Al + HNO3 → Al(NO3)3 + NH4NO3 + H2O
Al HNO3 ra NH4NO3: Al tác dụng với HNO3
Al + HNO3 → Al(NO3)3 + NH4NO3 + H2O được VnDoc biên soạn hướng dẫn bạn đọc cân bằng phương trình oxi hóa khử khi cho Al tác dụng HNO3 loãng sinh ra NH4NO3. Nội dung phương trình được trình bày chi tiết dưới đây.
>> Mời các bạn tham khảo bộ câu hỏi Phản ứng oxi hóa khử tại: Chuyên đề Bài tập Phản ứng oxi hóa - khử Có đáp án
1. Phương trình phản ứng Al tác dụng với HNO3 loãng ra NH4NO3
8Al + 30HNO3 → 8Al(NO3)3 + 3NH4NO3 + 9H2O
2. Cân bằng phản ứng Al + HNO3 → Al(NO3)3 + NH4NO3 + H2O
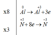
Bước 1: Xác định sự thay đổi số oxi hóa trước và sau phản ứng của các nguyên tử.
![]()
Chất khử: Al;
Chất oxi hoá: HNO3.
Bước 2: Biểu diễn các quá trình oxi hóa, quá trình khử.
Quá trình oxi hóa: ![]()
Quá trình khử: ![]()
Bước 3: Tìm hệ số thích hợp cho chất khử và chất oxi hóa dựa trên nguyên tắc: Tổng số electron chất khử nhường bằng tổng số electron chất oxi hóa nhận.
|
8 × 3 × |
|
Bước 4: Điền hệ số của các chất có mặt trong phương trình hoá học. Kiểm tra sự cân bằng số nguyên tử của các nguyên tố ở hai vế.
8Al + 30HNO3 → 8Al(NO3)3 + 3NH4NO3 + 9H2O
4. Điều kiện Al tác dụng với HNO3
Nhiệt độ phòng
5. Bài tập vận dụng liên quan
Câu 1. Cho phản ứng hoá học sau:
Al + HNO3 → Al(NO3)3 + NH4NO3 + H2O
Tổng hệ số cân bằng (là số nguyên, tối giản) của phản ứng trên là:
A. 58
B. 60
C. 48
D. 62
Sử dụng phương pháp thăng bằng electron cân bằng phản ứng oxi hóa khử Al + HNO3 → Al(NO3)3 + NH4NO3 + H2O
Al0 + HN+5O3 → Al+3(NO3)3 + N-3H4NO3 + H2O

Điền hệ số 8 vào Al, Al+3; điền hệ số 3 vào N-3
Vậy phương trình phản ứng: 8Al + 30HNO3 → 8Al(NO3)3 + 3NH4NO3 + 9H2O
Câu 2. Thuốc thử dùng để nhận biết ba axit đặc nguội HNO3, H2SO4, HCl đựng trong ba lọ mất nhãn:
A. Cu
B. Al
C. Cr
D. CuO
B, C sai vì Fe và Al bị thụ động hóa trong H2SO4 đặc nguội và HNO3 đặc nguội.
D sai vì CuO tác dụng với 3 axit đều tạo dung dịch màu xanh và không có khí thoát ra
A đúng vì
Cu + HCl → không phản ứng
Cu + 2H2SO4 → CuSO4 + SO2↑ + 2H2O
Khí mùi hắc
Cu + 4HNO3 → Cu(NO3)2 + 2NO2↑ + 2H2O
Khí màu nâu
Câu 3. Hòa tan hoàn toàn 6,5 gam Zn trong dung dịch HNO3 loãng, dư thu được dung dịch A và 0,224 lít khí N2 (đkc). Khối lượng muối trong dung dịch A là
A. 18,90 gam
B. 19,9 gam
C. 39,80 gam
D. 28,35 gam
nZn = 6,5/65 = 0,1 (mol);
nN2 = 0,2479/24,79 = 0,01 (mol)
Ta thấy:
necho= 2nZn= 0,2 (mol) > nenhan= 10nN2= 0,1 (mol)
→ Sản phẩm khử có chứa NH4NO3
Quá trình cho - nhận e:
0Zn → +2Zn + 2e 2N+5 + 10e → 2N0 (N2)
2N+5 + 8e→ N-3 (NH4NO3)
Áp dụng bảo toàn e:
2nZn= 10nN2 + 8nNH4NO3
⇔2.0,1 =10.0,01 + 8nNH4NO3
⇔nNH4NO3 = 0,0125 (mol)
Muối trong dung dịch A gồm:
0,1 mol Zn(NO3)2 và 0,0125 mol NH4NO3
→ mmuối = 0,1.189 + 0,0125.80 = 19,9 gam
Câu 4. Trong phòng thí nghiệm, người ta thường điều chế HNO3 từ
A. NaNO2 và H2SO4 đặc.
B. NaNO3 và H2SO4 đặc.
C. NH3 và O2.
D. N2O5 và H2O.
Để điều chế HNO3 trong phòng thí nghiệm người ta dùng NaNO3 và H2SO4đặc
Phương trình phản ứng liên quan
H2SO4 + NaNO3 → NaHSO4+ HNO3
Câu 5. Khẳng định nào sau đây đúng khi nói về tính chất của nhôm?
A. Nhôm là kim loại nặng
B. Nhôm là kim loại tác dụng mạnh với nước.
C. Vật dụng bằng nhôm để lâu ngày cũng không tác dụng với nước do có màng oxide bao bọc
D. Nhôm là kim loại kiềm thổ
A sai nhôm là kim loại nhẹ
B sai nhôm tác dụng yếu với nước do tạo màng oxit
C đúng những vật bằng nhôm hàng ngày tiếp xúc với nước dù ở nhiệt độ nào cũng không xảy ra phản ứng vì trên bề mặt vật được phủ một lớp nhôm oxide mỏng, bền, ngăn cách vật với nước.
D sai vì nhôm là kim loại nhóm IIIA.
Câu 6. Cho các thí nghiệm sau:
(a) Sục khí CO2 đến dư vào dung dịch Sodium Aluminate
(b) Nhúng thanh sắt vào dung dịch H2SO4 loãng, nguội.
(c) Sục khí SO2 đến dư vào nước bromine.
(d) Cho một mẩu Li vào bình kín chứa khí N2 ở nhiệt độ thường.
(e) Dẫn khí H2S đến dư qua dung dịch CuSO4.
(g) Rắc bột lưu huỳnh lên thuỷ ngân bị rơi vãi.
Số thí nghiệm có xảy ra phản ứng oxi hoá – khử là
A. 3.
B. 5.
C. 4.
D. 6.
Phương trình hóa học minh họa liên quan
NaAlO2 + CO2 + 2H2O → Al(OH)3↓ + NaHCO3
Fe + H2SO4 → FeSO4 + H2
SO2 + Br2 + 2H2O → 2HBr + H2SO4
6Li + N2 → 2Li3N
H2S + CuSO4 → CuS↓ + H2SO4
S + Hg → HgS
Câu 7. Có các thí nghiệm sau:
(I) Nhúng thanh sắt vào dung dịch H2SO4 loãng, nguội.
(II) Sục khí SO2 vào nước bromine.
(III) Sục khí CO2 vào nước Gia-ven.
(IV) Nhúng lá nhôm vào dung dịch H2SO4 đặc, nguội.
Số thí nghiệm xảy ra phản ứng hóa học là:
A. 4
B. 3
C. 1
D. 2
Thí nghiệm xảy ra phản ứng hóa học là (I); (II); (III)
Fe + H2SO4 → FeSO4 + H2
SO2 + Br2 + 2H2O → 2HBr + H2SO4
CO2 + H2O + NaClO → NaHCO3 + HClO
Câu 8. Cho khí H2S lội qua dung dịch CuSO4 thấy có kết tủa màu xám đen xuất hiện, chứng tỏ:
A. Có phản ứng oxi hoá - khử xảy ra.
B. Có kết tủa CuS tạo thành, không tan trong acid mạnh.
C. Hydrosulfuric acid mạnh hơn Sulfuric Acid.
D. Sulfuric Acid mạnh hơn Hydrosulfuric acid.
Phương trình hóa học minh họa
H2S + CuSO4 → CuS↓ (kết tủa đen) + H2SO4
=> Có kết tủa CuS tạo thành, không tan trong acid mạnh.
Câu 9. Cho sơ đồ sau: muối X + HCl → muối Y + H2S. Dãy các chất nào sau đây có thể là X?
A. BaS, FeS, PbS, K2S.
B. KHS, Ag2S, FeS, Na2S.
C. Na2S, CuS, FeS, MgS.
D. NaHS, ZnS, FeS, MgS.
Loại 1: Tan trong nước và tan trong acid mạnh sinh ra khí H2S gồm Na2S, K2S, CaS và BaS, (NH4)2S.
Na2S + 2HCl → 2NaCl + H2S↑
+ Loại 2: Không tan trong nước nhưng tan trong acid mạnh gồm FeS, ZnS...
ZnS + 2H2SO4 → ZnSO4 + H2S↑
+ Loại 3: Không tan trong nước và không tan trong acid gồm CuS, PbS, HgS, Ag2S...
Câu 10. Cho các dung dịch loãng: (1) FeCl3, (2) FeCl2, (3) H2SO4, (4) HNO3, (5) hỗn hợp gồm HCl và NaNO3. Những dung dịch phản ứng được với Cu là
A. (1), (3), (5).
B. (1), (2), (3).
C. (1), (3), (4).
D. (1), (4), (5).
Những dung dịch phản ứng được với Cu là (1) FeCl3; (4) HNO3; (5) hỗn hợp HCl và NaNO3
Phương trình hóa học minh họa
Cu + FeCl3 → CuCl2 + FeCl2
3Cu + 8HNO3 → 3Cu(NO3)2 + 2NO↑ + 4H2O
3 Cu + 2 NaNO3 + 8 HCl → 3 CuCl2 + 2 NO + 2 NaCl + 4 H2O
Câu 11. Tiến hành thí nghiệm nhỏ từ từ cho đến dư dung dịch NaOH vào dung dịch AlCl3 hiện tượng xảy ra là
A. Có kết tủa keo trắng, sau đó kết tủa tan.
B. Chỉ có kết tủa keo trắng.
C. Có kết tủa keo trắng và khí bay lên.
D. Không có kết tủa, có khí bay lên.
Nhỏ từ từ cho đến dư dung dịch NaOH vào dung dịch AlCl3, ban đầu có kết tủa keo trắng xuất hiện.
3NaOH + AlCl3 → Al(OH)3 ↓ + 3NaCl
NaOH + Al(OH)3 → NaAlO2 + 2H2O
...........................................