 × 8 =..…
5 × 9 =.....
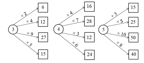
Câu 2. Viết số thích hợp vào chỗ chấm (theo mẫu):
Câu 3. Tính:
a, 3 × 9 + 18 =.................... =.....................…
b, 5 × 5 + 27 =.....................=.......................
c) 5 × 6 − 6 =....................…=.......................
d) 4 × 8 − 19 = ..................…=.......................
Câu 4. Tính độ dài đường gấp khúc sau:
Bài giải
................
Câu 5. Mỗi bàn có 2 bạn ngồi học. Hỏi 10 bàn như thế có bao nhiêu bạn ngồi học?
Bài giải
.................
Bài giải vở bài tập Toán 2:
Câu 1. Tính nhẩm:
2 × 5 = 10 5 × 4 = 20 5 × 8 = 40
2 × 9 = 18 3 × 5 = 15 4 × 5 = 20
4 × 8 = 32 3 × 9 = 27 4 × 5 = 20
3 × 6 = 18 3 × 8 = 24 4 × 9 = 36
5 × 5 = 25 2 × 7 = 14 2 × 8 = 16
5 × 9 = 45
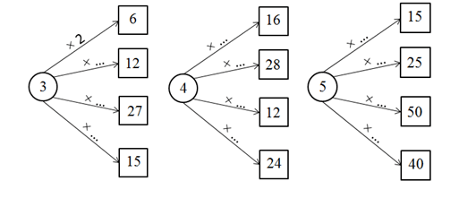
Câu 2. Viết số thích hợp vào chỗ chấm (theo mẫu):
Câu 3. Tính:
a)
3 × 9 + 18 = 27 + 18 = 45
b)
5 × 5 + 27 = 25 + 27 = 52
c)
5 × 6 − 6 = 30 − 6 = 24
d)
4 × 8 − 19 = 32 − 19 = 13.
Câu 4. Tính độ dài đường gấp khúc sau:
Bài giải
Cách 1:
Độ dài đường gấp khúc ABCDE:
3 + 3 + 3 + 3= 12(cm)
Đáp số: 12cm
Cách 2:
Độ dài đường gấp khúc ABCDE:
3 x 4= 12(cm)
Đáp số: 12cm
Câu 5. Mỗi bàn có 2 bạn ngồi học. Hỏi 10 bàn như thế có bao nhiêu bạn ngồi học?
Tóm tắt:
Bài giải
Số bạn ngồi ở 10 bàn là:
2 x 10 = 20 (bạn)
Đáp số: 20 bạn
Ngoài các bài giải Vở bài tập Toán lớp 2, các em học sinh có thể tham khảo đề thi học kì 1 lớp 2, đề thi học kì 2 lớp 2 đầy đủ, chuẩn bị cho các bài thi đạt kết quả cao. Mời các em cùng tham khảo, luyện tập cập nhật thường xuyên.




