Vở bài tập Toán lớp 5 bài 65 Chia một số thập phân cho 10, 100, 1000
Giải vở bài tập Toán 5 bài 65: Chia một số thập phân cho 10, 100, 1000 trang 80, 81 Vở bài tập Toán 5 có đáp án chi tiết cho từng bài tập SBT. Hướng dẫn giải bài tập Toán 5 VBT này sẽ giúp các em học sinh rèn kỹ năng giải Toán các dạng bài tập chia số thập phân cho 10, 100, 1000. Mời các em cùng tham khảo chi tiết.
Vở bài tập Toán lớp 5 trang 80
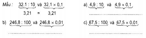
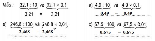
Vở bài tập Toán lớp 5 tập 1 trang 80 Câu 1
Tính nhẩm rồi so sánh kết quả (theo mẫu)

Phương pháp giải
- Muốn chia một số thập phân cho 10; 100; 1000;... ta chỉ việc chuyển dấu phẩy của số đó lần lượt sang bên trái một, hai, ba, ... chữ số.
- Khi nhân một số thập phân với 0,1; 0,01; 0,001;... ta chỉ việc chuyển dấu phẩy của số đó lần lượt sang bên trái một, hai, ba, ... chữ số.
Đáp án và hướng dẫn giải

Vở bài tập Toán lớp 5 tập 1 trang 80 Câu 2
Tính
a, 300 + 20 + 0,08
b, 25 + 0,6 + 0,07
c, 600 + 30 +
\(\frac{6}{100}\)
d, 66 +
\(\frac{9}{10}\) +
\(\frac{4}{100}\)
Phương pháp giải
Quy đổi các phân số ra số thập phân, thực hiện phép tính cộng từ trái sang phải
Đáp án và hướng dẫn giải
a, 300 + 20 + 0,08 = 320,08
b, 25 + 0,6 + 0,07 = 25,67
c, 600 + 30 +
\(\frac{6}{100}\) = 600 + 30 + 0,06 = 630,06
d, 66 +
\(\frac{9}{10}\) +
\(\frac{4}{100}\) = 66 + 0,9 + 0,04 = 66,94
Vở bài tập Toán lớp 5 tập 1 trang 80 Câu 3
Một kho gạo có 246,7 tấn gạo. Người ta đã chuyển thêm vào kho một số gạo bằng
\(\frac{1}{10}\) số gạo hiện có trong kho. Hỏi sau khi chuyển trong kho có tất cả bao nhiêu ki-lô-gam gạo?
Tóm tắt:
Có: 246,7 tấn gạo
Chuyển thêm số gạo bằng
\(\frac{1}{10}\) số gạo hiện có trong kho
Sau khi chuyển: ? kg gạo
Phương pháp giải
- Tìm số gạo mới chuyển đến = số gạo ban đầu × 1/10.
- Số gạo trong kho lúc sau = số gạo ban đầu + số gạo mới chuyển đến.
Đáp án và hướng dẫn giải
Bài giải
Số gạo đã chuyển đến kho là:
246,7 x
\(\frac{1}{10}\)= 24,67 (tấn)
Số gạo hiện có trong kho là:
246,7 + 24,67 = 271,37 (tấn) = 271370 (kg)
Đáp số: 271 370 (kg)
>> Tham khảo chi tiết bài tập: Bài tập Toán lớp 5: Phép chia số thập phân (tiếp theo)
Vở bài tập Toán lớp 5 tập 1 trang 80 Câu 4
Tính
2242,82 : 100 + 37411,8 : 1000 = ........................
Phương pháp giải
Muốn chia một số thập phân cho 10,100,1000,... ta chỉ việc chuyển dấu phẩy của số đó lần lượt sang bên trái một, hai, ba, ... chữ số.
Đáp án và hướng dẫn giải
Cách 1:
2242,82 : 100 + 37411,8 : 1000 = 2242,82 : 100 + 3741, 18 : 100
= (2242,82 + 3741,18) : 100
= 5984 : 100
= 59,84
Cách 2:
2242,82 : 100 + 37411,8 : 1000
= 22,4282 + 37,4118
= 59,84
>> Bài tiếp theo: Giải vở bài tập Toán 5 bài 66: Chia một số tự nhiên cho một số tự nhiên mà thương tìm được là một số thập phân
Bài tập Toán lớp 5 bài 65 là Hướng dẫn giải vở bài tập Toán lớp 5 tập 1 trang 79, 80. Lời giải bao gồm 4 câu hỏi có đáp án chi tiết cho từng câu để các em học sinh so sánh đối chiếu với bài làm của mình. Các bậc Phụ huynh cùng tham khảo hướng dẫn con em học tập ôn luyện, củng cố tại nhà.
Bài tập Chia một số thập phân cho 10, 100, 1000
- Toán lớp 5 trang 66 Chia một số thập phân cho 10, 100, 1000,…
- Giải Toán lớp 5 VNEN bài 41: Chia một số thập phân cho 10, 100, 1000....
Lý thuyết Chia một số thập phân cho 10, 100, 1000...
Qui tắc
Muốn chia một số thập phân cho 10, 100, 1000… ta chỉ việc chuyển dấu phẩy của số đó lần lượt sang bên trái một, hai, ba, … chữ số.
Ví dụ:
13,5 : 10 = 1,35
289,34 : 100 = 2,8934
Nhận xét
Khi chia một số thập phân cho 10, 100, 1000... ta được kết quả bằng với việc nhân số thập phân đó với 0,1; 0,01; 0,001…
Ví dụ:
a : 10 = a × 0,1
a : 100 = a × 0,01
a : 1000 = a × 0,001
Chú ý
Khi dời dấu phẩy sang trái mà không đủ chữ số, ta thấy thiếu bao nhiêu chữ số thì thêm vào đó bấy nhiêu chữ số 0.
Giải vở bài tập Toán 5 bài 65: Chia một số thập phân cho 10, 100, 1000 bao gồm 4 câu hỏi có phương pháp giải và lời giải chi tiết cho từng dạng bài tập cho các em học sinh tham khảo, nắm được cách giải các dạng Toán về số thập phân, phép chia số thập phân, Chia một số thập phân cho 10, 100, 1000, đặt tính rồi tính, tính bằng 2 cách, cách tính nhanh, tính nhẩm, hệ thống lại các kiến thức Toán 5 chương 2. Các bạn có thể luyện tập các dạng bài tập SGK tương ứng: Giải bài tập trang 66 SGK Toán 5: Chia một số thập phân cho 10, 100, 1000,… Hi vọng với những tài liệu này, các em học sinh sẽ học tốt môn Toán lớp 5 hơn mà không cần sách giải.
Ngoài ra, các em học sinh lớp 5 còn có thể tham khảo đề thi học kì 1 lớp 5 hay đề thi học kì 2 lớp 5 mà VnDoc.com đã sưu tầm và chọn lọc. Những đề thi này được VnDoc.com sưu tầm và chọn lọc từ các trường tiểu học trên cả nước nhằm mang lại cho học sinh lớp 5 những đề ôn thi học kì chất lượng nhất. Mời các em cùng quý phụ huynh tải miễn phí đề thi về và ôn luyện.
- 31 đề thi học kì 1 môn Tiếng Việt lớp 5 Tải nhiều có đáp án
- Bộ 13 đề thi tiếng Anh lớp 5 học kì 1 năm 2023 - 2024
- Đề thi cuối học kì 1 lớp 5 môn Toán năm 2023 - 2024
- Đề thi học kì 1 môn Tin học lớp 5 năm 2023 - 2024 Tải nhiều
- Đề thi học kì 1 môn Lịch sử - Địa lý lớp 5 năm 2023 - 2024 Tải nhiều
- Đề thi học kì 1 môn Khoa học lớp 5 năm 2023 - 2024 Tải nhiều
- Bộ đề thi học kì 1 lớp 5 năm 2023 - 2024 đầy đủ các môn
Tham khảo chi tiết các dạng bài tập Toán lớp 5 khác:
- Giải vở bài tập Toán 5 bài 63: Chia một số thập phân cho một số tự nhiên
- Giải vở bài tập Toán 5 bài 62: Luyện tập chung (tiếp theo)
- Giải vở bài tập Toán 5 bài 61: Luyện tập chung
- Giải vở bài tập Toán 5 bài 60: Luyện tập (tiếp theo)
- Lý thuyết Chia một số thập phân cho 10, 100, 1000